-
Gamma activation analysis (GAA) represents a powerful elemental analysis technique, particularly suitable for light elements and those insensitive to thermal neutron activation. The establishment of the Shanghai Laser Electron Gamma Source (SLEGS) beamline has provided a unique platform in China for conducting advanced gamma activation studies using quasi-monochromatic gamma beams and obtaining high-precision nuclear data. This paper systematically presents the gamma activation data measurement methodology and experimental setup developed at the SLEGS beamline, while demonstrating its specific applications and significant achievements in beam diagnostics and nuclear astrophysics research. As is shown in the overall workflow in Fig. 10.
The study was conducted at the SLEGS beamline. SLEGS generates tunable quasi-monochromatic gamma beams in the energy range of 0.66–21.7 MeV through inverse Compton scattering mode between a 3.5 GeV electron beam and a 10.64 μm CO2 laser (see experimental layout in Figure 1). The experimental procedure began with the online irradiation of target samples (e.g., natural abundance Au, Zn and Ru/Ga) to produce radioactive nuclei via photonuclear reactions. During irradiation, beam monitoring was conducted using LaBr3(Ce) or BGO detectors alongside spectral unfolding. Subsequently, offline γ-ray spectroscopy was performed on the activated samples using shielded HPGe detectors. Based on these measurements, the reaction cross-sections were ultimately determined by analyzing characteristic gamma peaks in conjunction with beam parameters and detector effciency data.
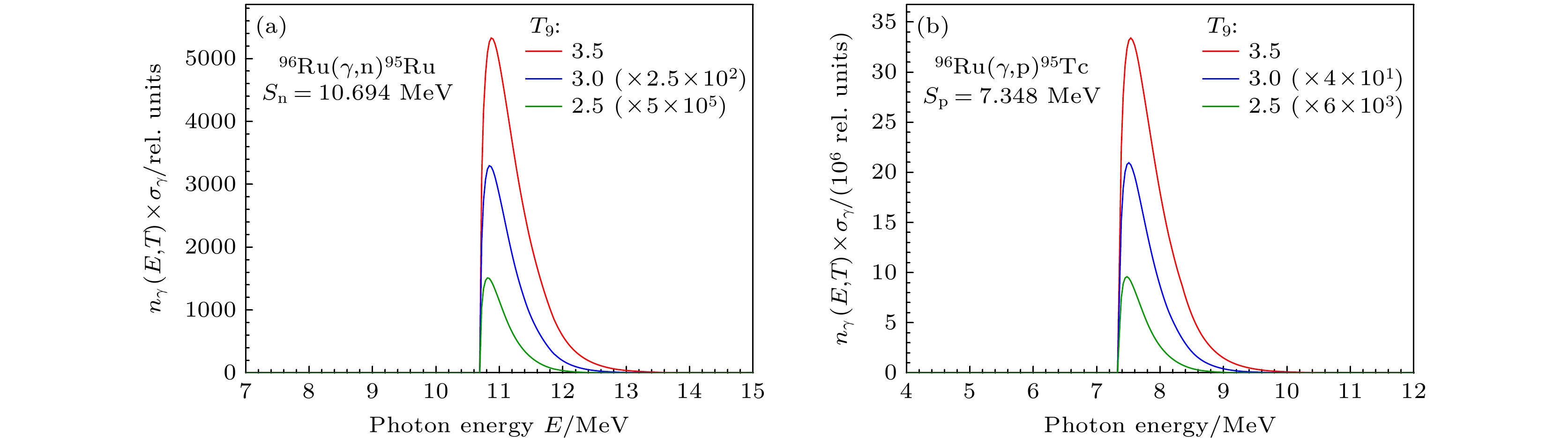
Absolute calibration of SLEGS gamma beam intensity was successfully achieved using 197Au(γ,n)196Au and 64Zn(γ,n)63Zn reactions. The measured results agreed with online monitor data and Geant4 simulations within 10% uncertainty (Figure 6), validating activation as a reliable beam diagnostic tool. Key photonuclear reaction cross-sections relevant to p-process nucleosynthesis were measured. Using natural abundance Ru targets, preliminary quasi-monoenergetic cross-section data were obtained for 96Ru(γ,n)95Ru, 96Ru(γ,p)95Tc and 98Ru(γ,n)97Ru reactions (Figures 8a, 8b). Systematic measurements of the 69Ga(γ,n)68Ga monoenergetic reaction cross-section were performed (Figures 8c, 8d). The experimental data constrained parameters in the TALYS nuclear reaction model, enabling calculation of 69Ga(γ,n), (γ,p), and (γ,α) reaction rates over 1.5~10 GK temperature range (Figure 9). REACLIB-format parameters were derived for astrophysical network calculations. These experimental results provide crucial constraints for understanding the origin of p-nuclei.
The study has successfully established a comprehensive and reliable gamma activation data acquisition and analysis platform at the SLEGS beamline of Shanghai Synchrotron Radiation Facility. Experimental results demonstrate that this platform can not only precisely calibrate gamma beam parameters but also conduct frontier fundamental research in nuclear astrophysics, particularly for measuring critical yet challenging p-process photonuclear reaction cross-sections. The obtained datasets hold significant importance for nuclear databases and astrophysical models. Looking forward, the SLEGS gamma activation platform will expand its applications to broader fields including characteristic nuclide identification, archaeometry, materials science, and medical isotope production.
Low-background gamma data and partial gamma activation data were provided, which can be accessed in the dataset at: https://www.scidb.cn/s/RVRjEz. -
[1] Segebade C, Berger A 2008 Photon Activation Analysis (Encyclopedia of Analytical Chemistry R.A. Meyers (Ed.))
[2] Segebade C, Starovoitova V N, Borgwardt T, Wells D 2017 J Radioanal Nucl Chem 312 443
[3] Gaudin A M, Pannell J H Anal. Chem. 23 1261
[4] Erhard M A 2013 Photoaktivierung des p-Kerns 92Mo am Bremsstrahlungsmessplatz von ELBE. Ph.D. Dissertation, Dresden, Techn. Univ., Diss., 2010
[5] Avino P, Capannes G, Lopez F, Rosada, A 2013 Sci. World J. 458793 1
[6] Tai R Z, Zhao Z T 2022 J. Phys.:Conf. Ser. 2380 012004
[7] Tai R Z, Zhao Z T 2024 Nucl. Sci. Tech. 35 137
[8] Wang H W, Fan G T, Liu L X, Cao X G, Li W, Zhang Y, Hu X R, Li X X, Wang J W, Lu T S, Huang B S, Hao Z R, Kuang P, Huang Y H 2020 Nucl. Phys. Rev. 37 53(in Chinese)[王宏伟,范功 涛,刘龙祥,曹喜光,李薇,张岳,胡新荣,李鑫祥,王俊文,鲁同所,黄勃松,郝子锐,匡攀,黄玉华2020 原子核物理评论37 53]
[9] Wang H W, Fan G T, Liu L X, Xu H H, Shen W Q, Ma Y G, Utsunomiya H, Song L L, Cao X G, Hao Z R, Chen K J, Jin S, Yang Y X, Hu X R, Li X X, Kuang P 2022 Nucl. Sci. Tech. 33 87
[10] Liu L X, Wang H W, Fan G T, Xu H H, Zhang Y, Hao Z R, Li A G 2024 Nucl. Sci. Tech. 35 111
[11] Hao Z R, Fan G T, Wang H W, Liu L X, Xu H H, Utsunomiya H, Cao X G, Xu B J, Song L L, Hu X R, Li X X, Yang Y X, Kuang P 2021 Nucl. Instrum. Methods Phys. Res. A 1013 165638
[12] Z-R H, G-T F, H-W W, H-H X, L-X L, L-L S, X-R H, X-X L, P K, S J 2022 Nucl. Instrum. Methods Phys. Res. B 519 9
[13] Xu H H, Fan G T, Wang H W, Utsunomiya H, Liu L X, Hao Z R, Wu H L, Song L L, Zhang Q L, Jiang B C, Hu X R, Li X X, Kuang P, Yang Y X, Jin S 2022 Nucl. Instrum. Methods Phys. Res. A 1033 166742
[14] YANG Y X, ZHANG Y, ZHAO W J, WANG H W, FAN G T, XU H H, LIU L X, HAO Z R, LI Z C, JIN S, CHEN K J, JIAO P, ZHOU M D, WANG Z W 2024 Nucl. Phys. Rev. 41 433(in Chinese)[杨 宇萱,张岳,赵维娟,王宏伟,范功涛,许杭华,刘龙祥,郝子锐,李志才,金晟,陈开杰,焦普,周梦蝶,王 振伟2024原子核物理评论41 433]
[15] YANG Y X, ZHANG Y, LI Z C, HAO Z R, JIN S, CHEN K J, WANG Z W, SUN Q K, FAN G T, XU H H, LIU L X, ZHAO W J, WANG H W 2025 Nucl. Sci. Tech. 36 80
[16] Li Z C, Yang Y, Cao Z W, Li X X, Yuan Y, Zhao Z Q, Fan G T, Wang H W, Luo W 2023 Nucl. Sci. Tech. 34 170
[17] Li Z C, Yang Y X, Luo W, Fan G T, Wang H W, Liu L X, Hao Z R, Xu H H, Li X X, Yuan Y, Zhang Y, Jin S, Chen K J, Jiao P, Zhou M D, Wang Z W, Sun Q K, Ye S, Xu R R, He C Y 2025 Nucl. Instr. and Meth. B 559 165595
[18] Zhang H, Zhang L Y, He J J, Ma Y G 2025 Sci. Sin. Phys. Mech. Astron. 55 250005(in chinese)[张 昊,张立勇,何建军,马余刚2025中国科学:物理学力学天文学55 250005]
[19] Pang X, Sun B H, Zhu L H, Lu G H, Zhou H B, Yang D 2023 Nucl. Sci. Tech. 34 187
[20] Yang Y X, Zhao W J, Cao X G, Wang H W, Fan G T, Liu L X, Xu H H, Hu X R, Li X X, Hao Z R, Jin S, Chen K J, Ma Y G 2024 Radiat. Phys. Chem. 218 111599
[21] Sun Z J 2018 Nucl. Sci. Tech. 29 155
[22] Liu L X, Utsunomiya H, Fan G T, Xu H H, Wang H W, Hao Z R, Zhang Y, He C Y, Jiao P, Ye S, Jin S, Chen K J, Yang Y X, Sun Q K, Wang Z W, Li Z C, Zhou M D, Lu X, Yang C, Lu F, Cao X G 2024 Nucl. Instrum. Methods Phys. Res., A 1063 169314
[23] Hao Z R, Fan G T, Wang H W, Liu L X, Xu H H, Zhang Y, Yang Y X, Jin S, Chen K J, Li Z C, Jiao P, Sun Q K, Zhou M D, Ye S, Wang Z W, Shen W Q, Ma Y G 2025 Sci. Bull. 70 2591
[24] Arnould M, Goriely S 2003 Phys. Rep. 384 1
[25] Rayet M, Arnould M, Hashimoto M, Prantzos N, Nomoto K 1995 Astron. Astrophys. 298 517
[26] Travaglio C, Röpke F, Gallino R, Hillebrandt W 2011 Astrophys. J. 739 93
[27] Dietrich S S, Berman B L 1988 At. Data Nucl. Data Tables 38 199
[28] Vogt K, Mohr P, Babilon M, Bayer W, Galaviz D, Hartmann T, Hutter C, Rauscher T, Sonnabend K, Volz S, Zilges A 2002 Nucl. Phys. A 707 241
[29] Goko S, Utsunomiya H, Goriely S, Makinaga A, Kaihori T, Hohara S, Akimune H, Yamagata T, Lui Y W, Toyokawa H, Koning A J, Hilaire S 2006 Phys. Rev. Lett. 96 192501
[30] Koning A, Hilaire S, Goriely S 2023 Eur. Phys. J. A 59 131
[31] Rauscher T, Thielemann F K 2000 At. Data Nucl. Data Tables 75 1
[32] Reimers P, Lutz G J, Segebade C 1977 J. Radioanal. Chem. 39 93
[33] Borgwardt T C 2018 Proceedings:1st International Electronic Conference on Geosciences,(IECG 2018)564 1
[34] Sun Z J, Wells D P, Segebade C, Maschner H, Benson B 2013 J Radioanal Nucl Chem 296 293
[35] Sun Z J, Okafor K, Isa S 2017 Appl. Radiat. Isot. 127 173
[36] Sun Y M, Xu X, Tang W Y, Chang Y, Lu J B, Zhao L, Liu Y M 2019 Acta Phys. Sin 68 1082801 (in Chinese)[孙远明,许旭,唐婉月,常艺,陆景彬,赵龙,刘玉敏2019 68 1082801]
[37] Sun X J, Zhou F Q, Song Y L, Li Y, Ji P F, Chang X Y 2019 Chin. Phys. Lett. 36 112501
[38] He S K, Qi W, Jiao J L, Dong K G, Deng Z G, Teng J, Zhang B, Zhang Z M, Hong W, Zhang H, Shen B F, Gu Y Q 2018 Acta Phys. Sin. 67 225202(in Chinese)[贺书凯,齐伟,矫金龙,董克攻, 邓志刚,滕建,张博,张智猛,洪伟,张辉,沈百飞,谷渝秋2018 67 225202]
[39] Li Z C, Hao Z R, Sun Q K, Shen Y L, Liu L X, Xu H H, Zhang Y, Jiao P, Zhou M D, Yang Y X, Jin S, Chen K J, Wang Z W, Ye S, Li X X, Ma C W, Wang H W, Fan G T, Luo W 2025 Nucl. Sci. Tech. 36 34
[40] Zhou M D, Hao Z R, Sun Q K, Liu L X, Xu H H, Zhang Y, Jiao P, Li Z C, Luo W, Yang Y X, Jin S, Chen K J, Ye S, Wang Z W, Wang Y T, Wei H L, Fu Y, Yu K, Wang H W, Fan G T, Ma C W 2025 Phys. Rev. C 111 054612
[41] Jiao P, Hao Z R, Sun Q K, Liu L X, Xu H H, Zhang Y, Zhou M D, Li Z C, Luo W, Yang Y X, Jin S, Chen K J, Ye S, Wang Z W, Wang Y T, Wei H L, Fu Y, Yu K, Wang H W, Fan G T, Ma C W 2025 Nucl. Sci. Tech. 36 66
[42] Pan K, Long-Long S, Kai-Jie C, Hong-Wei W, Long-Xiang L, Gong-Tao F, Hang-Hua X, Xin-Rong H, Xin-Xiang L, Zi-Rui H, Yu-Xuan Y, Sheng J 2023 Nucl. Phys. Rev. 40 2022040(in Chinese)[匡 攀,宋龙龙,陈开杰,王宏伟,刘龙祥,范功涛,许杭华,胡新荣,李鑫祥,郝子锐,杨宇萱,金晟 2023原子核物理评论40 2022040]
[43] Hao Z R, Fan G T, Liu L X, Wang H W, Zhang Y, Hu X R, Li X X, Wang J W, Kuang P, Ge S Y 2020 Nucl. Tech. 43 110501(in Chinese)[郝子锐,范功涛,刘龙祥,王宏伟,张岳,胡新荣,李鑫祥, 王俊文,匡攀,戈松雨2020核技术43 110501]
[44] Hao Z R, Liu L X, Zhang Y, Wang H W, Fan G T, Xu H H, Jin S, Yang Y X, Li Z C, Jiao P, Chen K J, Sun Q K, Wang Z W, Zhou M D, Ye S, Xu M K, Wang X F, Shen Y L 2025 Nucl. Sci. Tech. 36 183
[45] Chen K J, Liu L X, Hao Z R, Ma Y G, Wang H W, Fan G T, Cao X G, Xu H H, Niu Y F, Li X X, Hu X R, Yang Y X, Jin S, Kuang P 2023 Nucl. Sci. Tech. 34 47
[46] Jin S, Hao Z R, Liu L X, Chen K J, Yang Y X, Xu H H, Zhang Y, Sun Q K, Wang Z W, Fan G T, Wang H W 2025 Nucl. Sci. Tech. 34 78
[47] Liu P, Zhang H Y, Wu X F, Xu R R, Tao X, Tian Y, Jin Y L, Wang J M, Zhang Z, Ge Z G, Shu N C 2024 Ann. Nucl. Energy 208 110745
[48] Xie J C, Tao X, Xu R R, Tian Y, Xing K, Ge Z G, Niu Y F 2025 Acta Phys. Sin. 74 082501(in Chinese)[谢金辰,陶曦,续瑞瑞,田源,邢康,葛智刚,牛一斐2025 74 082501]
[49] Mirani F, Calzolari D, Formenti A, Passoni M 2021 4 185
Metrics
- Abstract views: 46
- PDF Downloads: 0
- Cited By: 0









下载: