-
高性能表面电极离子阱是构建可扩展离子阱量子计算机的关键平台. 在室温下实现多离子相干操控, 是迈向量子纠错与大规模集成的关键步骤. 本文报道了在自主研制的室温表面电极离子阱中, 单离子与多离子相干操控的研究进展. 该芯片阱在轴向与横向分别实现了低至0.074(8) quanta/ms(@833 kHz)与0.237(51) quanta/ms(@1.3 MHz)的加热率. 结合电磁诱导透明(EIT)冷却与边带冷却, 单离子被冷却至平均声子数0.04(2)以下. 在此基础上, 我们利用载波与边带跃迁对多达20个离子进行了全局相干操控, 观测到由集体振动模式介导的离子间耦合, 并清晰地展示了不同位置离子因高阶振动模式向量差异而呈现出的特异相干演化行为. 本工作充分验证了在微型表面电极离子阱的单势阱中囚禁与相干操控链状和二维多离子的能力, 为在芯片电极离子阱中实现高效的多离子纠缠态制备和量子模拟奠定了物理基础.
The development of high-performance chip-scale ion traps is pivotal for the integration and scaling of ion-trap-based quantum computers. While cryogenic environments can significantly suppress anomalous heating, operating ion traps at room temperature remains highly attractive for its simplicity and lower cost. This work reports significant progress in coherently controlling multiple ions confined in a custom-fabricated, room-temperature surface-electrode trap, establishing a critical foundation for advanced quantum protocols like quantum error correction and future scalable architectures. Research Objectives and Methods Our study aimed to characterize a home-built chip trap and demonstrate its capabilities for multi-ion quantum logic under ambient conditions. The trap features a six-wire electrode design on a high-resistivity silicon substrate, with ions trapped at a height of 154 μm. We employed a combination of Doppler cooling, Electromagnetically Induced Transparency (EIT) cooling, and resolved-sideband cooling to prepare the ions in the motional ground state. Coherent manipulations were performed using both a 729 nm laser (for optical qubits between the $|\text{S}_{1/2},m_j=-1/2\rangle$ and $|\text{D}_{5/2},m_j=-3/2\rangle$ states) and microwave radiation (for qubits between the $|\text{S}_{1/2},m_j=-1/2\rangle$ and $|\text{S}_{1/2},m_j=+1/2\rangle$ states) Quantum state detection was achieved via state-dependent fluorescence using an EMCCD camera, enabling site-resolved readout. Key Results Low Room-temperature Heating Rates: The trap exhibited low heating rates, measured to be 0.074(8) quanta/ms in the axial direction (at 833 kHz) and 0.237(51) quanta/ms in the radial direction (at 1.3 MHz). The spectral density of electric-field noise is on the order of $10^{-13}$ ${{\rm{V}}^2 /{\rm{m}}^{2} {\rm{Hz}}}$ at trap frequencies above 500 kHz, ranking among the best for room-temperature devices. The spectral density of electric-field noise followed an approximate $f^{-2.52(22)}$ dependence, potentially influenced by external filtering circuits. High-Fidelity Single-Ion Control A single 40Ca+ ion was cooled to an average phonon number of 0.04(2) in its axial motion. High-fidelity coherent operations were demonstrated: carrier Rabi oscillations using the 729 nm laser showed a single-pulse fidelity of approximately 98.98(8)%, while microwave-driven operations achieved a fidelity of 99.95(2)%. Ramsey interferometry with microwaves revealed a coherence time $T_2^*$ of 5.0(4) ms. Site-Resolved Multi-Ion Coherent Control: The core achievement was the global coherent manipulation of ion chains containing up to 20 ions. We characterized the system by driving motional sideband transitions on various axial modes of 5- and 6-ion chains. The resulting Rabi oscillations, measured with site-resolved fluorescence, clearly showed the collective dynamics and mode-dependent coupling strengths dictated by the normalized mode eigenvectors. Furthermore, global carrier transitions were demonstrated on a 2D zigzag crystal of 20 ions, confirming the ability to execute simultaneous operations on a large qubit array. Global Control of 2D Ion Crystals With 20 ions, a 2D zigzag crystal was formed and globally addressed using both laser and microwave drives. Laser-driven carrier transitions showed strong decay due to multimode motional coupling, while microwave-driven oscillations remained nearly decay-free, consistent with the Lamb–Dicke parameter being negligible for microwave fields. Conclusion We have successfully demonstrated that our room-temperature surface-electrode trap can support low-heating confinement, high-fidelity single- and multi-qubit operations, and coherent control of large ion arrays. The site-resolved observations of mode-dependent coupling highlight the potential for exploiting collective vibrational modes for selective quantum control. These results validate the trap as a robust and promising platform for medium-scale quantum information processing and quantum simulation at room temperature. Future work will focus on structural optimizations to reduce radial heating and integration with cryogenic systems to further suppress noise, ultimately advancing toward large-scale quantum computing architectures. -
图 4 单离子冷却及相干操控测试 (a) 激光驱动蓝边带Rabi振荡曲线, 轴向阱频为748 kHz; (b) 激光驱动载波Rabi振荡曲线; (c) 微波操控Rabi振荡曲线; (d) 微波操控Ramsey干涉测量曲线
Fig. 4. Single-ion cooling and coherent manipulation characterization. (a) Laser-driven blue motional sideband Rabi oscillations at an axial trap frequency of 748 kHz. (b) Laser-driven carrier Rabi oscillations. (c) Microwave-driven Rabi oscillations. (d) Microwave-driven Ramsey interference.
图 5 离子可分辨的多离子蓝边带Rabi振荡曲线. 实验数据由点表示, 理论曲线由线条表示, 离子序号按照从左到右的顺序标记为1-5(6). 实验误差棒表示估计的投影测量不确定度. (a) 5个离子第2个轴向模式的蓝边带振荡曲线. 模式频率约691 kHz, 失谐为0. (b) 5个离子第3个轴向模式的蓝边带振荡曲线. 模式频率约962 kHz, 失谐为$ 0.2 \varOmega_{0, 1} $. (c) 5个离子第5个轴向模式的蓝边带振荡曲线. 模式频率约1219 kHz, 失谐为$ 0.08 \varOmega_{0, 1} $. (d) 6个离子第6个轴向模式的蓝边带振荡曲线. 模式频率约1464 kHz, 失谐为$ 0.06 \varOmega_{0, 1} $.
Fig. 5. Site-resolved blue-sideband Rabi oscillations for multiple ions. Experimental data are represented by points, with theoretical curves shown as lines. Ions are labeled 1 to 5 (6) from left to right. Error bars indicate the estimated projection measurement uncertainty. (a) Blue-sideband oscillations on the 2 nd axial mode of a 5-ion chain. Mode frequency: ≈691 kHz; detuning: 0. (b) Blue-sideband oscillations on the 3 rd axial mode of a 5-ion chain. Mode frequency: ≈962 kHz; detuning: $ 0.2 \varOmega_{0, 1} $. (c) Blue-sideband oscillations on the 5 th axial mode of a 5-ion chain. Mode frequency: ≈1219 kHz; detuning: $ 0.08 \varOmega_{0, 1} $. (d) Blue-sideband oscillations on the 6 th axial mode of a 6-ion chain. Mode frequency: ≈1464 kHz; detuning: $ 0.06 \varOmega_{0, 1} $.
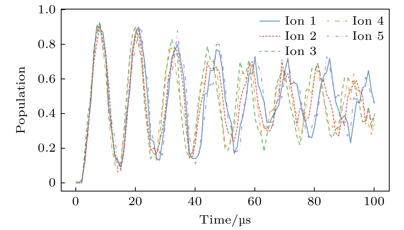
图 7 多离子Rabi振荡的集体荧光计数曲线 (a) 5离子载波Rabi振荡集体荧光曲线. (b) 5(6)离子蓝边带Rabi振荡的集体荧光曲线
Fig. 7. Collective fluorescence measurement of multi-ion Rabi oscillations. (a) Collective fluorescence signal of the carrier transition for a 5-ion chain. (b) Collective fluorescence signal of the blue-sideband transition for 5- or 6-ion chains.
图 8 20个离子全局相干操控 (a) 20个离子形成二维之字形排列的照片. (b) 激光驱动的$ |\text{S}_{1/2}, m_j = -1/2\rangle $到$ |\text{D}_{5/2}, $$ m_j = +1/2\rangle $的载波跃迁Rabi振荡曲线. (c) 微波驱动的$ |\text{S}_{1/2}, m_j = -1/2\rangle $到$ |\text{S}_{1/2}, m_j = +1/2\rangle $的载波跃迁Rabi振荡曲线
Fig. 8. Global coherent manipulation of 20 ions. (a) Fluorescence image of 20 ions crystallized into a two-dimensional zigzag configuration. (b) Laser-driven carrier transition Rabi oscillations between $ |\text{S}_{1/2}, m_j = -1/2\rangle $ and $ |\text{D}_{5/2}, $$ m_j = +1/2\rangle $. (c) Microwave-driven carrier transition Rabi oscillations between $ |\text{S}_{1/2}, m_j = -1/2\rangle $ and $ |\text{S}_{1/2}, m_j = +1/2\rangle $.
-
[1] Cai M L, Liu Z D, Jiang Y, Wu Y K, Mei Q X, Zhao W D, He L, Zhang X, Zhou Z C, Duan L M 2022 Chin. Phys. Lett. 39 020502
Google Scholar
[2] Cui T H, Li J, Yuan Q, Wei Y Q, Dai S Q, Li P D, Zhou F, Zhang J Q, Chen L, Feng M 2023 Chin. Phys. Lett. 40 080501
Google Scholar
[3] Zhao X, Bian J, Li Y, Li Y, Zhang M, Lin Y 2025 Chin. Phys. Lett. 42 110601
Google Scholar
[4] 吴宇恺, 段路明 2023 72 230302
Google Scholar
Wu Y K, Duan L M 2023 Acta Phys. Sin. 72 230302
Google Scholar
[5] Guo S A, Wu Y K, Ye J, Zhang L, Lian W Q, Yao R, Wang Y, Yan R Y, Yi Y J, Xu Y L, Li B W, Hou Y H, Xu Y Z, Guo W X, Zhang C, Qi B X, Zhou Z C, He L, Duan L M 2024 Nature 630 613
Google Scholar
[6] Zhang J, Chow B T, Ejtemaee S, Haljan P C 2023 npj Quantum Inf. 9 68
Google Scholar
[7] Cheng Z J, Wu Y K, Li S J, Mei Q X, Li B W, Wang G X, Jiang Y, Qi B X, Zhou Z C, Hou P Y, Duan L M 2024 Sci. Adv. 10 eadr9527
Google Scholar
[8] Cai M L, Liu Z D, Zhao W D, Wu Y K, Mei Q X, Jiang Y, He L, Zhang X, Zhou Z C, Duan L M 2021 Nature Commun. 12 1126
Google Scholar
[9] Zhang J, Pagano G, Hess P W, Kyprianidis A, Becker P, Kaplan H, Gorshkov A V, Gong Z X, Monroe C 2017 Nature 551 601
Google Scholar
[10] Iqbal M, Tantivasadakarn N, Gatterman T M, Gerber J A, Gilmore K, Gresh D, Hankin A, Hewitt N, Horst C V, Matheny M, Mengle T, Neyenhuis B, Vishwanath A, Foss-Feig M, Verresen R, Dreyer H 2024 Commun. Phys. 7 205
Google Scholar
[11] Chertkov E, Cheng Z, Potter A C, Gopalakrishnan S, Gatterman T M, Gerber J A, Gilmore K, Gresh D, Hall A, Hankin A, Matheny M, Mengle T, Hayes D, Neyenhuis B, Stutz R, Foss-Feig M 2023 Nature Phys. 19 1799
Google Scholar
[12] Pearson C E, Leibrandt D R, Bakr W S, Mallard W J, Brown K R, Chuang I L 2006 Phys. Rev. A 73 032307
Google Scholar
[13] Seidelin S, Chiaverini J, Reichle R, Bollinger J J, Leibfried D, Britton J, Wesenberg J H, Blakestad R B, Epstein R J, Hume D B, Itano W M, Jost J D, Langer C, Ozeri R, Shiga N, Wineland D J 2006 Phys. Rev. Lett. 96 253003
Google Scholar
[14] Qin Q, Chen T, Zhang X, Ou B, Zhang J, Wu C, Xie Y, Wu W, Chen P 2025 Chip 4 100126
Google Scholar
[15] 王晨旭, 贺冉, 李睿睿, 陈炎, 房鼎, 崔金明, 黄运锋, 李传锋, 郭光灿 2022 71 133701
Google Scholar
Wang C X, He R, Li R R, Chen Y, Fang D, Cui J M, Huang Y F, Li C F, Guo G C 2022 Acta Phys. Sin. 71 133701
Google Scholar
[16] 陈婷, 谢艺, 张杰, 欧保全, 秦青青, 张鑫方, 王弘扬, 陶毅, 熊凯莉, 樊钢, 欧阳仪, 陈岩, 吴伟, 陈平形 2025 光学学报 45 2027004
Google Scholar
Chen T, Xie Y, Zhang J, Ou B, Qin Q, Zhang X, Wang H, Tao Y, Xiong K, Fan G, Ouyang Y, Chen Y, Wu W, Chen P 2025 Acta Optica Sin. 45 2027004
Google Scholar
[17] Kwon J, Setzer W J, Gehl M, Karl N, Van Der Wall J, Law R, Blain M G, Stick D, McGuinness H J 2024 Nature Commun. 15 3709
Google Scholar
[18] Weber M A, Gely M F, Hanley R K, Harty T P, Leu A D, Löschnauer C M, Nadlinger D P, Lucas D M 2024 Phys. Rev. A 110 L010601
Google Scholar
[19] Todaro S L, Verma V B, McCormick K C, Allcock D T C, Mirin R P, Wineland D J, Nam S W, Wilson A C, Leibfried D, Slichter D H 2021 Phys. Rev. Lett. 126 010501
Google Scholar
[20] Moses S A, Baldwin C H, Allman M S, Ancona R, Ascarrunz L, Barnes C, Bartolotta J, Bjork B, Blanchard P, Bohn M, Bohnet J G, Brown N C, Burdick N Q, Burton W C, Campbell S L, Campora J P, Carron C, Chambers J, Chan J W, Chen Y H, Chernoguzov A, Chertkov E, Colina J, Curtis J P, Daniel R, DeCross M, Deen D, Delaney C, Dreiling J M, Ertsgaard C T, Esposito J, Estey B, Fabrikant M, Figgatt C, Foltz C, Foss-Feig M, Francois D, Gaebler J P, Gatterman T M, Gilbreth C N, Giles J, Glynn E, Hall A, Hankin A M, Hansen A, Hayes D, Higashi B, Hoffman I M, Horning B, Hout J J, Jacobs R, Johansen J, Jones L, Karcz J, Klein T, Lauria P, Lee P, Liefer D, Lu S T, Lucchetti D, Lytle C, Malm A, Matheny M, Mathewson B, Mayer K, Miller D B, Mills M, Neyenhuis B, Nugent L, Olson S, Parks J, Price G N, Price Z, Pugh M, Ransford A, Reed A P, Roman C, Rowe M, Ryan-Anderson C, Sanders S, Sedlacek J, Shevchuk P, Siegfried P, Skripka T, Spaun B, Sprenkle R T, Stutz R P, Swallows M, Tobey R I, Tran A, Tran T, Vogt E, Volin C, Walker J, Zolot A M, Pino J M 2023 Phys. Rev. X 13 041052
[21] Ruster T, Warschburger C, Kaufmann H, Schmiegelow C T, Walther A, Hettrich M, Pfister A, Kaushal V, Schmidt-Kaler F, Poschinger U G 2014 Phys. Rev. A 90 033410
Google Scholar
[22] Hilder J, Pijn D, Onishchenko O, Stahl A, Orth M, Lekitsch B, Rodriguez-Blanco A, Müller M, Schmidt-Kaler F, Poschinger U G 2022 Phys. Rev. X 12 011032
[23] Palmero M, Martínez-Garaot S, Poschinger U G, Ruschhaupt A, Muga J G 2015 New J. Phys. 17 093031
Google Scholar
[24] James D F V 1998 Appl. Phys. B 66 181
Google Scholar
[25] Tao Y, Chen T, Wang H, Zhang J, Zhang T, Xie Y, Chen P, Wu W 2024 Phys. Rev. A 109 062434
Google Scholar
[26] 张见, 陈书明, 刘威 2014 63 060303
Google Scholar
Zhang J, Chen S M, Liu W 2014 Acta Phys. Sin. 63 060303
Google Scholar
[27] Lauprêtre T, Achi B, Groult L, Carry É, Kersalé Y, Delehaye M, Hafiz M A, Lacroûte C 2023 Appl. Phys. B 129 37
[28] Zhang J, Zhang M C, Xie Y, Wu C W, Ou B Q, Chen T, Bao W S, Haljan P, Wu W, Zhang S, Chen P X 2022 Phys. Rev. Appl. 18 014022
Google Scholar
[29] Turchette Q A, Kielpinski, King B E, Leibfried D, Meekhof D M, Myatt C J, Rowe M A, Sackett C A, Wood C S, Itano W M, Monroe C, Wineland D J 2000 Phys. Rev. A 61 063418
Google Scholar
[30] Chiaverini J, Sage J M 2014 Phys. Rev. A 89 012318
Google Scholar
[31] Chen W, Gan J, Zhang J N, Matuskevich D, Kim K 2021 Chin. Phys. B 30 060311
Google Scholar
计量
- 文章访问数: 160
- PDF下载量: 5
- 被引次数: 0








下载: