-
With the rise and widespread applications of three-dimensional (3D) heterogeneous integration technology, inductive voltage regulators are becoming increasingly important for mobile terminals and high-computing-power devices, while also offering significant development opportunities for high-frequency soft magnetic films. According to the requirements of on-chip power inductors, we first review the advantages and limitations of three types of magnetic core films: permalloy, Co-based amorphous metal films, and FeCo-based nanogranular composite films, with a focus on the technical requirements and challenges of several μm-thick laminated magnetic core films. Secondly, almost all on-chip inductors are hard-axis excited, which means that the magnetic field of inductors should be parallel to the hard axis of the magnetic core. We thus compare the characteristics of two methods of preparing large-area films, i.e. applying an in-situ magnetic field and oblique sputtering, both of which can effectively induce in-plane uniaxially magnetic anisotropy (IPUMA). Their influences on the static and high-frequency soft magnetic properties are also compared. The influences of film patterning on the domain structures and high-frequency magnetic losses of magnetic cores, as well as corresponding countermeasures, are also briefly analyzed. Furthermore, the temperature stability of magnetic permeability and anisotropy of magnetic core films is discussed from the perspectives of process compatibility and long-term reliability. Although the Curie temperatures and crystallization temperatures of the three types of magnetic core films are relatively high, the upper limits of their actual process temperatures are affected by the thermal effects on the alignment of magnetic atomic pairs, microstructural defects, and grain size. Finally, the current bottlenecks in testing high-frequency and large-signal magnetic losses of magnetic core films are discussed, and potential technical approaches to achieving magnetic core films that meet the future demands of on-chip power inductors for higher saturation current and lower magnetic losses are outlined.
-
Keywords:
- integrated voltage regulator /
- on-chip inductor /
- soft magnetic film /
- high frequency magnetic loss
-
图 2 (a) 软磁材料的发展历程[25], 硅钢片、坡莫合金、软磁铁氧体、Fe(Co)基非晶、纳米晶和复合磁粉芯; (b) 不同软磁材料在1 kHz下的性能对比图[30]; (c) 不同软磁材料在100 kHz功率损耗[30]; (d) 横电东磁DMR 52 W锰锌铁氧体在不同频率下的功率损耗
Figure 2. (a) Development history of soft magnetic materials[25], including silicon steel sheets, Permalloy, soft magnetic ferrites, Fe(Co)-based amorphous, nanocrystalline and composite magnetic powder cores; (b) performance comparison of different soft magnetic materials at 1 kHz[30]; (c) power losses of different soft magnetic materials at 100 kHz[30]; (d) power losses of Heng Dian Group Dmegc Magnetics Co., Ltd. DMR 52 W MnZn ferrite at different frequencies.
图 4 面内单轴各向异性[Ni81Fe19(120 nm)/SiO2(20 nm)]30和的M-H曲线(a)及复数磁导率(b) [16]; 面内单轴各向异性[Ni45Fe55(140 nm)/SiO2(20 nm)]25的M-H曲线(c)及复数磁导率(d) [17]
Figure 4. (a) M-H loop and (b) complex permeability of the in-plane uniaxial anisotropic [Ni81Fe19(120 nm)/SiO2(20 nm)]30 multilayer[16]; M-H loop (c) and complex permeability (d) of the in-plane uniaxial anisotropic [Ni45Fe55(140 nm)/SiO2(20 nm)]25 multilayer [17].
图 6 (a) 薄膜的4πMs以及ρ随x的变化; (b) 薄膜ρ随温度的变化; (c) 实测Fe-Al-O纳米颗粒膜的σ随Fe体积含量ϕ的变化[57]; (d) Fe-Co-Ti-O纳米复合颗粒膜的TEM照片[54]
Figure 6. (a) 4πMs and ρ of the thin film as a function of x; (b) variation of the film ρ with temperature; (c) variation of σ with Fe volume fraction (ϕ) in experimentally measured Fe-Al-O nanogranular films[57]; (d) TEM image of Fe-Co-Ti-O nanocomposite granular films[54].
图 8 不同倾斜角度β溅射沉积的FeCoTiO磁膜的M-H曲线 (a) 10°, (b) 17°, (c) 32°; 不同倾斜角度β溅射沉积的FeCoTiO磁膜低场FMR虚部磁导率测试曲线 (d) 10°, (e) 17°, (f) 32°
Figure 8. M-H loops of FeCoTiO magnetic films sputter-deposited at different oblique angles β: (a) 10°; (b) 17°; (c) 32°; low-field FMR spectra of the imaginary part permeability for FeCoTiO magnetic films sputter-deposited at different tilt angles β: (d) 10°; (e) 17°; (f) 32°.
图 9 根据FeCoTiO磁膜不同诱导磁场(a)与不同倾斜角度(b)下沉积形成的磁膜的$ f_{\text{r}}^{2} $-Hbias曲线; 不同诱导磁场(c)下与不同倾斜角度(d)下沉积的磁膜的Δf-Hbias曲线
Figure 9. Comparison of $ f_{\text{r}}^{2} $-Hbias curves for magnetic films deposited under different inducing magnetic fields (a) and at different oblique angles (b); Δf-Hbias curves for magnetic films deposited under different inducing magnetic fields (c) and at different tilt angles (d).
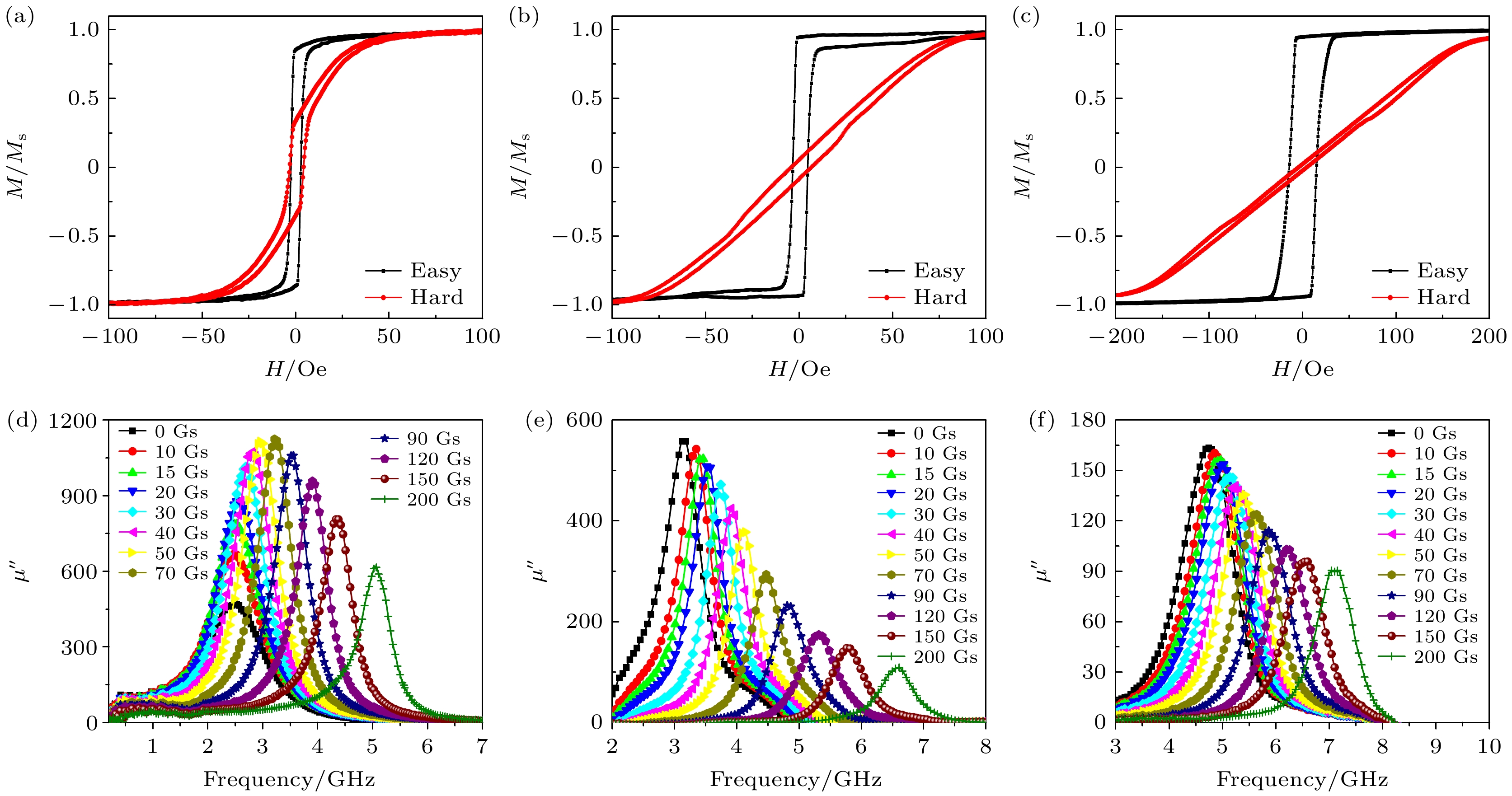
图 10 (a) 115 Oe磁场诱导与17°倾斜角下沉积的FeCo-Ti-O磁膜的高频磁损耗; (b)不同尺寸的[FeCoSiB(100 nm)/NiFe(5 nm)]3的高频磁损耗[78]
Figure 10. High-frequency magnetic losses of (a) FeCo-Ti-O films deposited under an in-situ 115 Oe field and by oblique sputtering at a tilt angle of 17°; (b) pattered [FeCoSiB(100 nm)/NiFe(5 nm)]3 films with different lateral dimensions[78].
图 12 不同厚度的图形化FeCoSiB薄膜的Moke照片 (a)—(e) 50 nm; (f)—(j) 300 nm. 样品首先沿负磁场方向饱和, 然后降场, 磁矩方向沿箭头方向所示[79]
Figure 12. MOKE images of the full 50 nm layer (a)—(e) and 300 nm layer (f)—(j). The magnetic states are approached from saturation by a magnetic field in negative direction, the magnetization directions are indicated by arrows in the images[79].
图 14 (a) FeCoHfO薄膜的诱导各向异性场和难轴矫顽力随退火温度的变化情况; (b) 不同温度退火后测得的XRD谱, 图中直线对应CoFe(110)峰[84]; (c) 300 K(未退火), (d) 373 K, (e) 473 K, (f) 573 K退火后FeCo(体积分数为30.5%)-SiO2纳米颗粒膜的TEM照片[85]
Figure 14. (a) Annealing temperature dependence of the induced anisotropy field and hard axis coercivity in the FeCoHfO; (b) XRD patterns for different annealing temperatures, the vertical line indicates the position of the CoFe (110) peak[84]; TEM micrographs of FeCo (30.5%)–SiO2 film annealed at (c) 300 K (as-deposited film), (d) 373 K, (e) 473 K and (f) 573 K[85].
表 1 3类磁芯薄膜材料磁参数对比
Table 1. Comparison between magnetic parameters of soft magnetic thin film materials.
坡莫合金
Ni80Fe20
Ni45Fe55
CoNiFe非晶磁膜
CoZr
CoZrTa(B)
CoFeB纳米颗粒膜
FeCo-X-O(N, F)
(X = Si, Al, Hf, Zr, Ti, etc.)4πMs/T 1 ~ 1.5 ~ 2.0 1.5 1.4—2.0 Hk/Oe1) <10 (25) <25 50—100 μr ~1000 (600) 600 100—400 Hch/Oe <1 (2) <0.52) 1—2 ρ/(μΩ·cm) ~20 (45) ~100 500—2000 tthres/nm3) ~100 ~160 ~500 αeff <0.01 <0.01 0.014 注: 1)原位磁场诱导各向异性; 2)取决于靶材质量; 3)出现垂直各向异性的厚度阈值. -
[1] Burton E A, Schrom G, Paillet F, Douglas J, Lambert W J, Radhakrishnan K, Hill M J 2014 Proceedings of the 2014 IEEE Applied Power Electronics Conference and Exposition-APEC 2014 Fort Worth, TX, USA, March 16–20, 2014 pp432–439
[2] Sankarasubramanian M, Radhakrishnan K, Min Y, Lambert W, Hill M J, Dani A, Mesch R, Wojewoda L, Chavarria J, Augustine A 2020 Proceedings of the 2020 IEEE 70th Electronic Components and Technology Conference (ECTC) Orlando, FL, USA, June 3–30, 2020 pp399–404
[3] Bharath K, Radhakrishnan K, Hill M J, Chatterjee P, Hariri H, Venkataraman S, Do H T, Wojewoda L, Srinivasan S 2021 Proceedings of the 2021 IEEE 71st Electronic Components and Technology Conference (ECTC) San Diego, CA, USA, June 1–July 4, 2021 pp1286–1292
[4] Dennard R H, Gaensslen F H, Yu H N, Rideout V L, Bassous E, Leblanc A R 1999 Proc. IEEE 87 668
Google Scholar
[5] Kim W, Gupta M S, Wei G Y, Brooks D 2008 Proceedings of the 2008 IEEE 14th International Symposium on High Performance Computer Architecture Salt Lake City, UT, USA, 2008 pp123–134
[6] Gunawardane K, Kularatna N 2018 IET Power Electron. 11 229
Google Scholar
[7] Chyan T Y, Ramiah H, Hatta S F W M, Lai N S, Lim C C, Chen Y, Mak P I, Martins R P 2022 IEEE Access 10 114469
Google Scholar
[8] De Souza A F, Tofoli F L, Ribeiro E R 2021 Energies 14 2231
Google Scholar
[9] Barzegarkhoo R, Forouzesh M, Lee S S, Blaabjerg F, Siwakoti Y P 2022 IEEE Trans. Power Electron. 37 11209
Google Scholar
[10] Peng H J, Wang J Y, Liu Z H, Gao J, Wang X, Li J, He Y D, Wei J, Xie Y 2024 Proceedings of the 2024 IEEE 10th International Power Electronics and Motion Control Conference (IPEMC2024-ECCE Asia) Chengdu, China, May 17–20, 2024 pp1629–1633
[11] Bellaredj M L F, Davis A K, Kohl P, Swaminathan M 2019 IEEE J. Emerg. Sel. Top. Power Electron. 8 2682
[12] Schaef C, Salus T, Rayess R, Kulasekaran S, Manusharow M, Radhakrishnan K, Douglas J 2022 Proceedings of the 2022 IEEE International Solid-State Circuits Conference (ISSCC) San Francisco, CA, USA, February 20–26, 2022 pp1–3
[13] Choi B, Baek J, Marin B C, Qu S, Kulasekaran S, Chavarria J I, Wojewoda L E, Radhakrishnan K 2024 Proceedings of the 2024 IEEE 74th Electronic Components and Technology Conference (ECTC) Denver, CO, USA, May 28–31, 2024 pp1044–1047
[14] Wang N G, Doris B B, Shehata A B, O'sullivan E J, Brown S L, Rossnagel S, Ott J, Gignac L, Massouras M, Romankiw L T 2016 Proceedings of the 2016 IEEE International Electron Devices Meeting (IEDM) San Francisco, CA, USA, December 3–7, 2016 pp35.33. 31–35.33. 34
[15] Lambert W J, Hill M J, O'brien K P, Radhakrishnan K, Fischer P 2019 IEEE Trans. Power Electron. 35 6208
[16] He Y H, Zhang Z P, Wu R X, Guo W, Zhang H W, Bai F M 2020 Solid-State Electron. 164 107699
Google Scholar
[17] He Y H, Wu R X, Zhong Z Y, Zhang H W, Bai F M 2021 IEEE Trans. Electron Devices 68 6292.
Google Scholar
[18] Herget P, Wang N, O'sullivan E J, Webb B C, Romankiw L T, Fontana R, Decad G, Gallagher W J 2013 IEEE Trans. Magn. 49 4137
Google Scholar
[19] Gardner D S, Schrom G, Hazucha P, Paillet F, Karnik T, Borkar S, Saulters J, Owens J, Wetzel J 2006 Proceedings of the 2006 International Electron Devices Meeting San Francisco, CA, USA, December 11–13, 2006 pp1–4
[20] Gardner D S, Schrom G, Hazucha P, Paillet F, Karnik T, Borkar S, Hallstein R, Dambrauskas T, Hill C, Linde C 2008 J. Appl. Phys. 103 07E927
Google Scholar
[21] Takamura Y, Nitta H, Kawahara K, Kaneko T, Ishido R, Miyazaki T, Hosoda N, Fujisaki K, Nakagawa S 2023 IEEE Trans. Magn. 59 2801204
[22] Sturcken N, Davies R, Wu H, Lekas M, Shepard K, Cheng K, Chen C, Su Y, Tsai C, Wu K 2015 Proceedings of the 2015 IEEE International Electron Devices Meeting (IEDM) Washington, DC, USA, December 7–9, 2015 pp11.4. 1–11.4. 4
[23] Wu H, Lekas M, Davies R, Shepard K L, Sturcken N 2016 IEEE Trans. Magn. 52 8401204
[24] Li H W, Zhu K Y, Lei K B, Xu T T, Wu H X 2022 IEEE Trans. Power Electron. 37 10075
Google Scholar
[25] Silveyra J M, Ferrara E, Huber D L, Monson T C 2018 Science 362 eaao0195
Google Scholar
[26] Li Q F, Liu X Y, Wang H, Lan Z W, Zhang K, Wu C J, Liu P Y, Jiang X N, Sun K, Yu Z 2025 Ceram. Int. 51 20813
Google Scholar
[27] Islam R A, Jiang J, Bai F, Viehland D, Priya S 2007 Appl. Phys. Lett. 91 162905
Google Scholar
[28] Ying Y, Chen G, Li Z C, Zheng J W, Yu J, Qiao L, Li W C, Li J, Wakiya N, Yamaguchi M, Che S L 2025 J. Am. Ceram. Soc. 108 e20137
Google Scholar
[29] Http://Www.Hitachi-Metals.Co.Jp/E/Products/Elec/Tel/P02_21.Html
[30] Shen W, Wang F, Boroyevich D S, Tipton C W 2008 IEEE Trans. Power Electron. 23 475
Google Scholar
[31] Snoek J L 1948 Physica 14 207
Google Scholar
[32] Acher O, Adenot A L 2000 Phys. Rev. B 62 11324
Google Scholar
[33] 邓龙江, 周佩珩 2009 电子科技大学学报 38 531
Deng L J, Zhou P H 2009 J. Univ. Electron. Sci. Technol. China 38 531
[34] Xue D S, Li F S, Fan X L, Wen F S 2008 Chin. Phys. Lett. 25 4120
Google Scholar
[35] He Y H, Wang Y C, Zhong Z Y, Zhang H W, Bai F M 2018 IEEE Trans. Magn. 54 2800905
[36] Kim S G, Yun E J, Kim J Y, Kim J, Cho K 2001 J. Appl. Phys. 90 3533
Google Scholar
[37] Anthony R, Hegarty M, O’brien J, Rohan J F, Mathúna C Ó 2016 IEEE Magn. Lett. 8 5103304
[38] Jordan D, Wei G, Ye L, Lordan D, Podder P, Masood A, Rodgers K, Mathúna C Ó, Mccloskey P 2020 IEEE J. Emerg. Sel. Top. Power Electron. 9 102
[39] Deng S G, Bhatnagar S, He S, Ahmad N, Rahaman A, Gao J R, Narang J, Khalifa I, Nag A 2022 Nanomaterials 12 3284
Google Scholar
[40] Cheng C, Davies R, Sturcken N, Shepard K, Bailey W E 2013 J. Appl. Phys. 113 17A343
Google Scholar
[41] Xu X L, Feng G N, Peng W L, Teng J, Han G, Guo R S, Xiong X D, He X, Luo J F, Feng C 2020 AIP Adv. 10 065109
Google Scholar
[42] Jordan D, Wei G, Masood A, O'mathuna C, Mccloskey P 2020 J. Appl. Phys. 128 093902.
Google Scholar
[43] Wu Y Z, Yeng I, Yu H B 2021 AIP Adv. 11 025139
Google Scholar
[44] Li C Z, Jiang C J, Chai G Z 2021 Chin. Phys. B 30 037502
Google Scholar
[45] Zhang W H, Zhou G Y, Gao Q, Jia W, Chen X M, Huang B X, Feng L, He W, Wang C, Zhu Y K 2022 IEEE Trans. Electron Devices 69 5116
Google Scholar
[46] Sturcken N, Sullivan E J O, Wang N, Herget P, Webb B C, Romankiw L T, Petracca M, Davies R, Fontana R E, Decad G M, Kymissis I, Peterchev A V, Carloni L P, Gallagher W J, Shepard K L 2013 IEEE J. Solid-State Circuit 48 244
[47] Osaka T, Takai M, Hayashi K, Ohashi K, Saito M, Yamada K 1998 Nature 392 796
Google Scholar
[48] Osaka T 2000 Electrochim. Acta 45 3311
Google Scholar
[49] Kim Y M, Choi D, Han S H, Kim H J 2001 Proceedings of the 6th Korean-Polish Joint Seminar on Physical Properties of Magnetic Materials Bedlewo, Poland, Jun 12–15, 2001 pp12–16
[50] Kim Y M, Choi D, Kim S R, Kim K H, Kim J, Han S H, Kim H J 2001 J. Magn. Magn. Mater. 226 1507
[51] Gardner D S, Schrom G, Paillet F, Jamieson B, Karnik T, Borkar S 2009 IEEE Trans. Magn. 45 4760
Google Scholar
[52] Davies R P, Cheng C, Sturcken N, Bailey W E, Shepard K L 2013 IEEE Trans. Magn. 49 4009
Google Scholar
[53] Xu X L, Feng G N, Liu J T, Zhu R G, Yang X Y, Liu M C, Xiong X D, He X, Luo J F, Feng C, Yu G H 2020 J. Appl. Phys. 128 165303
Google Scholar
[54] Wang Y C, Wang L, Zhang H W, Zhong Z Y, Peng D L, Ye F, Bai F M 2016 J. Alloy. Compd. 667 229
Google Scholar
[55] Wang Y C, Zhang H W, Wang L, Zhong Z Y, Bai F M 2014 IEEE Trans. Magn. 50 2007504
[56] Wang Y C, Zhang H W, Wang L, Bai F M 2014 J. Appl. Phys. 115 17A306
Google Scholar
[57] Grimaldi C 2014 Phys. Rev. B 89 214201
Google Scholar
[58] Kuo Y M, Lee C C, Duh J G 2010 Appl. Surf. Sci. 256 6437
Google Scholar
[59] Lu G D, Zhang H W, Xiao J Q, Bai F M, Tang X L, Li Y X, Zhong Z Y 2011 J. Appl. Phys. 109 07A327
Google Scholar
[60] Gao Y H, Lu J D, Han G 2015 Physica B 458 40
Google Scholar
[61] Zheng F, Han Z Y, Li S T, Ma Z, Gao H 2022 Appl. Phys. A 128 253
Google Scholar
[62] Lu G, Huang X, Piao H, Pan L 2016 J. Alloy. Compd. 668 107
Google Scholar
[63] Ohnuma S, Ohnuma M, Fujimori H, Masumoto T 2007 J. Magn. Magn. Mater. 310 2503
Google Scholar
[64] Liu Y, Tan C Y, Liu Z W, Ong C K 2007 Appl. Phys. Lett. 90 112506
Google Scholar
[65] Kobayashi N, Masumoto H, Takahashi S, Maekawa S 2014 Nat. Commun. 5 4417
Google Scholar
[66] Cao Y, Kobayashi N, Ohnuma S, Masumoto H 2021 Appl. Phys. Lett. 118 032901
Google Scholar
[67] Lu G D, Zhang H W, Xiao J Q, Tang X L, Xie Y S, Zhong Z Y 2011 J. Appl. Phys. 109 07A308
Google Scholar
[68] Chai G Z, Phuoc N N, Ong C K 2013 Appl. Phys. Lett. 103 042412
Google Scholar
[69] Zhang B M, Wang G W, Zhang F, Xiao Y H, Ge S H 2009 Appl. Phys. A 97 657
Google Scholar
[70] Yang F F, Yan S S, Yu M X, Kang S S, Dai Y Y, Chen Y X, Pan S B, Zhang J L, Bai H L, Zhu D P 2013 J. Alloy. Compd. 558 91
Google Scholar
[71] Pan L L, Wang F L, Wang W F, Chai G Z, Xue D S 2016 Sci. Rep. 6 21327
Google Scholar
[72] Park S J, Liu C H, Kim H S, Park N J, Jin S, Han J H 2015 Thin Solid Films 594 178
Google Scholar
[73] Lin P C, Cheng C Y, Yeh J W, Chin T S 2016 Entropy 18 308
Google Scholar
[74] Yu J, Arasu M A, Wickramanayaka S 2016 Proceedings of the 2016 IEEE 18th Electronics Packaging Technology Conference (EPTC) Singapore, Auguest 16–19, 2016 pp658–661
[75] Falub C V, Rohrmann H, Bless M, Meduňa M, Marioni M, Schneider D, Richter J H, Padrun M 2017 AIP Adv. 7 056414
Google Scholar
[76] Queitsch U, Mccord J, Neudert A, Schäfer R, Schultz L, Rott K, Brückl H 2006 J. Appl. Phys. 100 093911
Google Scholar
[77] Mozooni B, Von Hofe T, Mccord J 2014 Phys. Rev. B 90 054410
Google Scholar
[78] Wu H, Hu W B, Wu Y T, Jia Y N, Wang W, Yang Q H, Bai F M 2025 IEEE Sens. J. 25 19062
Google Scholar
[79] Kittmann A, Müller C, Durdaut P, Thormählen L, Schell V, Niekiel F, Lofink F, Meyners D, Knöchel R, Höft M J S, McCord J, Quandt E 2020 Sensor Actuat. A 311 111998
Google Scholar
[80] Guan P, Liu Y H, Guo Y C 1989 Acta Phys. Sin. 38 2029 (in Chinse) [关鹏, 刘宜华, 郭贻诚 1989 38 2029]
Google Scholar
Guan P, Liu Y H, Guo Y C 1989 Acta Phys. Sin. 38 2029 (in Chinse)
Google Scholar
[81] Hoshi Y, Kazama H, Naoe M, Yamanaka S I 1983 IEEE Trans. Magn. 19 1958.
Google Scholar
[82] Phuoc N N, Ong C 2013 Adv. Mater. 25 980
Google Scholar
[83] Phuoc N N, Ong C K 2014 IEEE Trans. Magn. 50 2102306
[84] Wang C, Zhang Y, Zhang P, Rong Y, Hsu T 2008 J. Magn. Magn. Mater. 320 683
Google Scholar
[85] Kim D Y, Yoon S S, Rao B P, Kim C, Kim K H, Takahashi M 2008 IEEE Trans. Magn. 44 3115
Google Scholar
Metrics
- Abstract views: 197
- PDF Downloads: 3
- Cited By: 0









DownLoad: