-
氢化或质子化通过引入离子功能调控自由度从而调控关联氧化物材料体系中多重自由度间的关联耦合效应, 突破固溶度极限的限制, 协同触发关联氧化物发生电子相变与磁转变, 为探索材料体系中的新奇物态提供了新途径, 在人工智能、关联电子器件及能量转换等领域展现出广阔的应用前景. 本文利用激光分子束外延法制备出亚稳态VO2(B)/La0.67Sr0.33MnO3(LSMO)异质结, 基于氢离子演化方法, 借助多功能氧化物异质结中关联电子与铁磁序间的关联、耦合与重构, 发现体系中弱铁磁绝缘相的新物态并涌现出丰富的结构演变与电子态重构等拓扑化学转变. 氢化触发VO2(B)/LSMO异质结体系的可逆磁电相变归因于氢化相关电子掺杂占据Mn元素eg (↑) 轨道而引发的电子局域化效应以及离子掺杂抑制Mn3+-Mn4+间的双交换相互作用. 本工作为探索关联氧化物材料体系中的新奇物态、莫特物理及其功能特性的器件化提供了可行的途径.Hydrogenation or protonation provides a feasible pathway for exploring exotic physical functionality and phenomena within correlated oxide system through introducing an ion degree of freedom. This breakthrough provides great potential for enhancing the application of multidisciplinary equipment in the fields of artificial intelligence, related electronics and energy conversions. Unlike traditional substitutional chemical doping, hydrogenation enables the controllable and reversible control over the charge-lattice-spin-orbital coupling and magnetoelectric states in correlated system, without being constrained by the solid-solution limits. Our findings identify proton evolution as a powerful tuning knob to cooperatively regulate the magnetoelectric transport properties in correlated oxide heterojunction, specifically in metastable VO2(B)/La0.7Sr0.3MnO3(LSMO) systems grown via laser molecular beam epitaxy (LMBE). Upon hydrogenation, correlated VO2(B)/LSMO heterojuction undergoes a reversible magnetoelectric phase transition from a ferromagnetic half-metallic state to a weakly ferromagnetic insulating state. This transition is accompanied by a pronounced out-of-plane lattice expansion due to the incorporation of protons and the formation of O—H bonds, as confirmed by X-ray diffraction (XRD). Proton evolution extensively suppresses both the electrical conductivity and ferromagnetic order in the pristine VO2(B)/LSMO system. Remarkably, these properties recover through dehydrogenation via annealing in an oxygen-rich atmosphere, underscoring the high reversibility of hydrogen-induced magnetoelectric transitions. Spectroscopic analyses, including X-ray photoelectron spectroscopy (XPS) and synchrotron-based soft X-ray absorption spectroscopy (sXAS), provide further insights into the physical origin underlying the hydrogen-mediated magnetoelectric transitions. Hydrogen-related band filling in the d-orbital of correlated oxides accounts for the electron localization in VO2(B)/LSMO heterostructure through hydrogenation, while the suppression of the Mn3+-Mn4+ double exchange leads to the magnetic transitions. This work not only expands the hydrogen-related phase diagram for correlated oxide system but also establishes a versatile pathway for designing exotic magnetoelectric functionalities via ionic evolution, which has great potential for developing protonic devices.
-
Keywords:
- magnetic modulation /
- magnetoelectric phase transition /
- correlated oxides /
- ionic evolution
[1] Sun H L, Huo M W, Hu X W, Li J Y, Liu Z J, Han Y F, Tang L Y, Mao Z Q, Yang P T, Wang B S, Cheng J G, Yao D X, Zhang G M, Wang M 2023 Nature 621 493
Google Scholar
[2] Pan G A, Segedin D F, LaBollita H, Song Q, Nica E M, Goodge B H, Pierce A T, Doyle S, Novakov S, Carrizales D C, N'Diaye A T, Shafer P, Paik H, Heron J T, Mason J A, Yacoby A, Kourkoutis L F, Erten O, Brooks C M, Botana A S, Mundy J A 2022 Nat. Mater. 21 160
Google Scholar
[3] Li D F, Lee K, Wang B Y, Osada M, Crossley S, Lee H R, Cui Y, Hikita Y, Hwang H Y 2019 Nature 572 624
Google Scholar
[4] Jeong J, Aetukuri N, Graf T, Schladt T D, Samant M G, Parkin S S 2013 Science 339 1402
Google Scholar
[5] Lee D, Chung B, Shi Y, Kim G Y, Campbell N, Xue F, Song K, Choi S-Y, Podkaminer J P, Kim T H, Ryan P J, Kim J W, Paudel T R, Kang J H, Spinuzzi J W, Tenne D A, Tsymbal E Y, Rzchowski M S, Chen L Q, Lee J, Eom C B 2018 Science 362 1037
Google Scholar
[6] del Valle J, Vargas N M, Rocco R, Salev P, Kalcheim Y, Lapa P N, Adda C, Lee M H, Wang P Y, Fratino L, Rozenberg M J, Schuller I K 2021 Science 373 907
Google Scholar
[7] 周轩弛, 李海帆 2024 73 117102
Google Scholar
Zhou X C, Li H F 2024 Acta Phys. Sin. 73 117102
Google Scholar
[8] Nukala P, Ahmadi M, Wei Y, de Graaf S, Stylianidis E, Chakrabortty T, Matzen S, Zandbergen H W, Björling A, Mannix D, Carbone D, Kooi B, Noheda B 2021 Science 372 630
Google Scholar
[9] Wang L, Feng Q, Kim Y, Kim R, Lee K H, Pollard S D, Shin Y J, Zhou H, Peng W, Lee D, Meng W, Yang H, Han J H, Kim M, Lu Q, Noh T W 2018 Nat. Mater. 17 1087
Google Scholar
[10] Yang Y, Wang P, Chen J, Zhang D, Pan C, Hu S, Wang T, Yue W, Chen C, Jiang W, Zhu L, Qiu X, Yao Y, Li Y, Wang W, Jiang Y 2024 Nat. Commun. 15 8645
Google Scholar
[11] Shen J, Yao Q, Zeng Q, Sun H, Xi X, Wu G, Wang W, Shen B, Liu Q, Liu E 2020 Phys. Rev. Lett. 125 086602
Google Scholar
[12] Liu L, Zhou C, Shu X, Li C, Zhao T, Lin W, Deng J, Xie Q, Chen S, Zhou J, Guo R, Wang H, Yu J, Shi S, Yang P, Pennycook S, Manchon A, Chen J 2021 Nat. Nanotechnol. 16 277
Google Scholar
[13] Zhou X, Li H, Jiao Y, Zhou G, Ji H, Jiang Y, Xu X 2024 Adv. Funct. Mater. 34 2316536
Google Scholar
[14] Zhang H T, Park T J, Islam A, Tran D S J, Manna S, Wang Q, Mondal S, Yu H M, Banik S, Cheng S B, Zhou H, Gamage S, Mahapatra S, Zhu Y M, Abate Y, Jiang N, Sankaranarayanan S, Sengupta A, Teuscher C, Ramanathan S 2022 Science 375 533
Google Scholar
[15] Deng S, Yu H, Park T J, Islam A N M N, Manna S, Pofelski A, Wang Q, Zhu Y, Sankaranarayanan S K R S, Sengupta A, Ramanathan S 2023 Sci. Adv. 9 eade4838
Google Scholar
[16] Lu N, Zhang Z, Wang Y, Li H B, Qiao S, Zhao B, He Q, Lu S, Li C, Wu Y, Zhu M, Lyu X, Chen X, Li Z, Wang M, Zhang J, Tsang S C, Guo J, Yang S, Zhang J, Deng K, Zhang D, Ma J, Ren J, Wu Y, Zhu J, Zhou S, Tokura Y, Nan C-W, Wu J, Yu P 2022 Nat. Energy 7 1208
Google Scholar
[17] Chen S, Wang Z W, Ren H, Chen Y L, Yan W S, Wang C M, Li B W, Jiang J, Zou C W 2019 Sci. Adv. 5 eaav6815
Google Scholar
[18] Zhou X, Li H, Meng F, Mao W, Wang J, Jiang Y, Fukutani K, Wilde M, Fugetsu B, Sakata I, Chen N, Chen J 2022 J. Phys. Chem. Lett. 13 8078
Google Scholar
[19] Zhou X C, Mao W, Cui Y C, Zhang H, Liu Q, Nie K Q, Xu X G, Jiang Y, Chen N F, Chen J K 2023 Adv. Funct. Mater. 33 2303416
Google Scholar
[20] Yoon H, Choi M, Lim T W, Kwon H, Ihm K, Kim J K, Choi S Y, Son J 2016 Nat. Mater. 15 1113
Google Scholar
[21] Shi J, Zhou Y, Ramanathan S 2014 Nat. Commun. 5 4860
Google Scholar
[22] 周轩弛, 焦勇杰 2024 73 197102
Google Scholar
Zhou X C, Jiao Y J 2024 Acta Phys. Sin. 73 197102
Google Scholar
[23] Lu N P, Zhang P F, Zhang Q H, Qiao R M, He Q, Li H B, Wang Y J, Guo J W, Zhang D, Duan Z, Li Z L, Wang M, Yang S Z, Yan M Z, Arenholz E, Zhou S Y, Yang W L, Gu L, Nan C W, Wu J, Tokura Y, Yu P 2017 Nature 546 124
Google Scholar
[24] Wang Y, Wang J J, Zhang W W, Chao F Y, Li J H, Kong Q H, Qiao F, Zhang L, Huang M, An Q Y 2024 Adv. Funct. Mater. 34 2314761
Google Scholar
[25] Zhou X, Jiao Y, Lu W, Guo J, Yao X, Ji J, Zhou G, Ji H, Yuan Z, Xu X 2025 Adv. Sci. 12 2414991
Google Scholar
[26] Cao L, Petracic O, Zakalek P, Weber A, Rücker U, Schubert J, Koutsioubas A, Mattauch S, Brückel T 2019 Adv. Mater. 31 1806183
Google Scholar
[27] Chen A, Bi Z, Zhang W, Jian J, Jia Q, Wang H 2014 Appl. Phys. Lett. 104 071909
Google Scholar
[28] Chen S, Wang Z W, Fan L L, Chen Y L, Ren H, Ji H, Natelson D, Huang Y Y, Jiang J, Zou C W 2017 Phys. Rev. B 96 125130
Google Scholar
[29] Chen H, Zhou G, Ji H, Qin Q, Shi S, Shen Q, Yao P, Cao Y, Chen J, Liu Y, Wang H, Lin W, Yang Y, Jia J, Xu X, Chen J, Liu L 2024 Adv. Funct. Mater. 34 2403107
Google Scholar
[30] Zhang B, Yang P, Ding J, Chen J, Chow G M 2023 Adv. Sci. 10 2203933
Google Scholar
[31] Pofelski A, Jia H, Deng S, Yu H, Park T J, Manna S, Chan M K Y, Sankaranarayanan S K R S, Ramanathan S, Zhu Y 2024 Nano Lett. 24 1974
Google Scholar
[32] Li B, Hu M, Ren H, Hu C, Li L, Zhang G, Jiang J, Zou C 2020 J. Phys. Chem. Lett. 11 10045
Google Scholar
[33] Zhang Z, Schwanz D, Narayanan B, Kotiuga M, Dura J A, Cherukara M, Zhou H, Freeland J W, Li J R, Sutarto R, He F Z, Wu C Z, Zhu J X, Sun Y F, Ramadoss K, Nonnenmann S S, Yu N F, Comin R, Rabe K M, Sankaranarayanan S, Ramanathan S 2018 Nature 553 68
Google Scholar
-
图 1 氢离子触发VO2 (B)/LSMO异质结的结构演化和电子相变 (a) VO2(B)/LSMO/STO异质结的晶体结构示意图; (b) VO2(B)/LSMO薄膜的室温磁滞回线; (c) 原始VO2(B)/LSMO样品及氢化后样品的XRD图谱对比; (d) 原始VO2(B)/LSMO样品及不同氢化条件下样品阻温特性曲线(ρ-T曲线)
Fig. 1. Hydrogen-related structural and electronic state evolution in VO2 (B)/LSMO heterostructure: (a) Schematic of the grown VO2(B)/LSMO/STO (001) heterostructure; (b) magnetic hysteresis loops for the grown VO2(B)/LSMO heterostructure at room temperature; (c) XRD patterns compared for as-prepared VO2(B)/LSMO heterostructure before and after hydrogenation; (d) temperature dependence of material resistivity (ρ-T) as compared for the VO2(B)/LSMO heterostructure under different hydrogenation conditions.
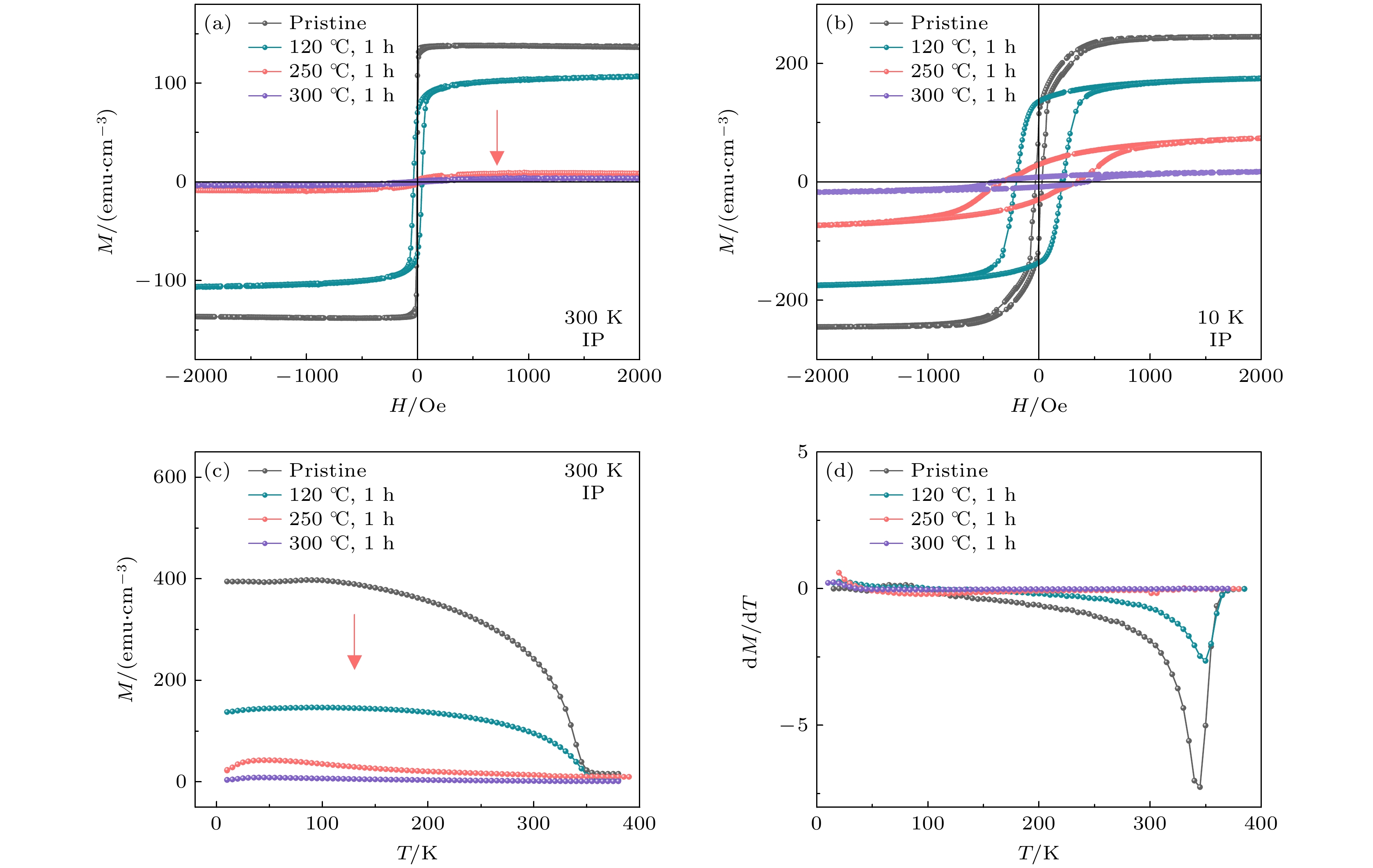
图 2 氢离子掺杂调控VO2(B)/LSMO异质结的磁学特性 (a) 室温原始与氢化VO2(B)/LSMO异质结面内磁滞回线的对比; (b) 在10 K下的原始与氢化VO2(B)/LSMO异质结的面内磁滞回线对比; (c) 在300 Oe磁场下, VO2(B)/LSMO异质结磁化强度随温度的变化关系图; (d) VO2(B)/LSMO异质结的dM/dT随温度变化曲线
Fig. 2. Hydrogen-related magnetic phase transition in VO2(B)/LSMO heterostructure: (a) Comparing the in-plane magnetic hysteresis loops for the pristine and hydrogenated VO2(B)/LSMO heterostructure at room temperature; (b) comparing the in-plane magnetic hysteresis loops between the pristine and hydrogenated VO2(B)/LSMO heterostructure at 10 K; (c) temperature dependence of magnetization for VO2(B)/LSMO heterostructure under an external magnetic field of 300 Oe; (d) temperature dependence of dM/dT for the grown VO2(B)/LSMO heterostructure.
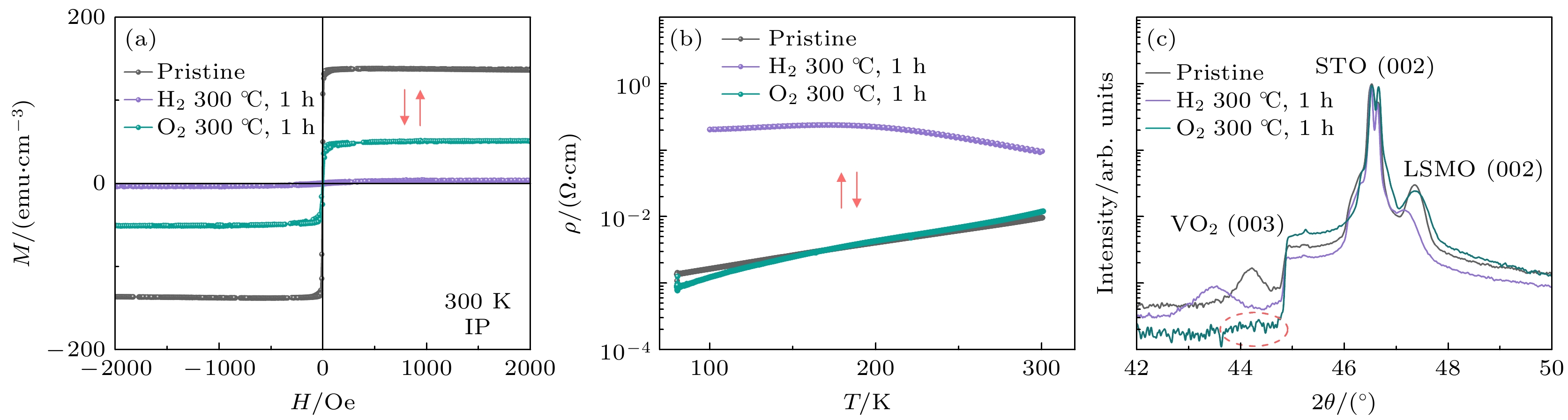
图 3 氢化触发VO2(B)/LSMO异质结可逆的磁电相变 (a) 氢化与去氢化VO2(B)/LSMO的磁滞回线对比; (b) 氢化与去氢化VO2(B)/LSMO的电阻率-温度(ρ-T)图对比; (c) 氢化与去氢化VO2(B)/LSMO的XRD图对比
Fig. 3. Reversible magnetoelectric transitions in VO2(B)/LSMO heterostructure: (a) Comparing the magnetic hysteresis loops for hydrogenated and dehydrogenated VO2(B)/LSMO heterostructure; (b) comparing the ρ-T tendencies for hydrogenated and dehydrogenated VO2(B)/LSMO heterostructure; (c) comparing the XRD spectra for hydrogenated and dehydrogenated VO2(B)/LSMO heterostructure.
图 4 氢化对VO2(B)/LSMO异质结化学环境与电子结构的调制作用 (a), (b) 氢化前后VO2(B)/LSMO异质结的X射线光电子能谱(XPS); (a) V-2p核心能级; (b) O-1s核心能级; (c), (d) 氢化前后VO2(B)/LSMO异质结的同步辐射软X射线吸收谱(sXAS); (c) V-L边; (d) O-K边
Fig. 4. Hydrogen-triggered variations in the chemical environment and electronic structure of VO2(B)/LSMO heterostructures through hydrogenation: (a), (b) X-ray photoelectron spectroscopy (XPS) spectra of VO2(B)/LSMO heterostructures upon hydrogenation; (a) V-2p core-level spectra; (b) O-1s core-level spectra; (c), (d) Synchrotron-based soft X-ray absorption spectra (sXAS) for the grown VO2(B)/LSMO heterostructures through hydrogenation; (c) V-L edge spectra; (d) O-K edge spectra.
图 5 氢化诱导VO2(B)/LSMO磁电相变 (a) 传统半导体与关联材料氢致电子相变示意图; (b) 氢化调控VO2(B)电子轨道构型变化的示意图; (c) 氢化抑制LSMO中Mn3+-Mn4+双交换相互作用的示意图
Fig. 5. Hydrogenation-induced magnetoelectric transitions in VO2 (B)/LSMO system: (a) Schematic diagram of comparing the hydrogen-induced electronic phase transitions in traditional semiconductors and correlated system; (b) illustration of hydrogen-triggered variations in the electronic orbital configuration of VO2(B); (c) schematic diagram of the suppression in Mn3+-Mn4+ double-exchange interaction in LSMO.
-
[1] Sun H L, Huo M W, Hu X W, Li J Y, Liu Z J, Han Y F, Tang L Y, Mao Z Q, Yang P T, Wang B S, Cheng J G, Yao D X, Zhang G M, Wang M 2023 Nature 621 493
Google Scholar
[2] Pan G A, Segedin D F, LaBollita H, Song Q, Nica E M, Goodge B H, Pierce A T, Doyle S, Novakov S, Carrizales D C, N'Diaye A T, Shafer P, Paik H, Heron J T, Mason J A, Yacoby A, Kourkoutis L F, Erten O, Brooks C M, Botana A S, Mundy J A 2022 Nat. Mater. 21 160
Google Scholar
[3] Li D F, Lee K, Wang B Y, Osada M, Crossley S, Lee H R, Cui Y, Hikita Y, Hwang H Y 2019 Nature 572 624
Google Scholar
[4] Jeong J, Aetukuri N, Graf T, Schladt T D, Samant M G, Parkin S S 2013 Science 339 1402
Google Scholar
[5] Lee D, Chung B, Shi Y, Kim G Y, Campbell N, Xue F, Song K, Choi S-Y, Podkaminer J P, Kim T H, Ryan P J, Kim J W, Paudel T R, Kang J H, Spinuzzi J W, Tenne D A, Tsymbal E Y, Rzchowski M S, Chen L Q, Lee J, Eom C B 2018 Science 362 1037
Google Scholar
[6] del Valle J, Vargas N M, Rocco R, Salev P, Kalcheim Y, Lapa P N, Adda C, Lee M H, Wang P Y, Fratino L, Rozenberg M J, Schuller I K 2021 Science 373 907
Google Scholar
[7] 周轩弛, 李海帆 2024 73 117102
Google Scholar
Zhou X C, Li H F 2024 Acta Phys. Sin. 73 117102
Google Scholar
[8] Nukala P, Ahmadi M, Wei Y, de Graaf S, Stylianidis E, Chakrabortty T, Matzen S, Zandbergen H W, Björling A, Mannix D, Carbone D, Kooi B, Noheda B 2021 Science 372 630
Google Scholar
[9] Wang L, Feng Q, Kim Y, Kim R, Lee K H, Pollard S D, Shin Y J, Zhou H, Peng W, Lee D, Meng W, Yang H, Han J H, Kim M, Lu Q, Noh T W 2018 Nat. Mater. 17 1087
Google Scholar
[10] Yang Y, Wang P, Chen J, Zhang D, Pan C, Hu S, Wang T, Yue W, Chen C, Jiang W, Zhu L, Qiu X, Yao Y, Li Y, Wang W, Jiang Y 2024 Nat. Commun. 15 8645
Google Scholar
[11] Shen J, Yao Q, Zeng Q, Sun H, Xi X, Wu G, Wang W, Shen B, Liu Q, Liu E 2020 Phys. Rev. Lett. 125 086602
Google Scholar
[12] Liu L, Zhou C, Shu X, Li C, Zhao T, Lin W, Deng J, Xie Q, Chen S, Zhou J, Guo R, Wang H, Yu J, Shi S, Yang P, Pennycook S, Manchon A, Chen J 2021 Nat. Nanotechnol. 16 277
Google Scholar
[13] Zhou X, Li H, Jiao Y, Zhou G, Ji H, Jiang Y, Xu X 2024 Adv. Funct. Mater. 34 2316536
Google Scholar
[14] Zhang H T, Park T J, Islam A, Tran D S J, Manna S, Wang Q, Mondal S, Yu H M, Banik S, Cheng S B, Zhou H, Gamage S, Mahapatra S, Zhu Y M, Abate Y, Jiang N, Sankaranarayanan S, Sengupta A, Teuscher C, Ramanathan S 2022 Science 375 533
Google Scholar
[15] Deng S, Yu H, Park T J, Islam A N M N, Manna S, Pofelski A, Wang Q, Zhu Y, Sankaranarayanan S K R S, Sengupta A, Ramanathan S 2023 Sci. Adv. 9 eade4838
Google Scholar
[16] Lu N, Zhang Z, Wang Y, Li H B, Qiao S, Zhao B, He Q, Lu S, Li C, Wu Y, Zhu M, Lyu X, Chen X, Li Z, Wang M, Zhang J, Tsang S C, Guo J, Yang S, Zhang J, Deng K, Zhang D, Ma J, Ren J, Wu Y, Zhu J, Zhou S, Tokura Y, Nan C-W, Wu J, Yu P 2022 Nat. Energy 7 1208
Google Scholar
[17] Chen S, Wang Z W, Ren H, Chen Y L, Yan W S, Wang C M, Li B W, Jiang J, Zou C W 2019 Sci. Adv. 5 eaav6815
Google Scholar
[18] Zhou X, Li H, Meng F, Mao W, Wang J, Jiang Y, Fukutani K, Wilde M, Fugetsu B, Sakata I, Chen N, Chen J 2022 J. Phys. Chem. Lett. 13 8078
Google Scholar
[19] Zhou X C, Mao W, Cui Y C, Zhang H, Liu Q, Nie K Q, Xu X G, Jiang Y, Chen N F, Chen J K 2023 Adv. Funct. Mater. 33 2303416
Google Scholar
[20] Yoon H, Choi M, Lim T W, Kwon H, Ihm K, Kim J K, Choi S Y, Son J 2016 Nat. Mater. 15 1113
Google Scholar
[21] Shi J, Zhou Y, Ramanathan S 2014 Nat. Commun. 5 4860
Google Scholar
[22] 周轩弛, 焦勇杰 2024 73 197102
Google Scholar
Zhou X C, Jiao Y J 2024 Acta Phys. Sin. 73 197102
Google Scholar
[23] Lu N P, Zhang P F, Zhang Q H, Qiao R M, He Q, Li H B, Wang Y J, Guo J W, Zhang D, Duan Z, Li Z L, Wang M, Yang S Z, Yan M Z, Arenholz E, Zhou S Y, Yang W L, Gu L, Nan C W, Wu J, Tokura Y, Yu P 2017 Nature 546 124
Google Scholar
[24] Wang Y, Wang J J, Zhang W W, Chao F Y, Li J H, Kong Q H, Qiao F, Zhang L, Huang M, An Q Y 2024 Adv. Funct. Mater. 34 2314761
Google Scholar
[25] Zhou X, Jiao Y, Lu W, Guo J, Yao X, Ji J, Zhou G, Ji H, Yuan Z, Xu X 2025 Adv. Sci. 12 2414991
Google Scholar
[26] Cao L, Petracic O, Zakalek P, Weber A, Rücker U, Schubert J, Koutsioubas A, Mattauch S, Brückel T 2019 Adv. Mater. 31 1806183
Google Scholar
[27] Chen A, Bi Z, Zhang W, Jian J, Jia Q, Wang H 2014 Appl. Phys. Lett. 104 071909
Google Scholar
[28] Chen S, Wang Z W, Fan L L, Chen Y L, Ren H, Ji H, Natelson D, Huang Y Y, Jiang J, Zou C W 2017 Phys. Rev. B 96 125130
Google Scholar
[29] Chen H, Zhou G, Ji H, Qin Q, Shi S, Shen Q, Yao P, Cao Y, Chen J, Liu Y, Wang H, Lin W, Yang Y, Jia J, Xu X, Chen J, Liu L 2024 Adv. Funct. Mater. 34 2403107
Google Scholar
[30] Zhang B, Yang P, Ding J, Chen J, Chow G M 2023 Adv. Sci. 10 2203933
Google Scholar
[31] Pofelski A, Jia H, Deng S, Yu H, Park T J, Manna S, Chan M K Y, Sankaranarayanan S K R S, Ramanathan S, Zhu Y 2024 Nano Lett. 24 1974
Google Scholar
[32] Li B, Hu M, Ren H, Hu C, Li L, Zhang G, Jiang J, Zou C 2020 J. Phys. Chem. Lett. 11 10045
Google Scholar
[33] Zhang Z, Schwanz D, Narayanan B, Kotiuga M, Dura J A, Cherukara M, Zhou H, Freeland J W, Li J R, Sutarto R, He F Z, Wu C Z, Zhu J X, Sun Y F, Ramadoss K, Nonnenmann S S, Yu N F, Comin R, Rabe K M, Sankaranarayanan S, Ramanathan S 2018 Nature 553 68
Google Scholar
计量
- 文章访问数: 621
- PDF下载量: 20
- 被引次数: 0








下载: