搜索

x

留言板

尊敬的读者、作者、审稿人, 关于本刊的投稿、审稿、编辑和出版的任何问题, 您可以本页添加留言。我们将尽快给您答复。谢谢您的支持!

姓名
邮箱
手机号码
标题
留言内容
验证码

合金元素对钯基合金热力学和弹性性能的影响规律研究以及数据库构建

朱晗毓 种晓宇 高兴誉 武海军 李祖来 冯晶 宋海峰

引用本文:
Citation:

合金元素对钯基合金热力学和弹性性能的影响规律研究以及数据库构建

朱晗毓, 种晓宇, 高兴誉, 武海军, 李祖来, 冯晶, 宋海峰

Influence of alloying elements on the thermodynamic and elastic properties of palladium based alloys and database construction

ZHU Hanyu, CHONG Xiaoyu, GAO Xingyu, WU Haijun, LI Zulai, FENG Jing, SONG Haifeng
cstr: 32037.14.aps.74.20251058
Article Text (iFLYTEK Translation)
PDF
HTML
导出引用
在线预览
  • 钯(Pd)合金较低的摩擦系数和较好的力学性能使得其在用于长时间稳定工作的高精度仪器仪表中具备潜在优势, 但是因为高昂的原料和实验成本导致基础数据缺乏, 无法进行高性能Pd合金的设计. 因此, 本研究利用第一性原理计算了Pd的晶格常数和弹性模量, 并建立Pd与Al, Si, Sc, Ti, V, Cr, Mn, Fe, Co, Ni等33种合金元素形成的稀固溶体模型, 计算了混合焓、弹性常数和弹性模量. 研究结果表明, 除Mn, Fe, Co, Ni, Ru, Rh, Os和Ir外, 其他合金元素都可以固溶到Pd中, 元素周期表两侧的合金元素能提高Pd固溶体的延展性, 其中La, Ag和Zn的作用最明显. 通过差分电荷密度分析, Ag掺杂后形成的电子云呈球形分布, 造成延展性提高, Hf掺杂后周围的离域程度最大, 表明Hf与Pd的键合存在较强的离子性, 导致Pd31Hf硬度较高. 本文数据集可在https://www.doi.org/10.57760/sciencedb.j00213.00186中访问获取.
    The lower friction coefficient and superior mechanical properties of palladium (Pd) alloys make them potentially advantageous for use in high-precision instruments and devices that require long-term stable performance. However, the high cost of raw materials and experimental expenses result in a lack of fundamental data, which hinders the design of high-performance Pd alloys. Therefore, in this study, first-principles calculations are used to determine the lattice constant and elastic modulus of Pd. A model of dilute solid solutions formed by Pd with 33 alloying elements including Al, Si, Sc, Ti, V, Cr, Mn, Fe, Co, Ni, and others, is established. The mixing enthalpy, elastic constant, and elastic modulus are calculated. The results show that, all other alloying elements except for Mn, Fe, Co, Ni, Ru, Rh, Os, and Ir can form solid solutions with Pd. Alloying elements from both sides of the periodic table enhance the ductility of Pd solid solutions, with La, Ag, and Zn having the most significant effects, while Cu and Hf reduce the ductility of Pd. Differential charge density analysis indicates that the electron cloud formed after doping with Ag is spherically distributed, thereby improving ductility. After doping with Hf, the degree of delocalization around the atoms is maximized, indicating a strong ionic bond between Hf and Pd, which results in a higher hardness of Pd31Hf. The datasets presented in this paper are openly available at https://www.doi.org/10.57760/sciencedb.j00213.00186.
      通信作者: 种晓宇, xiaoyuchong@kust.edu.cn ; 高兴誉, gao_xingyu@iapcm.ac.cn
    • 基金项目: 云南省重点研发计划(批准号: 202403AA080016)资助的课题.
      Corresponding author: CHONG Xiaoyu, xiaoyuchong@kust.edu.cn ; GAO Xingyu, gao_xingyu@iapcm.ac.cn
    • Funds: Project supported by the Key Research and Development Program of Yunnan Province, China (Grant No. 202403AA080016).
    [1]

    高书亮, 樊思思, 袁成, 曹军伟 2023 航空兵器 30 11Google Scholar

    Gao S L, Fan S S, Yuan C, Cao J W 2023 Aero Weapon. 30 11Google Scholar

    [2]

    Xu X, Lv J X, Wang Y, Li M, Wang Z, Wang H 2025 Mater. Genome Eng. Adv. 3 e69Google Scholar

    [3]

    焦磊 2018 硕士学位论文 (北京: 北京工业大学)

    Jiao L 2018 M. S. Thesis ( Beijing: Beijing University of Technology

    [4]

    马晓东 余建军 赵涛 2016 山东工业技术 19 2Google Scholar

    Ma X D, Yu J J, Zhao T 2016 Shandong Ind. Technol. 19 2Google Scholar

    [5]

    宿彦京, 付华栋, 白洋, 姜雪, 谢建新 2020 金属学报 56 1313Google Scholar

    Su Y J, Fu H D, Bai Y, Jiang X, Xie J X 2020 Acta Metall. Sin. 56 1313Google Scholar

    [6]

    Wang Z R, Qin M Y, Zhang P, Xu Y G, Que S T, Yan F, Xiang X D 2025 Mater. Genome Eng. Adv. 3 e70010Google Scholar

    [7]

    汪洪, 向勇, 项晓东, 陈立泉 2015 科技导报 33 13Google Scholar

    Wang H, Xiang Y, Xiang X D, Chen L Q 2015 Sci. Technol. Rev. 33 13Google Scholar

    [8]

    Guo Z K, Li R, He X F, Guo J, Ju S H 2024 Mater. Genome Eng. Adv. 2 e73Google Scholar

    [9]

    Meng H Y, Huang J, Zhao T H, Zhang X Y, Tong Y, Qu J L, Li W D, Jiang L, Meng F C, Chen S Y 2025 Mater. Genome Eng. Adv. 9 e70002Google Scholar

    [10]

    Wang W Y, Tang B, Shang S L, Wang J, Li S, Wang Y, Zhu J, Wei S, Wang J, Darling K A, Mathaudhu S N, Wang Y, Ren Y, Hui X D, Kecskes L J, Li J, Liu Z K 2019 Acta Mater. 170 231Google Scholar

    [11]

    Xia Y X, He J G, Chen N F, Chen J K 2024 Rare Metals 43 3460Google Scholar

    [12]

    Chong X Y, Paz Soldan Palma J, Wang Y, Shang S L, Drymiotis F, Ravi V A, Star K E, Fleurial J P, Liu Z K 2021 Acta Mater. 217 117169Google Scholar

    [13]

    Hu Y C, Tian J 2023 J. Mater. Informat. 3 1Google Scholar

    [14]

    Wang W Y, Gan B, Lin D, Wang J, Wang Y, Tang B, Kou H C, Shang S L, Wang Y, Gao X Y, Song H F, Hui X D, Kecskes L J, Xia Z H, Dahmen K A, Liaw P K, Li J S, Liu Z K 2020 J. Mater. Sci. Technol. 53 192Google Scholar

    [15]

    Zou C, Li J, Wang W Y, Zhang Y, Lin D, Yuan R, Wang X, Tang B, Wang J, Gao X Y, Kou H, Hui X D, Zeng X Q, Ma Q, Song H F, Liu Z K, Xu D S 2021 Acta Mater. 202 211Google Scholar

    [16]

    Liao M Q, Liu Y, Min L, Lai Z H, Han T Y, Yang D, Zhu J C 2018 Intermetallics. 101 152Google Scholar

    [17]

    Birch F 1947 Phys. Rev. 71 809Google Scholar

    [18]

    Shang S L, Wang Y, Kim D, Liu Z K 2010 Comput. Mater. Sci. 47 1040Google Scholar

    [19]

    周云轩 2021 博士学位论文 (昆明: 昆明理工大学)

    Zhou Y X 2021 Ph. D. Dissertation ( Kunming: Kunming University of Science and Technology

    [20]

    Chong X Y, Wei Y, Liang Y X, Shang S L, Li C, Zhang A M, Wei Y, Gao X Y, Wang Y, Feng J, Chen L, Song H F, Liu Z K 2023 J. Mater. Inf. 3 21Google Scholar

    [21]

    Teter D M, Gibbs G V, Boisen M B Jr, Allan D C, Teter M P 1995 Phys. Rev. B 52 8064Google Scholar

    [22]

    Huang Z H, Liu G T, Zhang B F, Yan M F, Fu Y D 2020 Phys. Lett. A 384 126797Google Scholar

    [23]

    Su Y, Liang C X, Wang D 2023 J. Mater. Inf. 3 14Google Scholar

    [24]

    Duan Y H, Sun Y, Peng M J, Zhou S G 2014 J. Alloys Compd. 595 14Google Scholar

    [25]

    Tang B Y, Chen P, Li D L, Yi J X, Wen L, Peng L M, Ding W J 2010 J. Alloys Compd. 492 416Google Scholar

    [26]

    Wang Y, Liao M Q, Bocklund B J, Gao P, Shang S L, Kim H J, Beese A M, Chen L Q, Liu Z K 2021 Calphad 75 102355Google Scholar

    [27]

    Liu Y, Lu Y H, Wang W, Li J, Zhang Y, Yin J, Pan X Q, Chen Y, Li J S, Song H F 2023 J. Mater. Inf. 3 17Google Scholar

    [28]

    Chen R T, Li E, Zou Y 2024 J. Mater. Inf. 4 26Google Scholar

    [29]

    Perdew J P, Ruzsinszky A, Csonka G I, Vydrov O A, Scuseria G E, Constantin L A, Zhou X, Burke K 2008 Phys. Rev. Lett. 100 136406Google Scholar

    [30]

    Vega L, Vines F 2020 J. Comput. Chem. 41 2598Google Scholar

    [31]

    Tretiakov K V, Wojciechowski K W 2008 J. Non-Cryst. Solids 354 35Google Scholar

    [32]

    Ji H, Yin J, Wei G, Lai W S, Liu B X, Liu J B 2023 Rare Metals 42 1663Google Scholar

    [33]

    Li R Y, Duan Y H 2016 Philos. Mag. 96 972Google Scholar

    [34]

    Ozisik H B, Deligoz E, Ozisik H, Ateser E 2020 Mater. Res. Express 7 025004Google Scholar

    [35]

    Kenneth Barbalace https://EnvironmentalChemistry.com/yogi/periodic/Pd.html [2025-10-12]

    [36]

    Samsonov G V 1968 Handbook of the Physicochemical Properties of the Elements (New York: Springer New

    [37]

    彭红建, 谢佑卿, 陶辉锦 2006 中国有色金属学报 16 100Google Scholar

    Peng H J, Xie Y Q, Tao H J 2006 Trans. Nonferrous Met. Soc. China 16 100Google Scholar

    [38]

    段亚娟, 乔吉超 2022 71 086101Google Scholar

    Duan Y J, Qiao J C 2022 Acta Phys. Sin. 71 086101Google Scholar

    [39]

    Zhang X Z, Wang D T, Nagaumi H, Wang R, Wu Z B, Zhang M H, Gao D S, Chen H, Wang P F, Zhou P F, Zhou Y X, Wang Z X, Li T L 2025 Mater. Genome Eng. Adv. 3 e70008Google Scholar

    [40]

    Born M 1939 J. Chem. Phys. 7 591Google Scholar

    [41]

    Wang G C, Jiang Y H, Li Z L, Chong X Y, Feng J 2021 Ceram. Int. 47 4758Google Scholar

    [42]

    Xu X W, Fu K, Li L L, Lu Z M, Zhang X H, Fan Y, Lin J, Liu G D, Luo H Z, Tang C C 2013 Physica B 419 105Google Scholar

    [43]

    Tan F Q, Bai Q G, Yu B, Wang J F, Zhang Z H 2024 Rare Metals 43 5305Google Scholar

    [44]

    庄严, 陈敬超, 吕连灏 2015 材料导报 29 150Google Scholar

    Yan Z, Chen J C, Lv L U 2015 Mater. Rev. 29 150Google Scholar

    [45]

    Li W, Zhang Y L, Cheng X, Wang J Q, Yang B, Guo H G 2022 Sep. Purif. Technol. 282 119967

    [46]

    Chen F Q, Ding J Q, Guo K Q, Yang L, Zhang Z G, Yang Q W, Yang Y W, Bao Z B, He Y, Ren Q L 2021 Angew. Chem. Int. Ed. 60 2341Google Scholar

    [47]

    Ma W, Huang H, Ding W, Guo S, Liu H X, Cheng X N 2023 Rare Metals 42 1670Google Scholar

  • 图 1  (a) Pd超胞模型; (b) Pd的能量-体积曲线; (c) Pd的弹性模量与实验值对比

    Fig. 1.  (a) Supercell models of Pd; (b) the energy-volume curves for Pd; (c) comparison of the elastic modulus of Pd with experimental values.

    图 2  Pd31X晶体结构示意图

    Fig. 2.  Crystal structure of Pd31X.

    图 3  Pd31X (X = Al, Si, Sc, Ti, V, Cr, Mn, Fe, Co, Ni, Cu, Zn, Ga, Y, Zr, Nb, Mo, Tc, Ru, Rh, Pd, Ag, Cd, La, Ce, Hf, Ta, W, Re, Os, Ir, Pt, Th)的能量-体积曲线

    Fig. 3.  Energy-volume curves for Pd31X (X = Al, Si, Sc, Ti, V, Cr, Mn, Fe, Co, Ni, Cu, Zn, Ga, Y, Zr, Nb, Mo, Tc, Ru, Rh, Pd, Ag, Cd, La, Ce, Hf, Ta, W, Re, Os, Ir, Pt, Th).

    图 4  原子弛豫(a)和完全弛豫(b)策略下Ir-X二元合金的混合焓的三点拟合

    Fig. 4.  Three-point fitting of the mixing enthalpy of Ir-X binary alloys under atomic relaxation (a) and complete relaxation (b) strategies.

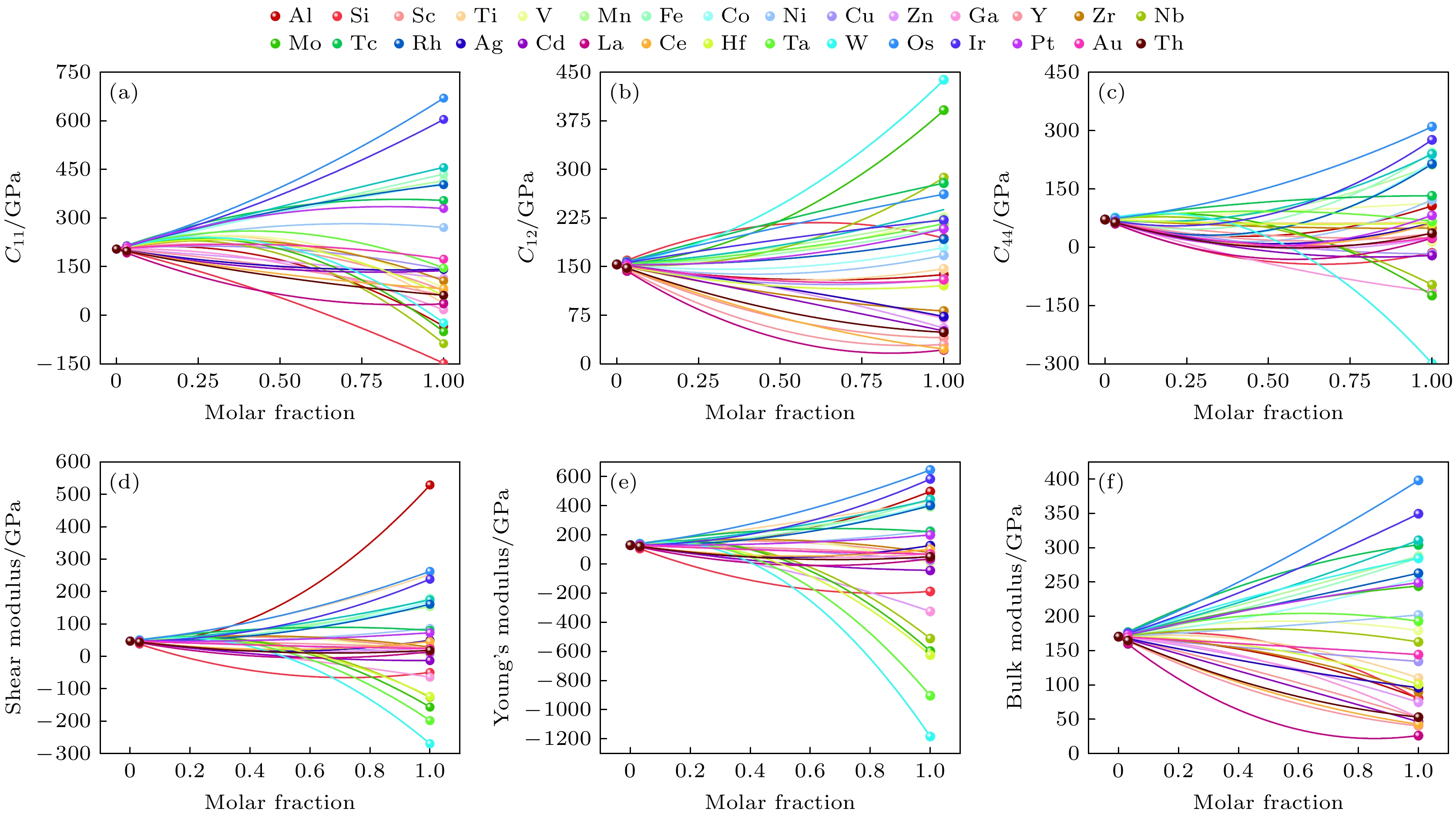
    图 5  钯基稀固溶体合金的弹性特性 (a) 体模量; (b) 剪切模量; (c) 杨氏模量; (d) 泊松比

    Fig. 5.  Elastic properties of Pd-based dilute alloys: (a) Bulk modulus; (b) shear modulus; (c) Young’s modulus; (d) Poisson’s ratio.

    图 6  通过R-K多项式得到的Pd-X二元合金的弹性常数和弹性模量

    Fig. 6.  Elastic constants and elastic modulus of Pd-X binary alloys obtained through R-K polynomials.

    图 7  钯基稀固溶体合金在完全弛豫策略下的泊松比与B/G的关系

    Fig. 7.  Poisson’s ratio and B/G relationship of dilute Pd-based alloys under the complete relaxation strategy in terms of computational materials science.

    图 8  差分电荷密度 (a) (111)面; (b) (100)面

    Fig. 8.  Differential charge density: (a) (111) plane; (b) (100) plane.

    表 1  Pd稀固溶体原子及完全松弛豫略下的体积(V )、混合焓(ΔH )与零阶相互作用参数(0L)

    Table 1.  Volume (V ), mixing enthalpy (ΔH ), and zero-order interaction parameter (0L) for atomic and complete relaxation strategies of Pd dilute solid solution.

    $ {\text{P}}{{\text{d}}_{31}}X $Atom relaxing strategyFull relaxing strategySolid solubility
    V/(Å3·unit cell–1)ΔH/(J·mol–1)0LV/(Å3·unit cell–1)ΔH/(J·mol–1)0L
    Al487.87–8564.71–282911.59486.32–8681.80–286779.565%
    Si487.87–7619.23–251680.33484.34–7644.04–252499.956.00%
    Sc487.87–11153.07–368411.25491.01–11418.30–377172.3510%
    Ti487.87–10113.64–334076.21487.22–10255.70–338768.786%
    V487.87–6175.68–203996.75485.01–6249.44–206433.2410%
    Cr487.87–1968.7–65030.61485.57–1897.47–62677.7212%
    Mn487.871093.4936120.32483.34962.9231807.4915%
    Fe487.872205.7872862.04483.352006.7966288.6610%
    Co487.871678.7855453.81483.601427.4247151.003%
    Ni487.87524.5117325.86484.15270.468933.84完全互溶
    Cu487.87–766.65–25324.15485.30–997.37–32945.4120%
    Zn487.87–4513.42–149088.54486.68–4589.15–151590.117%
    Ga487.87–6361.88–210147.41487.05–6472.09–213787.63
    Y487.87–10057.30–332215.41496.61–10411.01–343899.138%
    Zr487.87–11826.39–390652.51492.53–12047.20–397946.228%
    Nb487.87–9494.62–313628.61489.21–9616.53–317655.7615%
    Mo487.87–5023.61–165941.15487.39–5089.07–168103.5123%
    Tc487.87–973.48–32156.31486.18–1072.43–35424.7825%—86%
    Ru487.871059.9235011.71486.21995.8132893.734%
    Rh487.87814.7026911.42486.61531.9117570.248%
    Ag487.87–18.04–595.92490.16–128.24–4236.11完全互溶
    Cd487.87–3068.11–101346.48492.11–3208.36–105979.25
    La487.87–8248.78–272475.91501.57–8649.21–285703.03
    Ce487.87–11290.17–372939.69497.96–11613.00–383603.6217%
    Hf487.87–12565.04–415051.67491.86–12765.53–421674.2412%
    Ta487.87–10076.76–332858.26489.28–10186.26–336475.274%
    W487.87–5839.20–192881.85487.40–5887.76–194485.8528%
    Re487.87–1398.74–46203.54487.82–1356.74–44816.1918%
    Os487.871196.4539521.60486.101091.1336042.659%
    Ir487.871114.9836830.25486.88910.9630091.003%
    Pt487.87–229.64–7585.51488.04–509.93–16844.30完全互溶
    Au487.87–458.08–15131.47490.65–733.56–24231.25完全互溶
    Th487.87–12313.59–406745.80501.50–12676.97–418748.79
    下载: 导出CSV

    表 2  完全驰豫下的钯基稀固溶体合金的计算弹性性能(GPa), 包括弹性常数$ {C_{ij}} $、体模量、剪切模量、杨氏模量、B/G和泊松比

    Table 2.  Calculated elastic properties (GPa) of Pd-based dilute alloys in full relaxing strategy, including Elastic constants $ {C_{ij}} $, bulk modulus, shear modulus, Young’s modulus, B/G and Poisson’s ratio.

    $ {\text{P}}{{\text{d}}_{31}}X $ C11 C12 C44 G B E B/G υ $ {\text{P}}{{\text{d}}_{31}}X $ C11 C12 C44 G B E B/G υ
    Al 207 151 65 47 170 128 3.643 0.374 Tc 215 158 75 51 177 140 3.463 0.368
    Si 197 160 61 38 172 106 4.548 0.398 Ru 213 155 69 49 174 134 3.550 0.371
    Sc 208 147 68 49 167 135 3.383 0.365 Rh 213 153 64 47 173 130 3.674 0.375
    Ti 212 151 71 51 171 138 3.381 0.365 Ag 200 151 64 43 168 120 3.859 0.381
    V 212 153 73 50 173 138 3.432 0.367 Cd 199 150 64 44 167 120 3.820 0.380
    Cr 211 153 74 51 172 139 3.375 0.365 La 193 143 61 42 160 116 3.784 0.379
    Mn 213 155 70 49 174 135 3.544 0.371 Ce 199 147 64 44 165 122 3.720 0.377
    Fe 212 154 66 47 173 130 3.655 0.375 Hf 210 150 70 50 170 137 3.405 0.366
    Co 212 152 64 47 172 129 3.659 0.375 Ta 213 154 74 51 174 140 3.403 0.366
    Ni 211 151 63 47 171 129 3.654 0.375 W 212 156 77 51 175 140 3.409 0.366
    Cu 207 151 66 47 169 129 3.611 0.373 Re 213 155 75 50 174 140 3.402 0.366
    Zn 203 152 64 44 169 122 3.814 0.379 Os 214 157 74 51 176 138 3.486 0.369
    Ga 205 152 63 45 169 123 3.791 0.379 Ir 213 156 67 48 175 131 3.684 0.376
    Y 202 145 66 47 164 129 3.471 0.369 Pt 214 153 63 47 174 129 3.689 0.376
    Zr 210 150 70 50 170 136 3.418 0.367 Au 207 151 65 46 170 127 3.666 0.375
    Nb 211 153 74 51 172 139 3.375 0.365 Th 198 148 64 44 165 121 3.742 0.377
    Mo 212 155 76 51 174 140 3.393 0.366
    下载: 导出CSV
    Baidu
  • [1]

    高书亮, 樊思思, 袁成, 曹军伟 2023 航空兵器 30 11Google Scholar

    Gao S L, Fan S S, Yuan C, Cao J W 2023 Aero Weapon. 30 11Google Scholar

    [2]

    Xu X, Lv J X, Wang Y, Li M, Wang Z, Wang H 2025 Mater. Genome Eng. Adv. 3 e69Google Scholar

    [3]

    焦磊 2018 硕士学位论文 (北京: 北京工业大学)

    Jiao L 2018 M. S. Thesis ( Beijing: Beijing University of Technology

    [4]

    马晓东 余建军 赵涛 2016 山东工业技术 19 2Google Scholar

    Ma X D, Yu J J, Zhao T 2016 Shandong Ind. Technol. 19 2Google Scholar

    [5]

    宿彦京, 付华栋, 白洋, 姜雪, 谢建新 2020 金属学报 56 1313Google Scholar

    Su Y J, Fu H D, Bai Y, Jiang X, Xie J X 2020 Acta Metall. Sin. 56 1313Google Scholar

    [6]

    Wang Z R, Qin M Y, Zhang P, Xu Y G, Que S T, Yan F, Xiang X D 2025 Mater. Genome Eng. Adv. 3 e70010Google Scholar

    [7]

    汪洪, 向勇, 项晓东, 陈立泉 2015 科技导报 33 13Google Scholar

    Wang H, Xiang Y, Xiang X D, Chen L Q 2015 Sci. Technol. Rev. 33 13Google Scholar

    [8]

    Guo Z K, Li R, He X F, Guo J, Ju S H 2024 Mater. Genome Eng. Adv. 2 e73Google Scholar

    [9]

    Meng H Y, Huang J, Zhao T H, Zhang X Y, Tong Y, Qu J L, Li W D, Jiang L, Meng F C, Chen S Y 2025 Mater. Genome Eng. Adv. 9 e70002Google Scholar

    [10]

    Wang W Y, Tang B, Shang S L, Wang J, Li S, Wang Y, Zhu J, Wei S, Wang J, Darling K A, Mathaudhu S N, Wang Y, Ren Y, Hui X D, Kecskes L J, Li J, Liu Z K 2019 Acta Mater. 170 231Google Scholar

    [11]

    Xia Y X, He J G, Chen N F, Chen J K 2024 Rare Metals 43 3460Google Scholar

    [12]

    Chong X Y, Paz Soldan Palma J, Wang Y, Shang S L, Drymiotis F, Ravi V A, Star K E, Fleurial J P, Liu Z K 2021 Acta Mater. 217 117169Google Scholar

    [13]

    Hu Y C, Tian J 2023 J. Mater. Informat. 3 1Google Scholar

    [14]

    Wang W Y, Gan B, Lin D, Wang J, Wang Y, Tang B, Kou H C, Shang S L, Wang Y, Gao X Y, Song H F, Hui X D, Kecskes L J, Xia Z H, Dahmen K A, Liaw P K, Li J S, Liu Z K 2020 J. Mater. Sci. Technol. 53 192Google Scholar

    [15]

    Zou C, Li J, Wang W Y, Zhang Y, Lin D, Yuan R, Wang X, Tang B, Wang J, Gao X Y, Kou H, Hui X D, Zeng X Q, Ma Q, Song H F, Liu Z K, Xu D S 2021 Acta Mater. 202 211Google Scholar

    [16]

    Liao M Q, Liu Y, Min L, Lai Z H, Han T Y, Yang D, Zhu J C 2018 Intermetallics. 101 152Google Scholar

    [17]

    Birch F 1947 Phys. Rev. 71 809Google Scholar

    [18]

    Shang S L, Wang Y, Kim D, Liu Z K 2010 Comput. Mater. Sci. 47 1040Google Scholar

    [19]

    周云轩 2021 博士学位论文 (昆明: 昆明理工大学)

    Zhou Y X 2021 Ph. D. Dissertation ( Kunming: Kunming University of Science and Technology

    [20]

    Chong X Y, Wei Y, Liang Y X, Shang S L, Li C, Zhang A M, Wei Y, Gao X Y, Wang Y, Feng J, Chen L, Song H F, Liu Z K 2023 J. Mater. Inf. 3 21Google Scholar

    [21]

    Teter D M, Gibbs G V, Boisen M B Jr, Allan D C, Teter M P 1995 Phys. Rev. B 52 8064Google Scholar

    [22]

    Huang Z H, Liu G T, Zhang B F, Yan M F, Fu Y D 2020 Phys. Lett. A 384 126797Google Scholar

    [23]

    Su Y, Liang C X, Wang D 2023 J. Mater. Inf. 3 14Google Scholar

    [24]

    Duan Y H, Sun Y, Peng M J, Zhou S G 2014 J. Alloys Compd. 595 14Google Scholar

    [25]

    Tang B Y, Chen P, Li D L, Yi J X, Wen L, Peng L M, Ding W J 2010 J. Alloys Compd. 492 416Google Scholar

    [26]

    Wang Y, Liao M Q, Bocklund B J, Gao P, Shang S L, Kim H J, Beese A M, Chen L Q, Liu Z K 2021 Calphad 75 102355Google Scholar

    [27]

    Liu Y, Lu Y H, Wang W, Li J, Zhang Y, Yin J, Pan X Q, Chen Y, Li J S, Song H F 2023 J. Mater. Inf. 3 17Google Scholar

    [28]

    Chen R T, Li E, Zou Y 2024 J. Mater. Inf. 4 26Google Scholar

    [29]

    Perdew J P, Ruzsinszky A, Csonka G I, Vydrov O A, Scuseria G E, Constantin L A, Zhou X, Burke K 2008 Phys. Rev. Lett. 100 136406Google Scholar

    [30]

    Vega L, Vines F 2020 J. Comput. Chem. 41 2598Google Scholar

    [31]

    Tretiakov K V, Wojciechowski K W 2008 J. Non-Cryst. Solids 354 35Google Scholar

    [32]

    Ji H, Yin J, Wei G, Lai W S, Liu B X, Liu J B 2023 Rare Metals 42 1663Google Scholar

    [33]

    Li R Y, Duan Y H 2016 Philos. Mag. 96 972Google Scholar

    [34]

    Ozisik H B, Deligoz E, Ozisik H, Ateser E 2020 Mater. Res. Express 7 025004Google Scholar

    [35]

    Kenneth Barbalace https://EnvironmentalChemistry.com/yogi/periodic/Pd.html [2025-10-12]

    [36]

    Samsonov G V 1968 Handbook of the Physicochemical Properties of the Elements (New York: Springer New

    [37]

    彭红建, 谢佑卿, 陶辉锦 2006 中国有色金属学报 16 100Google Scholar

    Peng H J, Xie Y Q, Tao H J 2006 Trans. Nonferrous Met. Soc. China 16 100Google Scholar

    [38]

    段亚娟, 乔吉超 2022 71 086101Google Scholar

    Duan Y J, Qiao J C 2022 Acta Phys. Sin. 71 086101Google Scholar

    [39]

    Zhang X Z, Wang D T, Nagaumi H, Wang R, Wu Z B, Zhang M H, Gao D S, Chen H, Wang P F, Zhou P F, Zhou Y X, Wang Z X, Li T L 2025 Mater. Genome Eng. Adv. 3 e70008Google Scholar

    [40]

    Born M 1939 J. Chem. Phys. 7 591Google Scholar

    [41]

    Wang G C, Jiang Y H, Li Z L, Chong X Y, Feng J 2021 Ceram. Int. 47 4758Google Scholar

    [42]

    Xu X W, Fu K, Li L L, Lu Z M, Zhang X H, Fan Y, Lin J, Liu G D, Luo H Z, Tang C C 2013 Physica B 419 105Google Scholar

    [43]

    Tan F Q, Bai Q G, Yu B, Wang J F, Zhang Z H 2024 Rare Metals 43 5305Google Scholar

    [44]

    庄严, 陈敬超, 吕连灏 2015 材料导报 29 150Google Scholar

    Yan Z, Chen J C, Lv L U 2015 Mater. Rev. 29 150Google Scholar

    [45]

    Li W, Zhang Y L, Cheng X, Wang J Q, Yang B, Guo H G 2022 Sep. Purif. Technol. 282 119967

    [46]

    Chen F Q, Ding J Q, Guo K Q, Yang L, Zhang Z G, Yang Q W, Yang Y W, Bao Z B, He Y, Ren Q L 2021 Angew. Chem. Int. Ed. 60 2341Google Scholar

    [47]

    Ma W, Huang H, Ding W, Guo S, Liu H X, Cheng X N 2023 Rare Metals 42 1670Google Scholar

  • [1] 刘郅澄, 周杰, 陈凡, 彭彪, 彭文屹, 章爱生, 邓晓华, 罗显芝, 刘日新, 刘德武, 黄雨, 阎军. Si对Inconel 718合金中γ相影响的第一性原理研究.  , 2023, 72(18): 186301. doi: 10.7498/aps.72.20230583
    [2] 张江林, 王仲民, 王殿辉, 胡朝浩, 王凤, 甘伟江, 林振琨. V/Pd界面氢吸附扩散行为的第一性原理研究.  , 2023, 72(16): 168801. doi: 10.7498/aps.72.20230132
    [3] 张博凯. 胶体聚合物弹性模量的微观理论: 键长的效应.  , 2021, 70(12): 126401. doi: 10.7498/aps.70.20210128
    [4] 付现凯, 陈万骐, 姜钟生, 杨波, 赵骧, 左良. Ti3O5弹性、电子和光学性质的第一性原理研究.  , 2019, 68(20): 207301. doi: 10.7498/aps.68.20190664
    [5] 严顺涛, 姜振益. Cu掺杂对TiNi合金马氏体相变路径影响的第一性原理研究.  , 2017, 66(13): 130501. doi: 10.7498/aps.66.130501
    [6] 张朝民, 江勇, 尹登峰, 陶辉锦, 孙顺平, 姚建刚. 点缺陷浓度对非化学计量比L12型结构的A13Sc弹性性能的影响.  , 2016, 65(7): 076101. doi: 10.7498/aps.65.076101
    [7] 马蕾, 王旭, 尚家香. Pd掺杂对NiTi合金马氏体相变和热滞影响的第一性原理研究.  , 2014, 63(23): 233103. doi: 10.7498/aps.63.233103
    [8] 范开敏, 杨莉, 孙庆强, 代云雅, 彭述明, 龙兴贵, 周晓松, 祖小涛. 六角相ErAx (A=H, He)体系弹性性质的第一性原理研究.  , 2013, 62(11): 116201. doi: 10.7498/aps.62.116201
    [9] 周平, 王新强, 周木, 夏川茴, 史玲娜, 胡成华. 第一性原理研究硫化镉高压相变及其电子结构与弹性性质.  , 2013, 62(8): 087104. doi: 10.7498/aps.62.087104
    [10] 汝强, 李燕玲, 胡社军, 彭薇, 张志文. Sn3InSb4合金嵌Li性能的第一性原理研究.  , 2012, 61(3): 038210. doi: 10.7498/aps.61.038210
    [11] 张正罡, 他得安. 基于弹性模量检测骨疲劳的超声导波方法研究.  , 2012, 61(13): 134304. doi: 10.7498/aps.61.134304
    [12] 宋云飞, 于国洋, 殷合栋, 张明福, 刘玉强, 杨延强. 激光超声技术测量高温下蓝宝石单晶的弹性模量.  , 2012, 61(6): 064211. doi: 10.7498/aps.61.064211
    [13] 文黎巍, 王玉梅, 裴慧霞, 丁俊. Sb系half-Heusler合金磁性及电子结构的第一性原理研究.  , 2011, 60(4): 047110. doi: 10.7498/aps.60.047110
    [14] 胡玉平, 平凯斌, 闫志杰, 杨雯, 宫长伟. Finemet合金析出相-Fe(Si)结构与磁性的第一性原理计算.  , 2011, 60(10): 107504. doi: 10.7498/aps.60.107504
    [15] 范开敏, 杨莉, 彭述明, 龙兴贵, 吴仲成, 祖小涛. 第一性原理计算α-ScDx(D=H,He)的弹性常数.  , 2011, 60(7): 076201. doi: 10.7498/aps.60.076201
    [16] 罗礼进, 仲崇贵, 全宏瑞, 谭志中, 蒋青, 江学范. Heusler合金Mn2NiGe磁性形状记忆效应的第一性原理预测.  , 2010, 59(11): 8037-8041. doi: 10.7498/aps.59.8037
    [17] 李世娜, 刘永. Cu3N弹性和热力学性质的第一性原理研究.  , 2010, 59(10): 6882-6888. doi: 10.7498/aps.59.6882
    [18] 王娜, 唐壁玉. L12型铝合金的结构、弹性和电子性质的第一性原理研究.  , 2009, 58(13): 230-S234. doi: 10.7498/aps.58.230
    [19] 朱建新, 李永华, 孟繁玲, 刘常升, 郑伟涛, 王煜明. NiTi合金的第一性原理研究.  , 2008, 57(11): 7204-7209. doi: 10.7498/aps.57.7204
    [20] 宇 霄, 罗晓光, 陈贵锋, 沈 俊, 李养贤. 第一性原理计算XHfO3(X=Ba, Sr)的结构、弹性和电子特性.  , 2007, 56(9): 5366-5370. doi: 10.7498/aps.56.5366
计量
  • 文章访问数:  882
  • PDF下载量:  22
  • 被引次数: 0
出版历程
  • 收稿日期:  2025-08-06
  • 修回日期:  2025-10-19
  • 上网日期:  2025-11-05
  • 刊出日期:  2025-12-20

/

返回文章
返回
Baidu
map