-
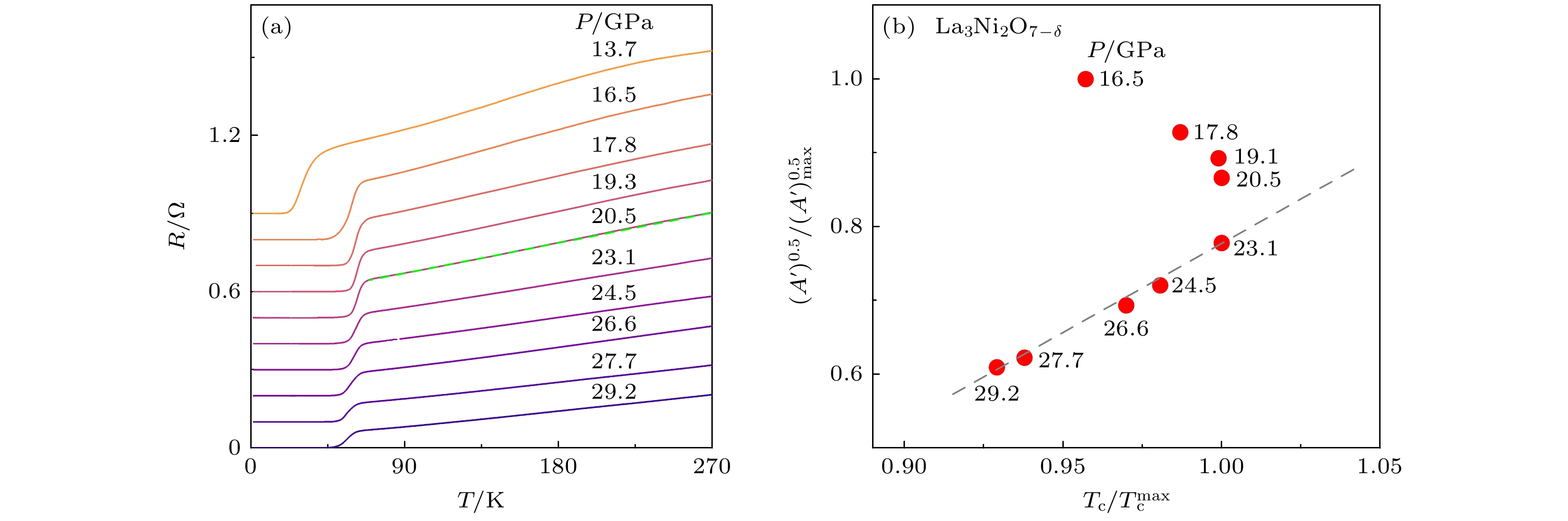
In 2023, signatures of pressure-induced high-temperature superconductivity with an onset transition at 80 K were observed in La3Ni2O7. However, the absence of zero resistance cast doubts on its superconductivity. By using a recently developed quasi-hydrostatic pressure technique based on a diamond anvil cell, our group successfully observe a sharp superconducting transition with a zero resistance below 40 K, providing a crucial evidence for establishing the existence of high-temperature superconductivity in La3Ni2O7. Furthermore, a pronounced linear-temperature dependent resistivity is observed above its superconducting transition, suggesting an unconventional nature of its superconducting pairing state. In addition to the discovery of zero resistance, our transport study also revises the pressure-temperature phase diagram of La3Ni2O7. It is found that La3Ni2O7 remains metallic under pressure and there is no evidence for a metal-insulator transition if the samples are properly handled during preparations. Upon increasing pressure, the density wave transition, observed near 130 K at ambient pressure, is quickly suppressed. At approximately 13.7 GPa, evidence for a pressure-induced structural phase transition is observed near 250 K, followed by a superconducting transition with an onset temperature at $ T_{\mathrm{c}}^{\text{onset}}\approx $ 37.5 K. $ {T}_{\mathrm{c}} $ initially increases with the increase of pressure, reaching a maximum value of $ T_{\mathrm{c}}^{\text{onset}}\approx $ 66 K at 20.5 GPa. On the other hand, the slope $ {A}' $ of the T-linear resistivity above $ {T}_{\mathrm{c}} $ monotonically decreases with the increase of pressure, showing a relation of $ {T}_{\mathrm{c}}\propto \sqrt{{A}'} $ above 20.5 GPa, which is similar to those recently observed in the cuprate superconductors. Furthermore, the inverse Hall coefficient 1/RH, derived from the Hall resistance measurements, reveals a notable increase at pressures above 15 GPa upon entering the high pressure phase, suggesting a substantial increase of the carrier concentration in the superconducting regime, which is further supported by band structure calculations. In this work, we present a brief summary of our research advances, and compare them with those observed in other nickelate superconductors. [1] Bednorz J G, Müller K A 1986 Z. Für Phys. B Condens. Matter 64 189
Google Scholar
[2] Sun G F, Wong K W, Xu B R, Xin Y, Lu D F 1994 Phys. Lett. A 192 122
Google Scholar
[3] Anisimov V I, Bukhvalov D, Rice T M 1999 Phys. Rev. B 59 7901
Google Scholar
[4] Lacorre Ph 1992 J. Solid State Chem. 97 495
Google Scholar
[5] Poltavets V V, Lokshin K A, Dikmen S, Croft M, Egami T, Greenblatt M 2006 J. Am. Chem. Soc. 128 9050
Google Scholar
[6] Levitz P, Crespin M, Gatineau L 1983 J. Chem. Soc. Faraday Trans. 2 Mol. Chem. Phys. 79 1195
Google Scholar
[7] Li D F, Lee K, Wang B Y, Osada M, Crossley S, Lee H R, Cui Y, Hikita Y, Hwang H Y 2019 Nature 572 624
Google Scholar
[8] Zeng S W, Tang C S, Yin X M, Li C J, Li M S, Huang Z, Hu J X, Liu W, Omar G J, Jani H, Lim Z S, Han K, Wan D Y, Yang P, Pennycook S J, Wee A T S, Ariando A 2020 Phys. Rev. Lett. 125 147003
Google Scholar
[9] Osada M, Wang B Y, Lee K, Li D, Hwang H Y 2020 Phys. Rev. Mater. 4 121801
Google Scholar
[10] Zeng S W, Li C J, Chow L E, Cao Y, Zhang Z T, Tang C S, Yin X M, Lim Z S, Hu J X, Yang P, Ariando A 2022 Sci. Adv. 8 eabl9927
Google Scholar
[11] Ding X, Tam C C, Sui X L, Zhao Y, Xu M H, Choi J, Leng H Q, Zhang J, Wu M, Xiao H Y, Zu X T, Garcia-Fernandez M, Agrestini S, Wu X Q, Wang Q Y, Gao P, Li S A, Huang B, Zhou K J, Qiao L 2023 Nature 615 7950
Google Scholar
[12] Norman M R 2020 Physics 13 85
Google Scholar
[13] Wang N N, Yang M W, Yang Z, Chen K Y, Zhang H, Zhang Q H, Zhu Z H, Uwatoko Y, Gu L, Dong X L, Sun J P, Jin K J, Cheng J G 2022 Nat. Commun. 13 4367
Google Scholar
[14] Chow S L E, Luo Z Y, Ariando A 2025 Nature 642 58
Google Scholar
[15] Sun W J, Jiang Z C, Xia C L, Hao B, Yan S J, Wang M S, Li Y Y, Liu H Q, Ding J Y, Liu J Y, Liu Z T, Liu J S, Chen H H, Shen D W, Nie Y F 2025 Sci. Adv. 11 eadr5116
Google Scholar
[16] Hepting M, Li D, Jia C J, Lu H, Paris E, Tseng Y, Feng X, Osada M, Been E, Hikita Y, Chuang Y D, Hussain Z, Zhou K J, Nag A, Garcia-Fernandez M, Rossi M, Huang H Y, Huang D J, Shen Z X, Schmitt T, Hwang H Y, Moritz B, Zaanen J, Devereaux T P, Lee W S 2020 Nat. Mater. 19 381
Google Scholar
[17] Wang B Y, Li D F, Goodge B H, Lee K, Osada M, Harvey S P, Kourkoutis L F, Beasley M R, Hwang H Y 2021 Nat. Phys. 17 473
Google Scholar
[18] Gu Q Q, Li Y Y, Wan S Y, Li H Z, Guo W, Yang H, Li Q, Zhu X Y, Pan X Q, Nie Y F, Wen H H 2020 Nat. Commun. 11 6027
Google Scholar
[19] Chow L E, Sudheesh S K, Luo Z Y, Nandi P, Heil T, Deuschle J, Zeng S W, Zhang Z T, Prakash S, Du X M, Lim Z S, Aken P A van, Chia E E M, Ariando A 2023 arXiv: 2201.10038 [cond-mat.supr-con]
Google Scholar
[20] Chow L E, Yip K Y, Pierre M, Zeng S W, Zhang Z T, Heil T, Deuschle J, Nandi P, Sudheesh S K, Lim Z S, Luo Z Y, Nardone M, Zitouni A, Aken P A van, Goiran M, Goh S K, Escoffier W, Ariando A 2022 arXiv: 2204.12606 [cond-mat. supr-con]
Google Scholar
[21] Wang B Y, Wang T C, Hsu Y T, Osada M, Lee K, Jia C, Duffy C, Li D, Fowlie J, Beasley M R, Devereaux T P, Fisher I R, Hussey N E, Hwang H Y 2023 Sci. Adv. 9 eadf6655
Google Scholar
[22] Harvey S P, Wang B Y, Fowlie J, Osada M, Lee K, Lee Y, Li D, Hwang H Y 2022 arXiv: 2201.12971 [cond-mat.supr-con]
Google Scholar
[23] Sun H L, Huo M W, Hu X W, Li J Y, Liu Z J, Han Y F, Tang L Y, Mao Z Q, Yang P T, Wang B S, Cheng J G, Yao D X, Zhang G M, Wang M 2023 Nature 621 493
Google Scholar
[24] Zhang Y N, Su D J, Huang Y E, Shan Z Y, Sun H L, Huo M W, Ye K X, Zhang J W, Yang Z H, Xu Y K, Su Y, Li R, Smidman M, Wang M, Jiao L, Yuan H Q 2024 Nat. Phys. 20 1269
Google Scholar
[25] Hou J, Yang P T, Liu Z Y, Li J Y, Shan P F, Ma L, Wang G, Wang N N, Guo H Z, Sun J P, Uwatoko Y, Wang M, Zhang G M, Wang B S, Cheng J G 2023 Chin. Phys. Lett. 40 117302
Google Scholar
[26] Zhou Y Z, Guo J, Cai S, Sun H L, Li C Y, Zhao J Y, Wang P Y, Han J Y, Chen X T, Chen Y J, Wu Q, Ding Y, Xiang T, Mao H, Sun L L 2025 Matter Radiat. Extrem. 10 027801
Google Scholar
[27] Wang N N, Wang G, Shen X L, Hou J, Luo J, Ma X P, Yang H X, Shi L F, Dou J, Feng J, Yang J, Shi Y Q, Ren Z A, Ma H M, Yang P T, Liu Z Y, Liu Y, Zhang H, Dong X L, Wang Y X, Jiang K, Hu J P, Nagasaki S, Kitagawa K, Calder S, Yan J Q, Sun J P, Wang B S, Zhou R, Uwatoko Y, Cheng J G 2024 Nature 634 579
Google Scholar
[28] Li J Y, Peng D, Ma P Y, Zhang H Y, Xing Z F, Huang X, Huang C X, Huo M W, Hu D Y, Dong Z X, Chen X, Xie T, Dong H L, Sun H L, Zeng Q S, Mao H, Wang M 2025 National Science Review 12 10
Google Scholar
[29] Liu Z, Huo M W, Li J, Li Q, Liu Y C, Dai Y M, Zhou X X, Hao J H, Lu Y, Wang M, Wen H H 2024 Nat. Commun. 15 7570
Google Scholar
[30] Zhao D, Zhou Y B, Huo M W, Wang Y, Nie L P, Yang Y, Ying J J, Wang M, Wu T, Chen X H 2025 Sci. Bull. 70 1239
Google Scholar
[31] Meng Y H, Yang Y, Sun H L, Zhang S S, Luo J L, Chen L C, Ma X L, Wang M, Hong F, Wang X B, Yu X H 2024 Nat. Commun. 15 10408
Google Scholar
[32] Chen X Y, Choi J, Jiang Z C, Mei J, Jiang K, Li J, Agrestini S, Garcia-Fernandez M, Sun H L, Huang X, Shen D W, Wang M, Hu J P, Lu Y, Zhou K J, Feng D L 2024 Nat. Commun. 15 9597
Google Scholar
[33] Chen K, Liu X, Jiao J, Zou M, Jiang C, Li X, Luo Y, Wu Q, Zhang N, Guo Y, Shu L 2024 Phys. Rev. Lett. 132 256503
Google Scholar
[34] Khasanov R, Hicken T J, Gawryluk D J, Sazgari V, Plokhikh I, Sorel L P, Bartkowiak M, Bötzel S, Lechermann F, Eremin I M, Luetkens H, Guguchia Z 2025 Nat. Phys. 21 430
Google Scholar
[35] Xie T, Huo M W, Ni X S, Shen F R, Huang X, Sun H L, Walker H C, Adroja D, Yu D H, Shen B, He L H, Cao K, Wang M 2024 Sci. Bull. 69 3221
Google Scholar
[36] Ni X S, Ji Y Y, He L X, Xie T, Yao D X, Wang M, Cao K 2025 Npj Quantum Mater. 10 17
Google Scholar
[37] Yang J G, Sun H L, Hu X W, Xie Y Y, Miao T M, Luo H L, Chen H, Liang B, Zhu W P, Qu G X, Chen C Q, Huo M W, Huang Y B, Zhang S J, Zhang F F, Yang F, Wang Z M, Peng Q J, Mao H Q, Liu G D, Xu Z Y, Qian T, Yao D X, Wang M, Zhao L, Zhou X J 2024 Nat. Commun. 15 4373
Google Scholar
[38] Zhang M X, Pei C Y, Peng D, Du X, Hu W X, Cao Y T, Wang Q, Wu J F, Li Y D, Liu H Y, Wen C H P, Song J, Zhao Y, Li C H, Cao W Z, Zhu S H, Zhang Q, Yu N, Cheng P H, Zhang L L, Li Z W, Zhao J K, Chen Y L, Jin C Q, Guo H J, Wu C J, Yang F, Zeng Q S, Yan S C, Yang L X, Qi Y P 2025 Phys. Rev. X 15 021005
Google Scholar
[39] Zhu Y H, Peng D, Zhang E K, Pan B Y, Chen X, Chen L X, Ren H F, Liu F Y, Hao Y Q, Li N N, Xing Z F, Lan F J, Han J Y, Wang J J, Jia D H, Wo H L, Gu Y Q, Gu Y M, Ji L, Wang W B, Gou H Y, Shen Y, Ying T P, Chen X L, Yang W G, Cao H B, Zheng C L, Zeng Q S, Guo J G, Zhao J 2024 Nature 631 531
Google Scholar
[40] Shi M Z, Peng D, Fan K B, Xing Z F, Yang S H, Wang Y Z, Li H P, Wu R Q, Du M, Ge B H, Zeng Z D, Zeng Q S, Ying J J, Wu T, Chen X H 2025 Nature Physics 21 11
Google Scholar
[41] Zhang Y N, Su D J, Shan Z Y, Yang Z H, Zhang J W, Li R, Smidman M, Yuan H Q 2023 Phys. Rev. B 108 094502
Google Scholar
[42] Zhang J, Zheng H, Chen Y S, Ren Y, Yonemura M, Huq A, Mitchell J F 2020 Phys. Rev. Mater. 4 083402
Google Scholar
[43] Yuan J, Chen Q H, Jiang K, Feng Z P, Lin Z F, Yu H S, He G, Zhang J S, Jiang X Y, Zhang X, Shi Y J, Zhang Y M, Qin M Y, Cheng Z G, Tamura N, Yang Y F, Xiang T, Hu J P, Takeuchi I, Jin K, Zhao Z X 2022 Nature 602 431
Google Scholar
[44] Jiang X Y, Qin M Y, Wei X J, Xu L, Ke J Z, Zhu H P, Zhang R Z, Zhao Z Y, Liang Q M, Wei Z X, Lin Z F, Feng Z P, Chen F C, Xiong P Y, Yuan J, Zhu B Y, Li Y M, Xi C Y, Wang Z S, Yang M, Wang J F, Xiang T, Hu J P, Jiang K, Chen Q H, Jin K, Zhao Z X 2023 Nat. Phys. 19 365
Google Scholar
[45] Taniguchi S, Nishikawa T, Yasui Y, Kobayashi Y, Takeda J, Shamoto S, Sato M 1995 J. Phys. Soc. Jpn. 64 1644
Google Scholar
[46] Wu G, Neumeier J J, Hundley M F 2001 Phys. Rev. B 63 245120
Google Scholar
[47] Liu Z J, Sun H L, Huo M W, Ma X Y, Ji Y, Yi E K, Li L S, Liu H, Yu J, Zhang Z Y, Chen Z Q, Liang F X, Dong H L, Guo H J, Zhong D Y, Shen B, Li S L, Wang M 2022 Sci. China Phys. Mech. Astron. 66 217411
Google Scholar
[48] Gupta N K, Gong R, Wu Y, Kang M, Parzyck C T, Gregory B Z, Costa N, Sutarto R, Sarker S, Singer A, Schlom D G, Shen K M, Hawthorn D G 2025 Nat. Commun. 16 6560
Google Scholar
[49] Ren X L, Sutarto R, Wu X X, Zhang J F, Huang H, Xiang T, Hu J P, Comin R, Zhou X J, Zhu Z H 2025 Commun. Phys. 8 52
Google Scholar
[50] Sasaki H, Harashina H, Taniguchi S, Kasai M, Kobayashi Y, Sato M, Kobayashi T, Ikeda T, Takata M, Sakata M 1997 J. Phys. Soc. Jpn. 66 1693
Google Scholar
[51] Luo Z H, Hu X W, Wang M, Wu W, Yao D X 2023 Phys. Rev. Lett. 131 126001
Google Scholar
[52] Zhang Y, Lin L F, Moreo A, Dagotto E 2023 Phys. Rev. B 108 L180510
Google Scholar
[53] Lechermann F, Gondolf J, Bötzel S, Eremin I M 2023 Phys. Rev. B 108 L201121
Google Scholar
[54] Yang Q G, Wang D, Wang Q H 2023 Phys. Rev. B 108 L140505
Google Scholar
[55] Sakakibara H, Kitamine N, Ochi M, Kuroki K 2024 Phys. Rev. Lett. 132 106002
Google Scholar
[56] Shen Y, Qin M P, Zhang G M 2023 Chin. Phys. Lett. 40 127401
Google Scholar
[57] Christiansson V, Petocchi F, Werner P 2023 Phys. Rev. Lett. 131 206501
Google Scholar
[58] Yang Y, Zhang G M, Zhang F C 2023 Phys. Rev. B 108 L201108
Google Scholar
[59] Liu Y B, Mei J W, Ye F, Chen W Q, Yang F 2023 Phys. Rev. Lett. 131 236002
Google Scholar
[60] Zhang Y, Lin L F, Moreo A, Maier T A, Dagotto E 2024 Nat. Commun. 15 2470
Google Scholar
[61] Lu C, Pan Z M, Yang F, Wu C J 2024 Phys. Rev. Lett. 132 146002
Google Scholar
[62] Qu X Z, Qu D W, Chen J L, Wu C J, Yang F, Li W, Su G 2024 Phys. Rev. Lett. 132 036502
Google Scholar
[63] Li D F, Wang B Y, Lee K, Harvey S P, Osada M, Goodge B H, Kourkoutis L F, Hwang H Y 2020 Phys. Rev. Lett. 125 027001
Google Scholar
[64] Ko E K, Yu Y, Liu Y, Bhatt L, Li J, Thampy V, Kuo C T, Wang B Y, Lee Y, Lee K, Lee J S, Goodge B H, Muller D A, Hwang H Y 2025 Nature 638 935
Google Scholar
[65] Zhou G D, Lü W, Wang H, Nie Z H, Chen Y Q, Li Y Y, Huang H L, Chen W Q, Sun Y J, Xue Q K, Chen Z Y 2025 Nature 640 641
Google Scholar
[66] Li P, Zhou G D, Lü W, Li Y Y, Yue C M, Huang H L, Xu L Z, Shen J C, Miao Y, Song W H, Nie Z H, Chen Y Q, Wang H, Chen W Q, Huang Y B, Chen Z H, Qian T, Lin J H, He J F, Sun Y J, Chen Z Y, Xue Q K 2025 Natl. Sci. Rev. 12 nwaf205
Google Scholar
[67] Wang B Y, Zhong Y, Abadi S, Liu Y D, Yu Y J, Zhang X L, Wu Y M, Wang R H, Li J R, Tarn Y, Ko E K, Thampy V, Hashimoto M, Lu D, Lee Y S, Devereaux T P, Jia C J, Hwang H Y, Shen Z X 2025 arXiv: 2504.16372 [cond-mat. supr-con]
Google Scholar
[68] Zhao Y F, Botana A S 2025 Phys. Rev. B 111 115154
Google Scholar
[69] Geisler B, Hamlin J J, Stewart G R, Hennig R G, Hirschfeld P J 2025 Phys. Rev. B 112 L100506
Google Scholar
[70] Yoshiaki K, Satoshi T, Mayumi K, Masatoshi S, Takashi N, Masaaki K 2013 J. Phys. Soc. Jpn. 65 3978
Google Scholar
[71] Xu S X, Wang H, Huo M W, Hu D Y, Wu Q, Yue L, Wu D, Wang M, Dong T, Wang N L 2025 Nat. Commun. 16 7039
Google Scholar
[72] Zhang E K, Peng D, Zhu Y H, Chen L X, Cui B K, Wang X Y, Wang W B, Zeng Q S, Zhao J 2025 Phys. Rev. X 15 021008
Google Scholar
[73] Li F Y, Xing Z F, Peng D, Dou J, Guo N, Ma L, Zhang Y L, Wang L Z, Luo J, Yang J, Zhang J, Chang T Y, Chen Y S, Cai W Z, Cheng J G, Wang Y Z, Zeng Z D, Zheng Q, Zhou R, Zeng Q S, Tao X T, Zhang J J 2025 Nature https:// doi.org/10.1038/s41586-025-09954-4
Google Scholar
[74] Shi M Z, Li Y K, Wang Y X, Peng D, Yang S H, Li H P, Fan K B, Jiang K, He J F, Zeng Q S, Song D S, Ge B H, Xiang Z J, Wang Z Y, Ying J J, Wu T, Chen X H 2025 Nat. Commun. 16 2887
Google Scholar
-
图 7 (a) 超导转变与线性电阻行为随压力的演化, 为清晰起见, 电阻曲线在垂直方向上进行了等量平移[24]; (b) 归一化的$ \sqrt{{A}{'}} $与临界温度$ {T}_{\mathrm{c}} $的关系[24]
Figure 7. (a) Evolution of superconducting transition and linear resistance behavior with pressure, for clarity, the resistance curves have been shifted equally in the vertical direction [24]; (b) relationship between normalized $ \sqrt{{A}{'}} $ and critical temperature $ {T}_{\mathrm{c}} $[24].
图 9 (a) La3Ni2O7单晶样品在13.7 GPa的升降温电阻曲线, 其中红色对应于升温过程, 黑色对应于降温过程[24]; (b) 常压条件下La3Ni2O7多晶样品的升降温电阻曲线, 该化合物在550 K发生结构相变[45]
Figure 9. (a) Resistance curves of La3Ni2O7 single crystal at 13.7 GPa, where the red curve represents the heating process and the black one represents the cooling process[24]; (b) resistance curves of La3Ni2O7 polycrystalline sample under ambient pressure, it undergoes a structural phase transition at 550 K[45].
图 11 La3Ni2O7的温度-压力相图, 低压的密度波(DW)转变随压力增加被逐渐抑制; 压力下, La3Ni2O7发生Amam至I4mmm的结构转变, 虚线示意了可能的结构相变. 高温超导和奇异金属相出现于高压的I4mmm结构相
Figure 11. Temperature-pressure phase diagram of La3Ni2O7, the density wave transition is gradually suppressed with increasing pressure, La3Ni2O7 undergoes a structural transformation from Amam to I4mmm, and the dotted line indicates the possible phase boundary between these two structures. High-temperature superconductivity and strange metal phase occur in the I4mmm structure.
图 12 (a) $ {\text{La}}_{4}{\text{Ni}}_{3}{\mathrm{O}}_{10} $的温度-压力相图[39]; (b) $ {\text{La}}_{5}{\text{Ni}}_{3}{\mathrm{O}}_{11} $的温度-压力相图[40]; (c) $ {\Pr }_{4}{\text{Ni}}_{3}{\mathrm{O}}_{10} $的温度-压力相图[72]
Figure 12. Temperature-pressure phase diagram of (a) $ {\text{La}}_{4}{\text{Ni}}_{3}{\mathrm{O}}_{10} $[39], (b) $ {\text{La}}_{5}{\text{Ni}}_{3}{\mathrm{O}}_{11} $[40] and (c) $ {\Pr }_{4}{\text{Ni}}_{3}{\mathrm{O}}_{10} $[72].
-
[1] Bednorz J G, Müller K A 1986 Z. Für Phys. B Condens. Matter 64 189
Google Scholar
[2] Sun G F, Wong K W, Xu B R, Xin Y, Lu D F 1994 Phys. Lett. A 192 122
Google Scholar
[3] Anisimov V I, Bukhvalov D, Rice T M 1999 Phys. Rev. B 59 7901
Google Scholar
[4] Lacorre Ph 1992 J. Solid State Chem. 97 495
Google Scholar
[5] Poltavets V V, Lokshin K A, Dikmen S, Croft M, Egami T, Greenblatt M 2006 J. Am. Chem. Soc. 128 9050
Google Scholar
[6] Levitz P, Crespin M, Gatineau L 1983 J. Chem. Soc. Faraday Trans. 2 Mol. Chem. Phys. 79 1195
Google Scholar
[7] Li D F, Lee K, Wang B Y, Osada M, Crossley S, Lee H R, Cui Y, Hikita Y, Hwang H Y 2019 Nature 572 624
Google Scholar
[8] Zeng S W, Tang C S, Yin X M, Li C J, Li M S, Huang Z, Hu J X, Liu W, Omar G J, Jani H, Lim Z S, Han K, Wan D Y, Yang P, Pennycook S J, Wee A T S, Ariando A 2020 Phys. Rev. Lett. 125 147003
Google Scholar
[9] Osada M, Wang B Y, Lee K, Li D, Hwang H Y 2020 Phys. Rev. Mater. 4 121801
Google Scholar
[10] Zeng S W, Li C J, Chow L E, Cao Y, Zhang Z T, Tang C S, Yin X M, Lim Z S, Hu J X, Yang P, Ariando A 2022 Sci. Adv. 8 eabl9927
Google Scholar
[11] Ding X, Tam C C, Sui X L, Zhao Y, Xu M H, Choi J, Leng H Q, Zhang J, Wu M, Xiao H Y, Zu X T, Garcia-Fernandez M, Agrestini S, Wu X Q, Wang Q Y, Gao P, Li S A, Huang B, Zhou K J, Qiao L 2023 Nature 615 7950
Google Scholar
[12] Norman M R 2020 Physics 13 85
Google Scholar
[13] Wang N N, Yang M W, Yang Z, Chen K Y, Zhang H, Zhang Q H, Zhu Z H, Uwatoko Y, Gu L, Dong X L, Sun J P, Jin K J, Cheng J G 2022 Nat. Commun. 13 4367
Google Scholar
[14] Chow S L E, Luo Z Y, Ariando A 2025 Nature 642 58
Google Scholar
[15] Sun W J, Jiang Z C, Xia C L, Hao B, Yan S J, Wang M S, Li Y Y, Liu H Q, Ding J Y, Liu J Y, Liu Z T, Liu J S, Chen H H, Shen D W, Nie Y F 2025 Sci. Adv. 11 eadr5116
Google Scholar
[16] Hepting M, Li D, Jia C J, Lu H, Paris E, Tseng Y, Feng X, Osada M, Been E, Hikita Y, Chuang Y D, Hussain Z, Zhou K J, Nag A, Garcia-Fernandez M, Rossi M, Huang H Y, Huang D J, Shen Z X, Schmitt T, Hwang H Y, Moritz B, Zaanen J, Devereaux T P, Lee W S 2020 Nat. Mater. 19 381
Google Scholar
[17] Wang B Y, Li D F, Goodge B H, Lee K, Osada M, Harvey S P, Kourkoutis L F, Beasley M R, Hwang H Y 2021 Nat. Phys. 17 473
Google Scholar
[18] Gu Q Q, Li Y Y, Wan S Y, Li H Z, Guo W, Yang H, Li Q, Zhu X Y, Pan X Q, Nie Y F, Wen H H 2020 Nat. Commun. 11 6027
Google Scholar
[19] Chow L E, Sudheesh S K, Luo Z Y, Nandi P, Heil T, Deuschle J, Zeng S W, Zhang Z T, Prakash S, Du X M, Lim Z S, Aken P A van, Chia E E M, Ariando A 2023 arXiv: 2201.10038 [cond-mat.supr-con]
Google Scholar
[20] Chow L E, Yip K Y, Pierre M, Zeng S W, Zhang Z T, Heil T, Deuschle J, Nandi P, Sudheesh S K, Lim Z S, Luo Z Y, Nardone M, Zitouni A, Aken P A van, Goiran M, Goh S K, Escoffier W, Ariando A 2022 arXiv: 2204.12606 [cond-mat. supr-con]
Google Scholar
[21] Wang B Y, Wang T C, Hsu Y T, Osada M, Lee K, Jia C, Duffy C, Li D, Fowlie J, Beasley M R, Devereaux T P, Fisher I R, Hussey N E, Hwang H Y 2023 Sci. Adv. 9 eadf6655
Google Scholar
[22] Harvey S P, Wang B Y, Fowlie J, Osada M, Lee K, Lee Y, Li D, Hwang H Y 2022 arXiv: 2201.12971 [cond-mat.supr-con]
Google Scholar
[23] Sun H L, Huo M W, Hu X W, Li J Y, Liu Z J, Han Y F, Tang L Y, Mao Z Q, Yang P T, Wang B S, Cheng J G, Yao D X, Zhang G M, Wang M 2023 Nature 621 493
Google Scholar
[24] Zhang Y N, Su D J, Huang Y E, Shan Z Y, Sun H L, Huo M W, Ye K X, Zhang J W, Yang Z H, Xu Y K, Su Y, Li R, Smidman M, Wang M, Jiao L, Yuan H Q 2024 Nat. Phys. 20 1269
Google Scholar
[25] Hou J, Yang P T, Liu Z Y, Li J Y, Shan P F, Ma L, Wang G, Wang N N, Guo H Z, Sun J P, Uwatoko Y, Wang M, Zhang G M, Wang B S, Cheng J G 2023 Chin. Phys. Lett. 40 117302
Google Scholar
[26] Zhou Y Z, Guo J, Cai S, Sun H L, Li C Y, Zhao J Y, Wang P Y, Han J Y, Chen X T, Chen Y J, Wu Q, Ding Y, Xiang T, Mao H, Sun L L 2025 Matter Radiat. Extrem. 10 027801
Google Scholar
[27] Wang N N, Wang G, Shen X L, Hou J, Luo J, Ma X P, Yang H X, Shi L F, Dou J, Feng J, Yang J, Shi Y Q, Ren Z A, Ma H M, Yang P T, Liu Z Y, Liu Y, Zhang H, Dong X L, Wang Y X, Jiang K, Hu J P, Nagasaki S, Kitagawa K, Calder S, Yan J Q, Sun J P, Wang B S, Zhou R, Uwatoko Y, Cheng J G 2024 Nature 634 579
Google Scholar
[28] Li J Y, Peng D, Ma P Y, Zhang H Y, Xing Z F, Huang X, Huang C X, Huo M W, Hu D Y, Dong Z X, Chen X, Xie T, Dong H L, Sun H L, Zeng Q S, Mao H, Wang M 2025 National Science Review 12 10
Google Scholar
[29] Liu Z, Huo M W, Li J, Li Q, Liu Y C, Dai Y M, Zhou X X, Hao J H, Lu Y, Wang M, Wen H H 2024 Nat. Commun. 15 7570
Google Scholar
[30] Zhao D, Zhou Y B, Huo M W, Wang Y, Nie L P, Yang Y, Ying J J, Wang M, Wu T, Chen X H 2025 Sci. Bull. 70 1239
Google Scholar
[31] Meng Y H, Yang Y, Sun H L, Zhang S S, Luo J L, Chen L C, Ma X L, Wang M, Hong F, Wang X B, Yu X H 2024 Nat. Commun. 15 10408
Google Scholar
[32] Chen X Y, Choi J, Jiang Z C, Mei J, Jiang K, Li J, Agrestini S, Garcia-Fernandez M, Sun H L, Huang X, Shen D W, Wang M, Hu J P, Lu Y, Zhou K J, Feng D L 2024 Nat. Commun. 15 9597
Google Scholar
[33] Chen K, Liu X, Jiao J, Zou M, Jiang C, Li X, Luo Y, Wu Q, Zhang N, Guo Y, Shu L 2024 Phys. Rev. Lett. 132 256503
Google Scholar
[34] Khasanov R, Hicken T J, Gawryluk D J, Sazgari V, Plokhikh I, Sorel L P, Bartkowiak M, Bötzel S, Lechermann F, Eremin I M, Luetkens H, Guguchia Z 2025 Nat. Phys. 21 430
Google Scholar
[35] Xie T, Huo M W, Ni X S, Shen F R, Huang X, Sun H L, Walker H C, Adroja D, Yu D H, Shen B, He L H, Cao K, Wang M 2024 Sci. Bull. 69 3221
Google Scholar
[36] Ni X S, Ji Y Y, He L X, Xie T, Yao D X, Wang M, Cao K 2025 Npj Quantum Mater. 10 17
Google Scholar
[37] Yang J G, Sun H L, Hu X W, Xie Y Y, Miao T M, Luo H L, Chen H, Liang B, Zhu W P, Qu G X, Chen C Q, Huo M W, Huang Y B, Zhang S J, Zhang F F, Yang F, Wang Z M, Peng Q J, Mao H Q, Liu G D, Xu Z Y, Qian T, Yao D X, Wang M, Zhao L, Zhou X J 2024 Nat. Commun. 15 4373
Google Scholar
[38] Zhang M X, Pei C Y, Peng D, Du X, Hu W X, Cao Y T, Wang Q, Wu J F, Li Y D, Liu H Y, Wen C H P, Song J, Zhao Y, Li C H, Cao W Z, Zhu S H, Zhang Q, Yu N, Cheng P H, Zhang L L, Li Z W, Zhao J K, Chen Y L, Jin C Q, Guo H J, Wu C J, Yang F, Zeng Q S, Yan S C, Yang L X, Qi Y P 2025 Phys. Rev. X 15 021005
Google Scholar
[39] Zhu Y H, Peng D, Zhang E K, Pan B Y, Chen X, Chen L X, Ren H F, Liu F Y, Hao Y Q, Li N N, Xing Z F, Lan F J, Han J Y, Wang J J, Jia D H, Wo H L, Gu Y Q, Gu Y M, Ji L, Wang W B, Gou H Y, Shen Y, Ying T P, Chen X L, Yang W G, Cao H B, Zheng C L, Zeng Q S, Guo J G, Zhao J 2024 Nature 631 531
Google Scholar
[40] Shi M Z, Peng D, Fan K B, Xing Z F, Yang S H, Wang Y Z, Li H P, Wu R Q, Du M, Ge B H, Zeng Z D, Zeng Q S, Ying J J, Wu T, Chen X H 2025 Nature Physics 21 11
Google Scholar
[41] Zhang Y N, Su D J, Shan Z Y, Yang Z H, Zhang J W, Li R, Smidman M, Yuan H Q 2023 Phys. Rev. B 108 094502
Google Scholar
[42] Zhang J, Zheng H, Chen Y S, Ren Y, Yonemura M, Huq A, Mitchell J F 2020 Phys. Rev. Mater. 4 083402
Google Scholar
[43] Yuan J, Chen Q H, Jiang K, Feng Z P, Lin Z F, Yu H S, He G, Zhang J S, Jiang X Y, Zhang X, Shi Y J, Zhang Y M, Qin M Y, Cheng Z G, Tamura N, Yang Y F, Xiang T, Hu J P, Takeuchi I, Jin K, Zhao Z X 2022 Nature 602 431
Google Scholar
[44] Jiang X Y, Qin M Y, Wei X J, Xu L, Ke J Z, Zhu H P, Zhang R Z, Zhao Z Y, Liang Q M, Wei Z X, Lin Z F, Feng Z P, Chen F C, Xiong P Y, Yuan J, Zhu B Y, Li Y M, Xi C Y, Wang Z S, Yang M, Wang J F, Xiang T, Hu J P, Jiang K, Chen Q H, Jin K, Zhao Z X 2023 Nat. Phys. 19 365
Google Scholar
[45] Taniguchi S, Nishikawa T, Yasui Y, Kobayashi Y, Takeda J, Shamoto S, Sato M 1995 J. Phys. Soc. Jpn. 64 1644
Google Scholar
[46] Wu G, Neumeier J J, Hundley M F 2001 Phys. Rev. B 63 245120
Google Scholar
[47] Liu Z J, Sun H L, Huo M W, Ma X Y, Ji Y, Yi E K, Li L S, Liu H, Yu J, Zhang Z Y, Chen Z Q, Liang F X, Dong H L, Guo H J, Zhong D Y, Shen B, Li S L, Wang M 2022 Sci. China Phys. Mech. Astron. 66 217411
Google Scholar
[48] Gupta N K, Gong R, Wu Y, Kang M, Parzyck C T, Gregory B Z, Costa N, Sutarto R, Sarker S, Singer A, Schlom D G, Shen K M, Hawthorn D G 2025 Nat. Commun. 16 6560
Google Scholar
[49] Ren X L, Sutarto R, Wu X X, Zhang J F, Huang H, Xiang T, Hu J P, Comin R, Zhou X J, Zhu Z H 2025 Commun. Phys. 8 52
Google Scholar
[50] Sasaki H, Harashina H, Taniguchi S, Kasai M, Kobayashi Y, Sato M, Kobayashi T, Ikeda T, Takata M, Sakata M 1997 J. Phys. Soc. Jpn. 66 1693
Google Scholar
[51] Luo Z H, Hu X W, Wang M, Wu W, Yao D X 2023 Phys. Rev. Lett. 131 126001
Google Scholar
[52] Zhang Y, Lin L F, Moreo A, Dagotto E 2023 Phys. Rev. B 108 L180510
Google Scholar
[53] Lechermann F, Gondolf J, Bötzel S, Eremin I M 2023 Phys. Rev. B 108 L201121
Google Scholar
[54] Yang Q G, Wang D, Wang Q H 2023 Phys. Rev. B 108 L140505
Google Scholar
[55] Sakakibara H, Kitamine N, Ochi M, Kuroki K 2024 Phys. Rev. Lett. 132 106002
Google Scholar
[56] Shen Y, Qin M P, Zhang G M 2023 Chin. Phys. Lett. 40 127401
Google Scholar
[57] Christiansson V, Petocchi F, Werner P 2023 Phys. Rev. Lett. 131 206501
Google Scholar
[58] Yang Y, Zhang G M, Zhang F C 2023 Phys. Rev. B 108 L201108
Google Scholar
[59] Liu Y B, Mei J W, Ye F, Chen W Q, Yang F 2023 Phys. Rev. Lett. 131 236002
Google Scholar
[60] Zhang Y, Lin L F, Moreo A, Maier T A, Dagotto E 2024 Nat. Commun. 15 2470
Google Scholar
[61] Lu C, Pan Z M, Yang F, Wu C J 2024 Phys. Rev. Lett. 132 146002
Google Scholar
[62] Qu X Z, Qu D W, Chen J L, Wu C J, Yang F, Li W, Su G 2024 Phys. Rev. Lett. 132 036502
Google Scholar
[63] Li D F, Wang B Y, Lee K, Harvey S P, Osada M, Goodge B H, Kourkoutis L F, Hwang H Y 2020 Phys. Rev. Lett. 125 027001
Google Scholar
[64] Ko E K, Yu Y, Liu Y, Bhatt L, Li J, Thampy V, Kuo C T, Wang B Y, Lee Y, Lee K, Lee J S, Goodge B H, Muller D A, Hwang H Y 2025 Nature 638 935
Google Scholar
[65] Zhou G D, Lü W, Wang H, Nie Z H, Chen Y Q, Li Y Y, Huang H L, Chen W Q, Sun Y J, Xue Q K, Chen Z Y 2025 Nature 640 641
Google Scholar
[66] Li P, Zhou G D, Lü W, Li Y Y, Yue C M, Huang H L, Xu L Z, Shen J C, Miao Y, Song W H, Nie Z H, Chen Y Q, Wang H, Chen W Q, Huang Y B, Chen Z H, Qian T, Lin J H, He J F, Sun Y J, Chen Z Y, Xue Q K 2025 Natl. Sci. Rev. 12 nwaf205
Google Scholar
[67] Wang B Y, Zhong Y, Abadi S, Liu Y D, Yu Y J, Zhang X L, Wu Y M, Wang R H, Li J R, Tarn Y, Ko E K, Thampy V, Hashimoto M, Lu D, Lee Y S, Devereaux T P, Jia C J, Hwang H Y, Shen Z X 2025 arXiv: 2504.16372 [cond-mat. supr-con]
Google Scholar
[68] Zhao Y F, Botana A S 2025 Phys. Rev. B 111 115154
Google Scholar
[69] Geisler B, Hamlin J J, Stewart G R, Hennig R G, Hirschfeld P J 2025 Phys. Rev. B 112 L100506
Google Scholar
[70] Yoshiaki K, Satoshi T, Mayumi K, Masatoshi S, Takashi N, Masaaki K 2013 J. Phys. Soc. Jpn. 65 3978
Google Scholar
[71] Xu S X, Wang H, Huo M W, Hu D Y, Wu Q, Yue L, Wu D, Wang M, Dong T, Wang N L 2025 Nat. Commun. 16 7039
Google Scholar
[72] Zhang E K, Peng D, Zhu Y H, Chen L X, Cui B K, Wang X Y, Wang W B, Zeng Q S, Zhao J 2025 Phys. Rev. X 15 021008
Google Scholar
[73] Li F Y, Xing Z F, Peng D, Dou J, Guo N, Ma L, Zhang Y L, Wang L Z, Luo J, Yang J, Zhang J, Chang T Y, Chen Y S, Cai W Z, Cheng J G, Wang Y Z, Zeng Z D, Zheng Q, Zhou R, Zeng Q S, Tao X T, Zhang J J 2025 Nature https:// doi.org/10.1038/s41586-025-09954-4
Google Scholar
[74] Shi M Z, Li Y K, Wang Y X, Peng D, Yang S H, Li H P, Fan K B, Jiang K, He J F, Zeng Q S, Song D S, Ge B H, Xiang Z J, Wang Z Y, Ying J J, Wu T, Chen X H 2025 Nat. Commun. 16 2887
Google Scholar
Catalog
Metrics
- Abstract views: 585
- PDF Downloads: 18
- Cited By: 0









DownLoad: