-
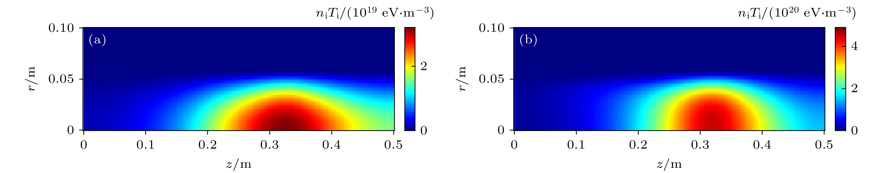
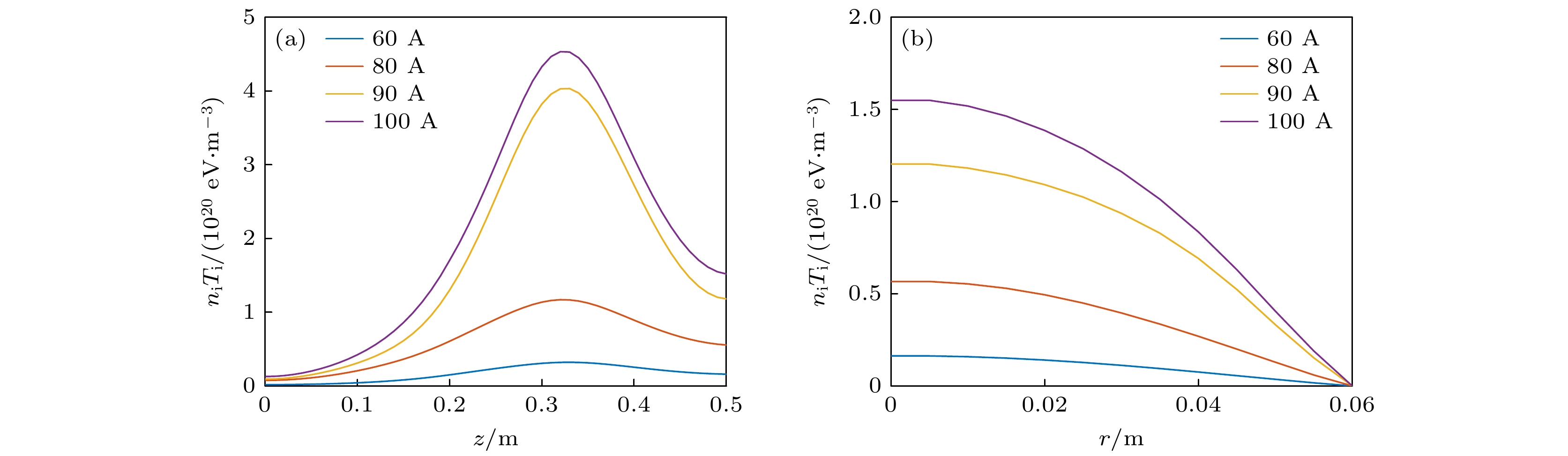
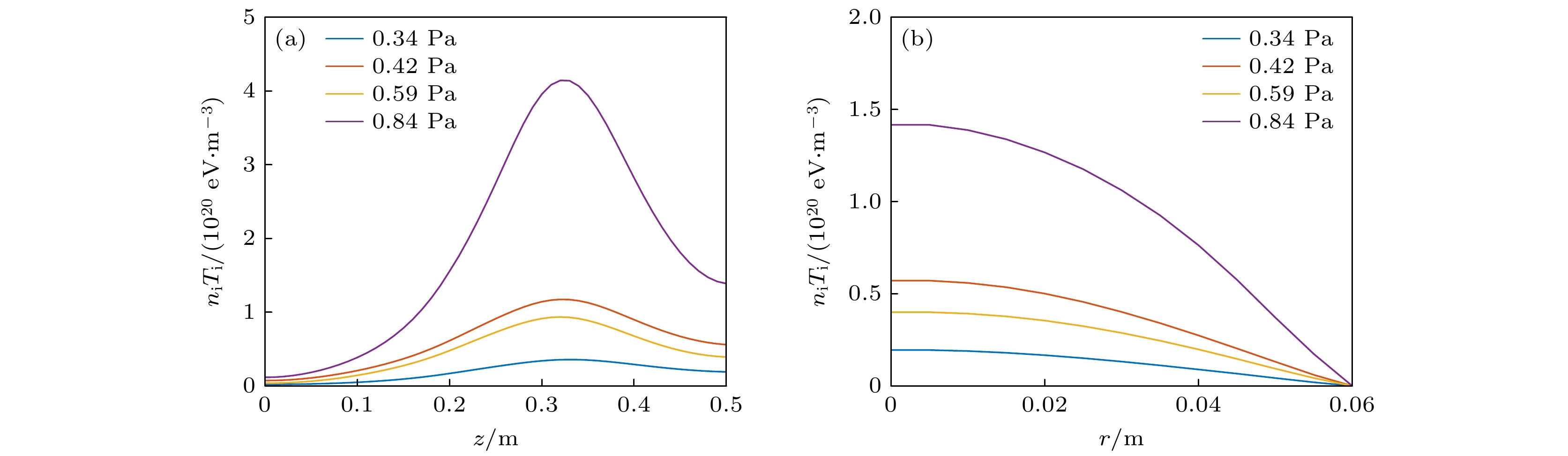
可变比冲磁等离子体发动机具有大推力、高比冲、长寿命、可变比冲、和高效率等技术优势, 是未来深空探测、载人航天所必需的先进动力装置. 可变比冲磁等离子体发动机内螺旋波等离子体源与离子回旋共振单元相互串联, 探究发动机内电离过程对离子加热过程的影响规律对发动机性能测试与优化具有重要意义. 本文建立了串联螺旋波等离子体源与离子回旋共振单元的多组分流体模型, 并在不同螺旋波等离子体源输入电流与气压条件下进行了数值模拟, 探究了螺旋波等离子体源工作状态对离子回旋共振单元离子能量密度的影响规律. 研究结果表明: 螺旋波等离子体源放电模式随输入电流与背景气压增大逐渐转变, 计算区域内等离子体密度与离子回旋共振单元内的离子能量密度出现跳变现象; 在本文模型及输入条件下, 螺旋波等离子体源中的工质电离过程与离子回旋共振单元的离子加热过程是解耦的, 螺旋波等离子体源的工作模式并不影响单个离子通过离子回旋共振单元所获得的能量增益, 发动机进而可以实现多模态工作.
-
关键词:
- 可变比冲磁等离子体发动机 /
- 螺旋波等离子体源 /
- 离子回旋共振单元 /
- 流体模拟
With the technological advantages of high thrust, high specific impulse, long life, variable specific impulse, and high efficiency, the variable specific impulse magnetoplasma rocket engine has become the essential advanced propulsion system for the deep space exploration and manned space flight in the future. In the variable specific impulse magnetoplasma rocket engine, the ion cyclotron resonance heating stage is linked with the helicon plasma source. The operation status of the helicon plasma source has a direct influence on the ion heating process in the ion cyclotron resonance heating stage. It is of great significance for the testing and the optimization of the engine performance to reveal the influence of the ionization process on the ion heating process. In this paper, a multi-fluid model in which the ion cyclotron resonance heating stage is linked with the helicon plasma source is developed. The numerical simulations with different input currents of helicon plasma source and different pressures are performed to analyze the effect of the operation status in the helicon plasma source on the ion energy density in the ion cyclotron resonance heating stage. The results show that the discharge mode of the helicon plasma source gradually changes with the increase of the input current and that the plasma density jump appears while the ion temperature remains basically unchanged. With the plasma density jump and nearly identical ion temperature the ion energy density jump also appears in the simulation domain. Similar to the results of the simulation under different input currents of the helicon plasma source, the plasma density and the ion energy density also jump when the pressure increases. However, the ion temperature decreases due to the discrepancy between the input frequency and the resonance frequency. With the numerical model and the input conditions of this study, the ionization process in the helicon plasma source is decoupled with the ion heating process in the ion cyclotron resonance heating stage. The energy gain of a single ion in the ion cyclotron resonance heating stage does not change with the operation status of the helicon plasma source, thereby accounting for the ability of the engine to work in multi mode.-
Keywords:
- variable specific impulse magnetoplasam rocket engine /
- helicon plasma source /
- ion cyclotron resonance heating stage /
- fluid simulation
[1] 于达仁, 乔磊, 蒋文嘉 刘辉 2020 推进技术 41 1
Yu D R, Qiao L, Jiang W J, Liu H 2020 J. Propul. Technol. 41 1
[2] Chang F R, Squire J P, Carter M D 2018 American Institute of Aeronautics and Astronautics Propulsion and Energy Forum Cincinnati, USA, July 9−11, 2018 pp4416−4423
[3] Chang F R, Giambusso M, Corrigan A M H, Dean L O, Warrayat M F 2022 37th International Electric Propulsion Conference Cambridge, USA, June 19−23, 2022 pp1−10
[4] 于达仁, 汤尧, 刘辉 2023 力学学报 55 2857
Yu D R, Tang Y, Liu H 2023 Chin. J. Theor. Appl. Mech. 55 2857
[5] 杨雄, 程谋森, 王墨戈, 李小康 2017 66 025201
Google Scholar
Yang X, Cheng M S, Wang M G, Li X K 2017 Acta Phys. Sin. 66 025201
Google Scholar
[6] Chen F F 2003 Phys. Plasmas 10 2586
Google Scholar
[7] Wu M Y, Xiao C J, Wang X 2022 Plasma Sci. Technol. 5 24
[8] Chang L, Caneses J F, Thakur S C 2022 Front. Phys. 10 1009563
Google Scholar
[9] Rapp J, Owen L W, Canik J 2019 Phys. Plasmas 26 042513
Google Scholar
[10] 杨雄, 李小康, 郭大伟, 程谋森, 张帆, 车碧轩, 雷清雲 2024 航空学报 45 028761
Yang X, Li X K, Guo D W, Cheng M S, Zhang F, Che B X, Lei Q Y 2024 Acta Aeronauti. Astronaut. Sin. 45 028761
[11] Breizman B N, Ilin A V 2001 Phys. Plasmas 8 907
Google Scholar
[12] Ilin A V, Chang F R, Squire J P 2005 43rd AlAA Aerospace Sciences Meeting and Exhibit Reno, USA, January 10−13, 2005 pp949−960
[13] Zhang Y J 2022 Nucl. Mater. Energy 33 101280
Google Scholar
[14] Ilin A V, Chang F R 2004 Comput. Phys. Commun. 164 251
Google Scholar
[15] Wu M Y, Xiao C J, Wang X G, Tan C, Xu T C, He R C, Yuan R X, Xu A D 2022 Phys. Plasmas 29 023508
Google Scholar
[16] Sun C J, Zhang Y J, Sang C F 2025 Nucl. Fusion 65 056007
Google Scholar
[17] Peter L G, Robert J H 1994 J. Vac. Sci. Technol. 12 461
Google Scholar
[18] Yang Z Y, Fan W , Wei J G 2022 Plasma Sci. Technol. 24 074006
[19] Zhen F H, Chen Z Z, Zhang J Z 2000 IEEE Trans. Microwave Theory Tech. 48 1550
Google Scholar
[20] Boris J P, Landsberg A M, Oran E S, Gardner J H 1993 LCPFCT-A Flux-Corrected Transport Algorithm for Solving Generalized Continuity Equations
[21] Yang Z Y, Fan W, Han X W 2023 Front. Phys. 11 1182960
Google Scholar
[22] 杨振宇, 范威, 鲁海峰, 张元哲, 韩先伟 2023 推进技术 44 2208001
Yang Z Y, Fan W, Lu H F, Zhang Y Z, Han X W 2023 Journal of Propulsion Technology 44 2208001
[23] Chen F F 2007 Plasma Sources Sci. Technol. 16 593
Google Scholar
[24] Thakur S C 2015 IEEE Trans. Plasma Sci. 43 2754
Google Scholar
[25] Kim S H 2008 Plasma Phys. Control. Fusion 50 035007
Google Scholar
-
表 1 模型的几何参数
Table 1. Geometric parameters of the model.
参数 值 参数 值 rstart/m 0 rc1/m 0.07 rend/m 0.1 zc2/m 0.35 zstart/m 0 rc2/m 0.07 zend/m 0.51 Δr/m 0.005 rp/m 0.06 Δz/m 0.01 zc1/m 0.15 Δt/(10–12 s) 2 -
[1] 于达仁, 乔磊, 蒋文嘉 刘辉 2020 推进技术 41 1
Yu D R, Qiao L, Jiang W J, Liu H 2020 J. Propul. Technol. 41 1
[2] Chang F R, Squire J P, Carter M D 2018 American Institute of Aeronautics and Astronautics Propulsion and Energy Forum Cincinnati, USA, July 9−11, 2018 pp4416−4423
[3] Chang F R, Giambusso M, Corrigan A M H, Dean L O, Warrayat M F 2022 37th International Electric Propulsion Conference Cambridge, USA, June 19−23, 2022 pp1−10
[4] 于达仁, 汤尧, 刘辉 2023 力学学报 55 2857
Yu D R, Tang Y, Liu H 2023 Chin. J. Theor. Appl. Mech. 55 2857
[5] 杨雄, 程谋森, 王墨戈, 李小康 2017 66 025201
Google Scholar
Yang X, Cheng M S, Wang M G, Li X K 2017 Acta Phys. Sin. 66 025201
Google Scholar
[6] Chen F F 2003 Phys. Plasmas 10 2586
Google Scholar
[7] Wu M Y, Xiao C J, Wang X 2022 Plasma Sci. Technol. 5 24
[8] Chang L, Caneses J F, Thakur S C 2022 Front. Phys. 10 1009563
Google Scholar
[9] Rapp J, Owen L W, Canik J 2019 Phys. Plasmas 26 042513
Google Scholar
[10] 杨雄, 李小康, 郭大伟, 程谋森, 张帆, 车碧轩, 雷清雲 2024 航空学报 45 028761
Yang X, Li X K, Guo D W, Cheng M S, Zhang F, Che B X, Lei Q Y 2024 Acta Aeronauti. Astronaut. Sin. 45 028761
[11] Breizman B N, Ilin A V 2001 Phys. Plasmas 8 907
Google Scholar
[12] Ilin A V, Chang F R, Squire J P 2005 43rd AlAA Aerospace Sciences Meeting and Exhibit Reno, USA, January 10−13, 2005 pp949−960
[13] Zhang Y J 2022 Nucl. Mater. Energy 33 101280
Google Scholar
[14] Ilin A V, Chang F R 2004 Comput. Phys. Commun. 164 251
Google Scholar
[15] Wu M Y, Xiao C J, Wang X G, Tan C, Xu T C, He R C, Yuan R X, Xu A D 2022 Phys. Plasmas 29 023508
Google Scholar
[16] Sun C J, Zhang Y J, Sang C F 2025 Nucl. Fusion 65 056007
Google Scholar
[17] Peter L G, Robert J H 1994 J. Vac. Sci. Technol. 12 461
Google Scholar
[18] Yang Z Y, Fan W , Wei J G 2022 Plasma Sci. Technol. 24 074006
[19] Zhen F H, Chen Z Z, Zhang J Z 2000 IEEE Trans. Microwave Theory Tech. 48 1550
Google Scholar
[20] Boris J P, Landsberg A M, Oran E S, Gardner J H 1993 LCPFCT-A Flux-Corrected Transport Algorithm for Solving Generalized Continuity Equations
[21] Yang Z Y, Fan W, Han X W 2023 Front. Phys. 11 1182960
Google Scholar
[22] 杨振宇, 范威, 鲁海峰, 张元哲, 韩先伟 2023 推进技术 44 2208001
Yang Z Y, Fan W, Lu H F, Zhang Y Z, Han X W 2023 Journal of Propulsion Technology 44 2208001
[23] Chen F F 2007 Plasma Sources Sci. Technol. 16 593
Google Scholar
[24] Thakur S C 2015 IEEE Trans. Plasma Sci. 43 2754
Google Scholar
[25] Kim S H 2008 Plasma Phys. Control. Fusion 50 035007
Google Scholar
计量
- 文章访问数: 567
- PDF下载量: 9
- 被引次数: 0








下载: