-
Photoionization time delay in atoms and molecules is a fundamental phenomenon in attosecond physics, encoding essential information about electronic structure and dynamics. Compared with atoms, molecules exhibit anisotropic potentials and additional nuclear degrees of freedom, which renders the explanation of molecular photoionization time delays more complicated but also more informative. In this work, we investigate the dependence of the photoionization time delay on the internuclear distance in the 5σ→kσ ionization channel of carbon monoxide (CO) molecules. The molecular ground state is obtained using the Hartree-Fock method, and the photoionization process is treated within quantum scattering theory based on the iterative Schwinger variational principle of the Lippmann-Schwinger equation. Numerical calculations are performed with the ePolyScat program to obtain molecular-frame differential photoionization cross sections and time delays at various internuclear distances. Our results show that the extrema of the photoionization time delay occur near the peaks and dips of the differential cross section and shift toward lower energies as the internuclear distance R increases. At low energies, the time delay at the O end increases with R, while it decreases at the C end. This behavior is attributed to the asymmetric charge distribution and the resulting short-range potential difference between the two atomic sites. Around the shape-resonance energy region, both cross section and time delay display pronounced peaks associated with an l = 3 quasi-bound state. As R increases, the effective potential barrier broadens, the quasi-bound state energy moves toward lower values, and its lifetime becomes longer, leading to enhanced resonance amplitude and increased time delay. In the high-energy region, opposite-sign peaks of time delay are found along the O and C directions, corresponding to minima in the cross section. These features are well explained by a two-center interference model, where increasing R shifts the interference minima and the associated time-delay peaks toward lower energies. This study provides deeper insights into the photoionization dynamics of CO molecules, explains the role of nuclear motion, and provides valuable references for studying the photoelectron dynamics of more complex molecular systems.
[1] Wigner E P 1955 Phys. Rev. 98 145
Google Scholar
[2] Smith F T 1960 Phys. Rev. 119 2098
[3] Hargrove L E, Fork R L, Pollack M A 1964 Appl. Phys. Lett. 5 4
Google Scholar
[4] Fork R, Greene B, Shank C 1981 Conference on Lasers and Electro-Optics (Washington, D.C.: Optica Publishing Group) pWL1
[5] Strickland D, Mourou G 1985 Opt. Commun. 56 219
Google Scholar
[6] Paul P M, Toma E S, Breger P, Mullot G, Augé F, Balcou P, Muller H G, Agostini P 2001 Science 292 1689
Google Scholar
[7] Hentschel M, Kienberger R, Spielmann C, Reider G A, Milosevic N, Brabec T, Corkum P, Heinzmann U, Drescher M, Krausz F 2001 Nature 414 509
Google Scholar
[8] Wang X W, Xiao F, Wang J C, Wang L, Zhang B, Liu J L, Zhao J, Zhao Z X 2024 Ultrafast Sci. 4 0080
Google Scholar
[9] Itatani J, Quéré F, Yudin G L, Ivanov M Y, Krausz F, Corkum P B 2002 Phys. Rev. Lett. 88 173903
Google Scholar
[10] Muller H G 2002 Appl. Phys. B 74 s17
Google Scholar
[11] Schultze M, Fieß M, Karpowicz N, Gagnon J, Korbman M, Hofstetter M, Neppl S, Cavalieri A L, Komninos Y, Mercouris T, Nicolaides C A, Pazourek R, Nagele S, Feist J, Burgdörfer J, Azzeer A M, Ernstorfer R, Kienberger R, Kleineberg U, Goulielmakis E, Krausz F, Yakovlev V S 2010 Science 328 1658
Google Scholar
[12] Pazourek R, Nagele S, Burgdörfer J 2015 Rev. Mod. Phys. 87 765
Google Scholar
[13] Kheifets A S 2023 J. Phys. B: At. Mol. Opt. Phys. 56 022001
Google Scholar
[14] Magrakvelidze M, Madjet M E A, Chakraborty H S 2016 Phys. Rev. A 94 013429
Google Scholar
[15] Alexandridi C, Platzer D, Barreau L, Busto D, Zhong S Y, Turconi M, Neoričić L, Laurell H, Arnold C L, Borot A, Hergott J F, Tcherbakoff O, Lejman M, Gisselbrecht M, Lindroth E, L’ Huillier A, Dahlström J M, Salières P 2021 Phys. Rev. Res. 3 L012012
Google Scholar
[16] Zhong S Y, Vinbladh J, Busto D, Squibb R J, Isinger M, Neoričić L, Laurell H, Weissenbilder R, Arnold C L, Feifel R, Dahlström J M, Wendin G, Gisselbrecht M, Lindroth E, L’ Huillier A 2020 Nat. Commun. 11 5042
Google Scholar
[17] Ossiander M, Siegrist F, Shirvanyan V, Pazourek R, Sommer A, Latka T, Guggenmos A, Nagele S, Feist J, Burgdörfer J, Kienberger R, Schultze M 2017 Nat. Phys. 13 280
Google Scholar
[18] Cirelli C, Marante C, Heuser S, Petersson C L M, Galán ff J, Argenti L, Zhong S Y, Busto D, Isinger M, Nandi S, Maclot S, Rading L, Johnsson P, Gisselbrecht M, Lucchini M, Gallmann L, Dahlström J M, Lindroth E, L’ Huillier A, Martín F, Keller U 2018 Nat. Commun. 9 955
Google Scholar
[19] Holzmeier F, Joseph J, Houver J C, Lebech M, Dowek D, Lucchese R R 2021 Nat. Commun. 12 7343
Google Scholar
[20] Huppert M, Jordan I, Baykusheva D, Von Conta A, Wörner H J 2016 Phys. Rev. Lett. 117 093001
Google Scholar
[21] Gong X C, Jiang W Y, Tong J H, Qiang J J, Lu P F, Ni H C, Lucchese R, Ueda K, Wu J 2022 Phys. Rev. X 12 011002
[22] Nandi S, Plésiat É, Zhong S Y, et al. 2020 Sci. Adv. 6 eaba7762
Google Scholar
[23] Gong X C, Plésiat É, Palacios A, Heck S, Martín F, Wörner H J 2023 Nat. Commun. 14 4402
Google Scholar
[24] Desrier A, Berkane M, Lévêque C, Taïeb R, Caillat J 2024 Phys. Rev. A 109 053106
Google Scholar
[25] Werner H, Knowles P J, Knizia G, Manby F R, Schütz M 2012 WIREs Comput. Mol. Sci. 2 242
Google Scholar
[26] Werner H J, Knowles P J, Manby F R, Black J A, Doll K, Heßelmann A, Kats D, Köhn A, Korona T, Kreplin D A, Ma Q L, Miller T F, Mitrushchenkov A, Peterson K A, Polyak I, Rauhut G, Sibaev M 2020 J. Chem. Phys. 152 144107
Google Scholar
[27] Werner H J, Knowles P J, Celani P, Györffy W, Hesselmann A, Kats D, Knizia G, Köhn A, Korona T, Kreplin D, Lindh R, Ma Q L, Manby F R, Mitrushenkov A, Rauhut G, Schütz M, Shamasundar K R, Adler T B, Amos R D, Bennie S J, Bernhardsson A, Berning A, Black J A, Bygrave P J, Cimiraglia R, Cooper D L, Coughtrie D, Deegan M J O, Dobbyn A J, Doll K, Dornbach M, Eckert F, Erfort S, Goll E, Hampel C, Hetzer G, Hill J G, Hodges M, Hrenar T, Jansen G, Köppl C, Kollmar C, Lee S J R, Liu Y, Lloyd A W, Mata R A, May A J, Mussard B, McNicholas S J, Meyer W, Miller III T F, Mura M E, Nicklass A, O’Neill D P, Palmieri P, Peng D, Peterson K A, Pflüger K, Pitzer R, Polyak I, Reiher M, Richardson J O, Robinson J B, Schröder B, Schwilk M, Shiozaki T, Sibaev M, Stoll H, Stone A J, Tarroni R, Thorsteinsson T, Toulouse J, Wang M, Welborn M, Ziegler B, see 2021 https://www.molpro.net
[28] Lucchese R R, Takatsuka K, McKoy V 1986 Phys. Rep. 131 147
Google Scholar
[29] Gianturco F A, Lucchese R R, Sanna N 1994 J. Chem. Phys. 100 6464
Google Scholar
[30] Natalense A P P, Lucchese R R 1999 J. Chem. Phys. 111 5344
Google Scholar
[31] Baykusheva D, Wörner H J 2017 J. Chem. Phys. 146 124306
Google Scholar
[32] Gong X C, Heck S, Jelovina D, Perry C, Zinchenko K, Lucchese R, Wörner H J 2022 Nature 609 507
Google Scholar
[33] Biswas S, Förg B, Ortmann L, Schötz J, Schweinberger W, Zimmermann T, Pi L W, Baykusheva D, Masood H A, Liontos I, Kamal A M, Kling N G, Alharbi A F, Alharbi M, Azzeer A M, Hartmann G, Wörner H J, Landsman A S, Kling M F 2020 Nat. Phys. 16 778
Google Scholar
[34] Lu T, Chen F W 2012 J. Comput. Chem. 33 580
Google Scholar
[35] Humphrey W, Dalke A, Schulten K 1996 J. Mol. Graph. 14 33
Google Scholar
[36] Lucchese R R, Gianturco F 1996 Int. Rev. Phys. Chem. 15 429
Google Scholar
[37] Cohen H D, Fano U 1966 Phys. Rev. 150 30
Google Scholar
[38] Ueda K, Liu X J, Prümper G, Lischke T, Tanaka T, Hoshino M, Tanaka H, Minkov I, Kimberg V, Gel’ mukhanov F 2006 Chem. Phys. 329 329
Google Scholar
[39] Liao Y J, Zhou Y M, Pi L W, Ke Q H, Liang J T, Zhao Y, Li M, Lu P X 2021 Phys. Rev. A 104 013110
Google Scholar
-
图 1 (a) CO分子5σ轨道光电离示意图, 在偏振方向平行于分子轴的XUV光子作用下, 光电子$ \mathrm{e}^{-} $沿与分子轴(z轴)夹角为θ的方向出射; 在平衡核间距$ R = 1.13 $ Å下$ 5\sigma\to k\sigma $通道的(b)微分光电离截面和(c)微分光电离时间延迟随θ和光电子能量的变化, 其中能量范围为1.5—60 eV
Figure 1. (a) Schematic diagram of photoionization from the 5σ orbital of CO molecule; (b) differential photoionization cross section and corresponding (c) differential photoionization time delay for the $ 5\sigma \to k\sigma $ channel at the equilibrium internuclear distance $ R = 1.13$ Å. The photoelectron energy ranges from 1.5 eV to 60 eV
图 2 CO分子$ 5\sigma \to k\sigma $通道在不同核间距R(1.05, 1.08, 1.11, 1.13, 1.15和1.18 Å)下的微分光电离截面(a)—(e)与时间延迟(f)—(j)对发射角θ和光电子能量$ E_{\mathrm{e }}$的依赖
Figure 2. Angle- and energy-resolved differential photoionization cross sections (a)–(e) and time-delay (f)–(j) maps of the $ 5\sigma \to k\sigma $ channel in CO at various internuclear distances R = 1.05, 1.08, 1.11, 1.13, 1.15, and 1.18 Å.
图 3 在不同能量区间内, CO分子沿O端和C端出射方向的光电离时间延迟随光电子能量变化曲线, 展示了多个核间距($ R = 1.05—1.18 $ Å)下的结果 (a), (c), (e) 分别对应低能区、形状共振能区、高能区, 光电子沿O端出射的情况; (b), (d), (f) 相同能区, 光电子沿C端出射的情况
Figure 3. Photoionization time delays of the CO molecule for electron emission along the O and C ends in different energy intervals. Each subfigure shows the energy dependence of the time delay at various internuclear distances ($ R = 1.05 $–1.18 Å): (a), (c), (e) Correspond to low, shape resonance, and high energy ranges with emission along the O end; (b), (d), (f) for the same energy intervals with emission along the C end.
图 4 在平衡核间距$ R = 1.13 $ Å下, CO分子不同分波($ l = 0—3 $)的(a)光电离截面和(b)光电离时间延迟随光电子能量的变化. 图(a)中红线和黑线分别表示为光电子沿C端和O端出射时的微分光电离截面; 图(b)中的红线和黑线分别表示光电子沿C端和O端出射时的光电离时间延迟
Figure 4. Partial-wave (a) photoionization cross sections and (b) photoionization time delays for the CO molecule at the equilibrium internuclear distance ($ R = 1.13 $ Å), with orbital angular momentum quantum numbers l = 0–3, as functions of photoelectron energy. In panel (a), the red and black curves correspond to the differential cross sections for photoelectrons emitted along the C and O ends, respectively; in panel (b), the red and black curves correspond to the photoionization time delays for emission along the C and O ends, respectively.
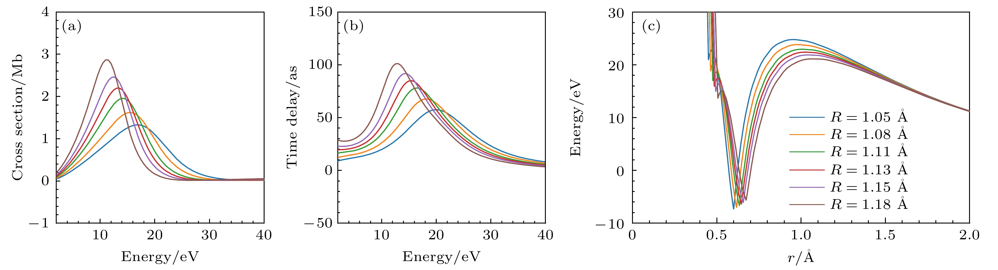
图 5 不同核间距下$ l = 3 $分波的(a)光电离截面及(b)光电离时间延迟随光电子能量的变化; (c)不同核间距下$ l = 3 $分波的静态交换关联模型势与离心势叠加形成的有效势随径向坐标r的变化
Figure 5. (a) Photoionization cross section and (b) photoionization time delay of the $ l = 3 $ partial wave as functions of photoelectron energy at different internuclear distances; (c) effective potentials composed of the static exchange-correlation model potential and the centrifugal potential for the $ l = 3 $ partial wave, as functions of the radial coordinate r at different internuclear distances.
-
[1] Wigner E P 1955 Phys. Rev. 98 145
Google Scholar
[2] Smith F T 1960 Phys. Rev. 119 2098
[3] Hargrove L E, Fork R L, Pollack M A 1964 Appl. Phys. Lett. 5 4
Google Scholar
[4] Fork R, Greene B, Shank C 1981 Conference on Lasers and Electro-Optics (Washington, D.C.: Optica Publishing Group) pWL1
[5] Strickland D, Mourou G 1985 Opt. Commun. 56 219
Google Scholar
[6] Paul P M, Toma E S, Breger P, Mullot G, Augé F, Balcou P, Muller H G, Agostini P 2001 Science 292 1689
Google Scholar
[7] Hentschel M, Kienberger R, Spielmann C, Reider G A, Milosevic N, Brabec T, Corkum P, Heinzmann U, Drescher M, Krausz F 2001 Nature 414 509
Google Scholar
[8] Wang X W, Xiao F, Wang J C, Wang L, Zhang B, Liu J L, Zhao J, Zhao Z X 2024 Ultrafast Sci. 4 0080
Google Scholar
[9] Itatani J, Quéré F, Yudin G L, Ivanov M Y, Krausz F, Corkum P B 2002 Phys. Rev. Lett. 88 173903
Google Scholar
[10] Muller H G 2002 Appl. Phys. B 74 s17
Google Scholar
[11] Schultze M, Fieß M, Karpowicz N, Gagnon J, Korbman M, Hofstetter M, Neppl S, Cavalieri A L, Komninos Y, Mercouris T, Nicolaides C A, Pazourek R, Nagele S, Feist J, Burgdörfer J, Azzeer A M, Ernstorfer R, Kienberger R, Kleineberg U, Goulielmakis E, Krausz F, Yakovlev V S 2010 Science 328 1658
Google Scholar
[12] Pazourek R, Nagele S, Burgdörfer J 2015 Rev. Mod. Phys. 87 765
Google Scholar
[13] Kheifets A S 2023 J. Phys. B: At. Mol. Opt. Phys. 56 022001
Google Scholar
[14] Magrakvelidze M, Madjet M E A, Chakraborty H S 2016 Phys. Rev. A 94 013429
Google Scholar
[15] Alexandridi C, Platzer D, Barreau L, Busto D, Zhong S Y, Turconi M, Neoričić L, Laurell H, Arnold C L, Borot A, Hergott J F, Tcherbakoff O, Lejman M, Gisselbrecht M, Lindroth E, L’ Huillier A, Dahlström J M, Salières P 2021 Phys. Rev. Res. 3 L012012
Google Scholar
[16] Zhong S Y, Vinbladh J, Busto D, Squibb R J, Isinger M, Neoričić L, Laurell H, Weissenbilder R, Arnold C L, Feifel R, Dahlström J M, Wendin G, Gisselbrecht M, Lindroth E, L’ Huillier A 2020 Nat. Commun. 11 5042
Google Scholar
[17] Ossiander M, Siegrist F, Shirvanyan V, Pazourek R, Sommer A, Latka T, Guggenmos A, Nagele S, Feist J, Burgdörfer J, Kienberger R, Schultze M 2017 Nat. Phys. 13 280
Google Scholar
[18] Cirelli C, Marante C, Heuser S, Petersson C L M, Galán ff J, Argenti L, Zhong S Y, Busto D, Isinger M, Nandi S, Maclot S, Rading L, Johnsson P, Gisselbrecht M, Lucchini M, Gallmann L, Dahlström J M, Lindroth E, L’ Huillier A, Martín F, Keller U 2018 Nat. Commun. 9 955
Google Scholar
[19] Holzmeier F, Joseph J, Houver J C, Lebech M, Dowek D, Lucchese R R 2021 Nat. Commun. 12 7343
Google Scholar
[20] Huppert M, Jordan I, Baykusheva D, Von Conta A, Wörner H J 2016 Phys. Rev. Lett. 117 093001
Google Scholar
[21] Gong X C, Jiang W Y, Tong J H, Qiang J J, Lu P F, Ni H C, Lucchese R, Ueda K, Wu J 2022 Phys. Rev. X 12 011002
[22] Nandi S, Plésiat É, Zhong S Y, et al. 2020 Sci. Adv. 6 eaba7762
Google Scholar
[23] Gong X C, Plésiat É, Palacios A, Heck S, Martín F, Wörner H J 2023 Nat. Commun. 14 4402
Google Scholar
[24] Desrier A, Berkane M, Lévêque C, Taïeb R, Caillat J 2024 Phys. Rev. A 109 053106
Google Scholar
[25] Werner H, Knowles P J, Knizia G, Manby F R, Schütz M 2012 WIREs Comput. Mol. Sci. 2 242
Google Scholar
[26] Werner H J, Knowles P J, Manby F R, Black J A, Doll K, Heßelmann A, Kats D, Köhn A, Korona T, Kreplin D A, Ma Q L, Miller T F, Mitrushchenkov A, Peterson K A, Polyak I, Rauhut G, Sibaev M 2020 J. Chem. Phys. 152 144107
Google Scholar
[27] Werner H J, Knowles P J, Celani P, Györffy W, Hesselmann A, Kats D, Knizia G, Köhn A, Korona T, Kreplin D, Lindh R, Ma Q L, Manby F R, Mitrushenkov A, Rauhut G, Schütz M, Shamasundar K R, Adler T B, Amos R D, Bennie S J, Bernhardsson A, Berning A, Black J A, Bygrave P J, Cimiraglia R, Cooper D L, Coughtrie D, Deegan M J O, Dobbyn A J, Doll K, Dornbach M, Eckert F, Erfort S, Goll E, Hampel C, Hetzer G, Hill J G, Hodges M, Hrenar T, Jansen G, Köppl C, Kollmar C, Lee S J R, Liu Y, Lloyd A W, Mata R A, May A J, Mussard B, McNicholas S J, Meyer W, Miller III T F, Mura M E, Nicklass A, O’Neill D P, Palmieri P, Peng D, Peterson K A, Pflüger K, Pitzer R, Polyak I, Reiher M, Richardson J O, Robinson J B, Schröder B, Schwilk M, Shiozaki T, Sibaev M, Stoll H, Stone A J, Tarroni R, Thorsteinsson T, Toulouse J, Wang M, Welborn M, Ziegler B, see 2021 https://www.molpro.net
[28] Lucchese R R, Takatsuka K, McKoy V 1986 Phys. Rep. 131 147
Google Scholar
[29] Gianturco F A, Lucchese R R, Sanna N 1994 J. Chem. Phys. 100 6464
Google Scholar
[30] Natalense A P P, Lucchese R R 1999 J. Chem. Phys. 111 5344
Google Scholar
[31] Baykusheva D, Wörner H J 2017 J. Chem. Phys. 146 124306
Google Scholar
[32] Gong X C, Heck S, Jelovina D, Perry C, Zinchenko K, Lucchese R, Wörner H J 2022 Nature 609 507
Google Scholar
[33] Biswas S, Förg B, Ortmann L, Schötz J, Schweinberger W, Zimmermann T, Pi L W, Baykusheva D, Masood H A, Liontos I, Kamal A M, Kling N G, Alharbi A F, Alharbi M, Azzeer A M, Hartmann G, Wörner H J, Landsman A S, Kling M F 2020 Nat. Phys. 16 778
Google Scholar
[34] Lu T, Chen F W 2012 J. Comput. Chem. 33 580
Google Scholar
[35] Humphrey W, Dalke A, Schulten K 1996 J. Mol. Graph. 14 33
Google Scholar
[36] Lucchese R R, Gianturco F 1996 Int. Rev. Phys. Chem. 15 429
Google Scholar
[37] Cohen H D, Fano U 1966 Phys. Rev. 150 30
Google Scholar
[38] Ueda K, Liu X J, Prümper G, Lischke T, Tanaka T, Hoshino M, Tanaka H, Minkov I, Kimberg V, Gel’ mukhanov F 2006 Chem. Phys. 329 329
Google Scholar
[39] Liao Y J, Zhou Y M, Pi L W, Ke Q H, Liang J T, Zhao Y, Li M, Lu P X 2021 Phys. Rev. A 104 013110
Google Scholar
Catalog
Metrics
- Abstract views: 303
- PDF Downloads: 11
- Cited By: 0









DownLoad: