-
This work investigates nonequilibrium phase transitions in a Rydberg atomic system under collective dissipation. By combining mean-field theory and Liouvillian spectral analysis, we reveal novel nonequilibrium phases induced by collective dissipation and compare the results from both approaches. Our findings indicate that collective dissipation not only generates interatomic correlations but also sustains persistent periodic oscillations and a unique bistable form, in which the system may evolve to a steady state or sustain self-consistent oscillatory dynamics. This study highlights the rich nonequilibrium phenomena present in quantum many-body systems and provides an extensible spectral framework for exploring dissipative phases in Rydberg and related systems. Recent experiments have reported persistent oscillations in thermal Rydberg atomic ensembles, yet the theoretical consensus on their origin remains elusive. Motivated by these observations, we introduce a collective dissipation mechanism and employ both mean-field approximations and the Liouvillian spectrum method to systematically explore nonequilibrium phase transitions. Our results show that the collective dissipation effectively induces interatomic correlations and sustains persistent periodic oscillations, in which under the same parameters, independent dissipation leads the system to relax to a stationary state. Furthermore, the nonlinear effects arising from collective dissipation give rise to a novel type of bistability, in which the system can converge to a fixed point or maintain self-consistent periodic oscillations. This mechanism is clearly different from the traditional bistability induced by Rydberg interactions, which involves two steady states. Moreover, the Liouvillian spectral method, based on the quantum master equation, successfully captures the features of nonequilibrium phase transitions even in finite-dimensional systems, and the results accord well with those obtained from mean-field approximation in the thermodynamic limit. Our work not only provides a theoretical explanation for recently observed oscillatory phenomena but also predicts novel bistable states and rich nonequilibrium phase structures. It further verifies the effectiveness of the Liouvillian spectroscopic method in studying quantum many-body systems, making significant contributions to understanding the microscopic mechanisms underlying nonequilibrium phase transitions. -
Keywords:
- Rydberg atom /
- collective dissipation /
- non-equilibrium phase transition /
- Liouvillian gap
[1] Mari A, Farace A, Didier N, Giovannetti V, Fazio R 2013 Phys. Rev. Lett. 111 103605
Google Scholar
[2] Witthaut D, Wimberger S, Burioni R, Timme M 2017 Nat. Commun. 8 14829
Google Scholar
[3] Biondi M, Blatter G, Türeci H E, Schmidt S 2017 Phys. Rev. A 96 043809
Google Scholar
[4] Carmichael H J 2015 Phys. Rev. X 5 031028
[5] Chan C K, Lee T E, Gopalakrishnan S 2015 Phys. Rev. A 91 051601
Google Scholar
[6] Wilczek F 2012 Phys. Rev. Lett. 109 160401
Google Scholar
[7] Greilich A, Kopteva N E, Korenev V L, Haude P A, Bayer M 2025 Nat. Commun. 16 2936
Google Scholar
[8] Liu T, Ou J Y, MacDonald K F, Zheludev N I 2023 Nat. Phys. 19 986
Google Scholar
[9] Wang Z, Gao R, Wu X, Buča B, Mølmer K, You L, Yang F 2025 arXiv: 2503.20761 [quant-ph]
[10] Wu X L, Wang Z Q, Yang F, Gao R C, Liang C, Tey M K, Li X L, Pohl T, You L 2024 Nat. Phys. 20 1389
Google Scholar
[11] Ding D S, Bai Z Y, Liu Z K, Shi B S, Guo G C, Li W B, Adams C S 2024 Sci. Adv. 10 eadl5893
Google Scholar
[12] Wadenpfuhl K, Adams C S 2023 Phys. Rev. Lett. 131 143002
Google Scholar
[13] Jiao Y C, Jiang W L, Zhang Y, Bai J X, He Y H, Shen H, Zhao J M, Jia S T 2025 Nat. Commun. 16 8767
Google Scholar
[14] Lee T E, Häffner H, Cross M C 2012 Phys. Rev. Lett. 108 023602
Google Scholar
[15] Lee T E, Chan C K, Yelin S F 2014 Phys. Rev. A 90 052109
Google Scholar
[16] Dicke R H 1954 Phys. Rev. 93 99
Google Scholar
[17] Bohnet J G, Chen Z, Weiner J M, Meiser D, Holland M J, Thompson J K 2012 Nature 484 78
Google Scholar
[18] Ferioli G, Glicenstein A, Ferrier-Barbut I, Browaeys A 2023 Nat. Phys. 19 1345
Google Scholar
[19] Lei M, Fukumori R, Rochman J, Zhu B, Endres M, Choi J, Faraon A 2023 Nature 617 271
Google Scholar
[20] Gross M, Haroche S 1982 Phys. Rep. 93 301
Google Scholar
[21] Prazeres L F D, Souza L D S, Iemini F 2021 Phys. Rev. B 103 184308
Google Scholar
[22] Prazeres L F D, Souza L D S, Iemini F 2021 Phys. Rev. B 104 014307
Google Scholar
[23] Macieszczak K, Guţă M, Lesanovsky I, Garrahan J P 2016 Phys. Rev. Lett. 116 240404
Google Scholar
[24] Žnidarič M 2015 Phys. Rev. E 92 042143
Google Scholar
[25] Minganti F, Biella A, Bartolo N, Ciuti C 2018 Phys. Rev. A 98 042118
Google Scholar
[26] Huybrechts D, Minganti F, Nori F, Wouters M, Shammah N 2020 Phys. Rev. B 101 214302
Google Scholar
[27] Mori T, Shirai T 2020 Phys. Rev. Lett. 125 230604
Google Scholar
[28] Minganti F, Biella A, Bartolo N, Ciuti C 2017 Phys. Rev. A 95 012128
Google Scholar
[29] Zhang J, Xia G, Wu C W, Chen T, Zhang Q, Xie Y, Su W B, Wu W, Qiu C W, Chen P X, Li W B, Jing H, Zhou Y L 2025 Nat. Commun. 16 301
Google Scholar
[30] Zhou Y L, Yu X D, Wu C W, Li X Q, Zhang J, Li W, Chen P X 2023 Phys. Rev. Res. 5 043036
Google Scholar
[31] Macieszczak K, Zhou Y L, Hofferberth S, Garrahan J P, Li W, Lesanovsky I 2017 Phys. Rev. A 96 043860
Google Scholar
[32] Iemini F, Russomanno A, Keeling J, Schirò M, Dalmonte M, Fazio R 2018 Phys. Rev. Lett. 121 035301
Google Scholar
[33] Stiesdal N, Busche H, Kumlin J, Kleinbeck K, Büchler H P, Hofferberth S 2020 Phys. Rev. Res. 2 043339
Google Scholar
[34] Bonifacio R, Lugiato L A 1975 Phys. Rev. A 11 1507
Google Scholar
[35] Lindblad G 1976 Commun. Math. Phys. 48 119
Google Scholar
[36] Gorini V, Kossakowski A, Sudarshan E C G 1976 J. Math. Phys. 17 821
Google Scholar
[37] Li Y, Wang C, Tang Y, Liu Y C 2024 Phys. Rev. Lett. 132 183803
Google Scholar
[38] Weimer H, Kshetrimayum A, Orús R 2021 Rev. Mod. Phys. 93 015008
Google Scholar
[39] Baumann K, Guerlin C, Brennecke F, Esslinger T 2010 Nature 464 1301
Google Scholar
[40] Emary C, Brandes T 2003 Phys. Rev. E 67 066203
Google Scholar
[41] Mivehvar F 2024 Phys. Rev. Lett. 132 073602
Google Scholar
[42] Burgstahler S 1983 College Math. J. 14 203
Google Scholar
[43] Lee T E, Häffner H, Cross M C 2011 Phys. Rev. A 84 031402
Google Scholar
[44] Ikeda K 1979 Opt. Commun. 30 257
Google Scholar
[45] Gibbs H M, McCall S L, Venkatesan T N C 1976 Phys. Rev. Lett. 36 1135
Google Scholar
[46] Wang H, Goorskey D J, Xiao M 2001 Phys. Rev. A 65 011801
Google Scholar
[47] Marcuzzi M, Levi E, Diehl S, Garrahan J P, Lesanovsky I 2014 Phys. Rev. Lett. 113 210401
Google Scholar
[48] Šibalić N, Wade C G, Adams C S, Weatherill K J, Pohl T 2016 Phys. Rev. A 94 011401
Google Scholar
[49] Zhang L, Fei Y, Cao T, Cao Y, Xu Q, Chen S 2013 Phys. Rev. A 87 053805
Google Scholar
[50] Takemura N, Takiguchi M, Sumikura H, Kuramochi E, Shinya A, Notomi M 2020 Phys. Rev. A 102 011501
Google Scholar
[51] Shetewy A E, Catuneanu M T, He M, Jamshidi K 2024 Sci. Rep. 14 23823
Google Scholar
[52] Arakelyan S M 1987 Sov. Phys. Uspek. 30 1041
Google Scholar
[53] Jiles D C, Atherton D L 1986 J. Magn. Magn. Mater. 61 48
Google Scholar
[54] Zhang J, Li E Z, Wang Y J, Liu B, Zhang L H, Zhang Z Y, Shao S Y, Li Q, Chen H C, Ma Y, Han T Y, Wang Q F, Nan J D, Yin Y M, Zhu D Y, Guo G C, Ding D S, Shi B S 2025 Nat. Commun. 16 3511
Google Scholar
[55] Breuer H P, Petruccione F 2007 The Theory of Open Quantum Systems (Oxford University Press
-
图 1 原子能级结构, 黄色和灰色的实心小球分别表示处在里德伯态和基态的原子. 外界存在稳定的激光来驱动系统远离平衡态, 激光与单个原子耦合的拉比频率为Ω, 失谐量为Δ, V表示处在里德伯态的原子之间的相互作用强度, Γ表示原子系统集体耗散速率, γ表示原子的独立耗散速率
Figure 1. Atomic energy level structure, the yellow and gray solid spheres represent atoms in the Rydberg state and the ground state, respectively. The atoms are driven by a laser with the Rabi frequency Ω and the detuning Δ, V represents the interaction strength between atoms in the Rydberg state, Γ is collective dissipation rate and γ is independent dissipation rate.
图 2 稳态时系统的吸收性质 (a) 不考虑相互作用和集体耗散时系统的吸收谱($ V=0 $, $ \varGamma=0 $), 呈现单原子时的单峰结构; (b) 原子相互作用对光谱的影响($ V\ne0 $, $ \varGamma=0 $), 相互作用引起谱线发生不对称弯曲. 当相互作用足够强时, 系统出现一般意义下的双稳态(图中虚线对应不稳定的解); (c) 考虑集体耗散时的吸收谱($ V=0 $, $ \varGamma\ne0 $). 随着系统集体耗散速率的增加, 原子光谱逐渐展宽且出现对称的双峰结构; (d) 相互作用和集体耗散同时存在时的原子光谱(固定$ \varGamma/\gamma=3 $), 相互作用使双峰结构变得不对称; 图(b)—(d)中对应的$ \varOmega/(\gamma+\varGamma)=2 $, 这里的参数设置均以$ \gamma+\varGamma $为量纲, 下同
Figure 2. Absorption properties of the system in the stationary state: (a) Absorption spectrum of the system without interactions and collective dissipation ($ V=0 $, $ \varGamma=0 $), showing a single-peak structure as in the single-atom case; (b) effect of atomic interactions on the spectrum ($ V \ne 0 $, $ \varGamma=0 $), the interaction causes asymmetric bending of the spectral line, when the interaction is sufficiently strong, the system exhibits bistability (the dashed line corresponds to the unstable solution); (c) absorption spectrum with collective dissipation ($ V=0 $, $ \varGamma \ne 0 $), as the collective dissipation rate increases, the atomic spectrum broadens and develops a symmetric two-peak structure; (d) atomic spectrum when both interactions and collective dissipation are present (with fixed $ \varGamma/\gamma=3 $), the interactions cause the two-peak structure to become asymmetric; in panels (b)—(d), the corresponding value of $ \varOmega/(\gamma+\varGamma)=2 $. All parameters here are normalized by $ \gamma+\varGamma $, and the same applies hereafter.
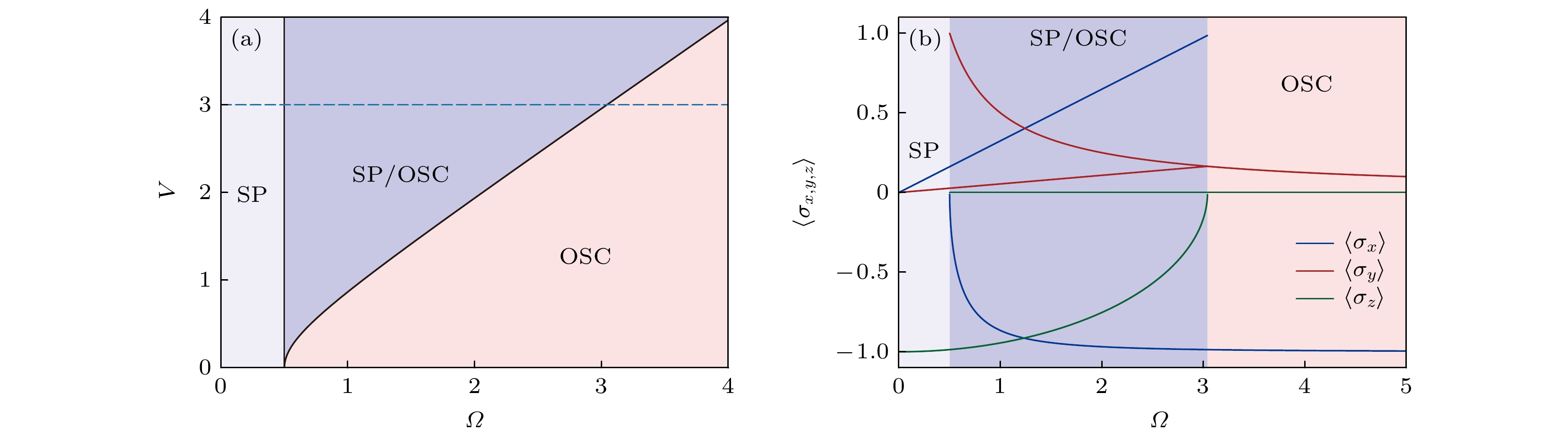
图 3 (a) 平均场近似下的相图, 单稳相(SP)表示系统终止于不动点, 即唯一的稳定状态, 特殊双稳相(SP/OSC)表示系统可终止于不动点, 亦可自洽维持周期性振荡. 周期性振荡相(OSC)表示系统稳定后仍然处于持续振荡; (b) $ V=3\varGamma $时, 系统在平均场近似下的稳态解$ \langle \sigma_{x, y, z}\rangle $随Ω的变化
Figure 3. (a) Phase diagram under the mean-field approximation, the stationary state phase (SP) indicates that the system reaches a fixed point, i.e., a unique stationary state, the unique bistable phase (SP/OSC) indicates that the system may either converge to a fixed point or self-consistently sustain periodic oscillations. The oscillatory (OSC) indicates that the system sustains self-consistent periodic oscillations; (b) the stationary state solutions $ \langle \sigma_{x, y, z}\rangle $ as function of Ω for $ V = 3\varGamma $.
图 4 3种不同相区间下, 系统的动力学轨迹 (a) SP相($ \varOmega=0.2\varGamma $), 不同初始态都会到达一个不随时间变化的稳态; (b) SP/OSC相($ \varOmega=1.5\varGamma $), 一部分初始态会形成周期性振荡, 而一部分初始态会到达稳态上; (c) OSC相($ \varOmega=4\varGamma $), 任意初始态均会形成周期性的振荡, 本文固定$ V=3\varGamma $
Figure 4. Dynamical trajectories of the system under three different phase regimes: (a) SP phase (for $ \varOmega = 0.2\varGamma $), trajectories from different initial states all converge to a time-independent stationary state; (b) SP/OSC phase (for $ \varOmega = 1.5\varGamma $), some initial states evolve into periodic oscillations, while others converge to a stationary state; (c) OSC phase (for $ \varOmega = 4\varGamma $), all initial states develop periodic oscillations, here, we set $ V = 3\varGamma $.
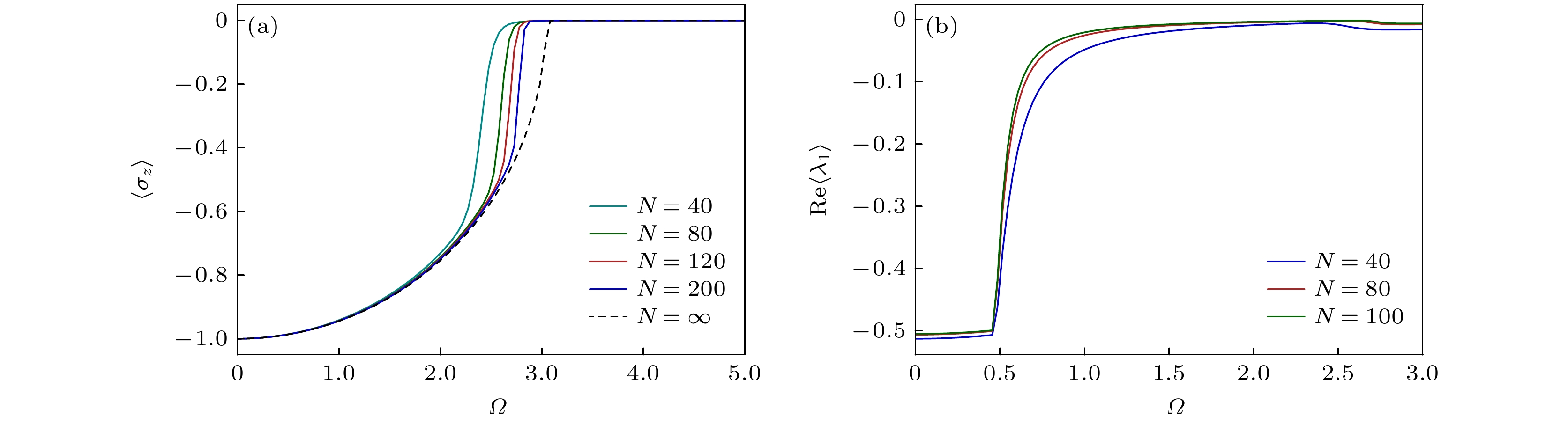
图 5 (a) 对有限维量子系统, 刘维尔能谱方法求解的$ \langle\sigma_z\rangle $稳态结果, 虚线为平均场近似的结果; (b) 刘维尔能谱的最慢模式本征值实部$ {\mathrm{Re}}(\lambda_{1}) $随Ω的变化; 两图对应$ V=3\varGamma $
Figure 5. (a) Steady-state expectation value $ \langle\sigma_z\rangle $ for a finite-dimensional quantum system, obtained via the Liouvillian spectral method, the dashed line shows the mean-field approximation result; (b) real part of the slowest mode eigenvalue $ {\rm{Re}}(\lambda_{1}) $ of the Liouvillian spectrum as a function of Ω; both panels are for $ V=3\varGamma $.
图 6 不同相对应的参数下, 有限维的量子系统与平均场近似下的动力学演化 (a), (b)分别表示处在SP和OSC参数下系统的动力学演化; (c), (d)相同参数(SP/OSC)下, 不同初始态对应的动力学演化
Figure 6. Dynamical evolution of a finite-dimensional quantum system compared to its mean-field approximation under varying parameters: (a), (b) Depict the system’s dynamics in the single-particle (SP) and oscillatory (OSC) parameter regimes, respectively; (c), (d) the corresponding dynamical evolution for different initial states, utilizing the same SP and OSC parameters as in panels (a), (b), respectively.
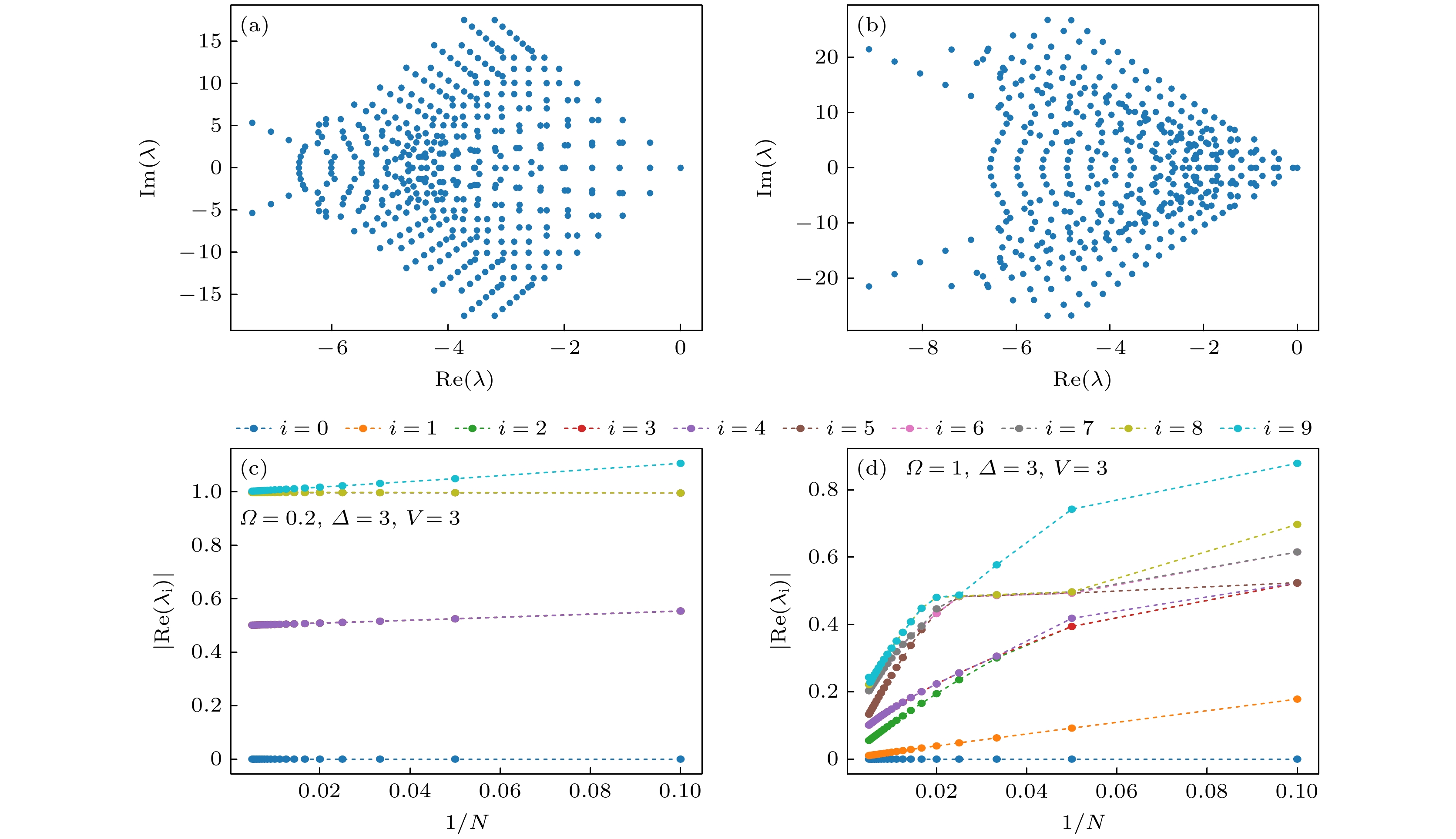
图 7 刘维尔能谱结构图 (a), (b)分别对应$ \varOmega=0.2\varGamma $(SP相), $ 1\varGamma $(SP/OSC相)的刘维尔能谱($ N=20 $); (c), (d)相应的能谱$ \lambda_{i}(i=0,1,2, \cdots9) $实部绝对值随粒子数的变化, 这里以$ \left | {\mathrm{Re}}(\lambda_{i}) \right | $升序排列; 可见在SP相(a), (c), 能谱并不会随着系统维度而收敛至零, 而在OSC相(b), (d)存在的参数区间, 能谱随N的增大而逐渐收敛至零, 即热力学极限下的能隙闭合
Figure 7. (a), (b) Liouville spectra for $ \varOmega=0.2\varGamma $ and $ \varOmega=1\varGamma $, respectively, in a system with $ N=20 $, the spectral gap in (b) is significantly smaller than that in (a); (c), (d) finite size scaling for the real part of the Liouvillian eigenvalues in the SP phase (c) and SP/OSC phase (d), the index i labels the eigenvalues, the Liouvillian eigenvalues $ \lambda_i $ are ordered as a function of their real part ($ |{\mathrm{Re}}(\lambda_i)|\le |{\mathrm{Re}}(\lambda_{i+1})| $ and $ i=0 $ has zero real part), in SP phase, convergence of the Liouvillian gap to zero does not occur with increasing N, while in OSC phase they scale to zero as system size increase.
-
[1] Mari A, Farace A, Didier N, Giovannetti V, Fazio R 2013 Phys. Rev. Lett. 111 103605
Google Scholar
[2] Witthaut D, Wimberger S, Burioni R, Timme M 2017 Nat. Commun. 8 14829
Google Scholar
[3] Biondi M, Blatter G, Türeci H E, Schmidt S 2017 Phys. Rev. A 96 043809
Google Scholar
[4] Carmichael H J 2015 Phys. Rev. X 5 031028
[5] Chan C K, Lee T E, Gopalakrishnan S 2015 Phys. Rev. A 91 051601
Google Scholar
[6] Wilczek F 2012 Phys. Rev. Lett. 109 160401
Google Scholar
[7] Greilich A, Kopteva N E, Korenev V L, Haude P A, Bayer M 2025 Nat. Commun. 16 2936
Google Scholar
[8] Liu T, Ou J Y, MacDonald K F, Zheludev N I 2023 Nat. Phys. 19 986
Google Scholar
[9] Wang Z, Gao R, Wu X, Buča B, Mølmer K, You L, Yang F 2025 arXiv: 2503.20761 [quant-ph]
[10] Wu X L, Wang Z Q, Yang F, Gao R C, Liang C, Tey M K, Li X L, Pohl T, You L 2024 Nat. Phys. 20 1389
Google Scholar
[11] Ding D S, Bai Z Y, Liu Z K, Shi B S, Guo G C, Li W B, Adams C S 2024 Sci. Adv. 10 eadl5893
Google Scholar
[12] Wadenpfuhl K, Adams C S 2023 Phys. Rev. Lett. 131 143002
Google Scholar
[13] Jiao Y C, Jiang W L, Zhang Y, Bai J X, He Y H, Shen H, Zhao J M, Jia S T 2025 Nat. Commun. 16 8767
Google Scholar
[14] Lee T E, Häffner H, Cross M C 2012 Phys. Rev. Lett. 108 023602
Google Scholar
[15] Lee T E, Chan C K, Yelin S F 2014 Phys. Rev. A 90 052109
Google Scholar
[16] Dicke R H 1954 Phys. Rev. 93 99
Google Scholar
[17] Bohnet J G, Chen Z, Weiner J M, Meiser D, Holland M J, Thompson J K 2012 Nature 484 78
Google Scholar
[18] Ferioli G, Glicenstein A, Ferrier-Barbut I, Browaeys A 2023 Nat. Phys. 19 1345
Google Scholar
[19] Lei M, Fukumori R, Rochman J, Zhu B, Endres M, Choi J, Faraon A 2023 Nature 617 271
Google Scholar
[20] Gross M, Haroche S 1982 Phys. Rep. 93 301
Google Scholar
[21] Prazeres L F D, Souza L D S, Iemini F 2021 Phys. Rev. B 103 184308
Google Scholar
[22] Prazeres L F D, Souza L D S, Iemini F 2021 Phys. Rev. B 104 014307
Google Scholar
[23] Macieszczak K, Guţă M, Lesanovsky I, Garrahan J P 2016 Phys. Rev. Lett. 116 240404
Google Scholar
[24] Žnidarič M 2015 Phys. Rev. E 92 042143
Google Scholar
[25] Minganti F, Biella A, Bartolo N, Ciuti C 2018 Phys. Rev. A 98 042118
Google Scholar
[26] Huybrechts D, Minganti F, Nori F, Wouters M, Shammah N 2020 Phys. Rev. B 101 214302
Google Scholar
[27] Mori T, Shirai T 2020 Phys. Rev. Lett. 125 230604
Google Scholar
[28] Minganti F, Biella A, Bartolo N, Ciuti C 2017 Phys. Rev. A 95 012128
Google Scholar
[29] Zhang J, Xia G, Wu C W, Chen T, Zhang Q, Xie Y, Su W B, Wu W, Qiu C W, Chen P X, Li W B, Jing H, Zhou Y L 2025 Nat. Commun. 16 301
Google Scholar
[30] Zhou Y L, Yu X D, Wu C W, Li X Q, Zhang J, Li W, Chen P X 2023 Phys. Rev. Res. 5 043036
Google Scholar
[31] Macieszczak K, Zhou Y L, Hofferberth S, Garrahan J P, Li W, Lesanovsky I 2017 Phys. Rev. A 96 043860
Google Scholar
[32] Iemini F, Russomanno A, Keeling J, Schirò M, Dalmonte M, Fazio R 2018 Phys. Rev. Lett. 121 035301
Google Scholar
[33] Stiesdal N, Busche H, Kumlin J, Kleinbeck K, Büchler H P, Hofferberth S 2020 Phys. Rev. Res. 2 043339
Google Scholar
[34] Bonifacio R, Lugiato L A 1975 Phys. Rev. A 11 1507
Google Scholar
[35] Lindblad G 1976 Commun. Math. Phys. 48 119
Google Scholar
[36] Gorini V, Kossakowski A, Sudarshan E C G 1976 J. Math. Phys. 17 821
Google Scholar
[37] Li Y, Wang C, Tang Y, Liu Y C 2024 Phys. Rev. Lett. 132 183803
Google Scholar
[38] Weimer H, Kshetrimayum A, Orús R 2021 Rev. Mod. Phys. 93 015008
Google Scholar
[39] Baumann K, Guerlin C, Brennecke F, Esslinger T 2010 Nature 464 1301
Google Scholar
[40] Emary C, Brandes T 2003 Phys. Rev. E 67 066203
Google Scholar
[41] Mivehvar F 2024 Phys. Rev. Lett. 132 073602
Google Scholar
[42] Burgstahler S 1983 College Math. J. 14 203
Google Scholar
[43] Lee T E, Häffner H, Cross M C 2011 Phys. Rev. A 84 031402
Google Scholar
[44] Ikeda K 1979 Opt. Commun. 30 257
Google Scholar
[45] Gibbs H M, McCall S L, Venkatesan T N C 1976 Phys. Rev. Lett. 36 1135
Google Scholar
[46] Wang H, Goorskey D J, Xiao M 2001 Phys. Rev. A 65 011801
Google Scholar
[47] Marcuzzi M, Levi E, Diehl S, Garrahan J P, Lesanovsky I 2014 Phys. Rev. Lett. 113 210401
Google Scholar
[48] Šibalić N, Wade C G, Adams C S, Weatherill K J, Pohl T 2016 Phys. Rev. A 94 011401
Google Scholar
[49] Zhang L, Fei Y, Cao T, Cao Y, Xu Q, Chen S 2013 Phys. Rev. A 87 053805
Google Scholar
[50] Takemura N, Takiguchi M, Sumikura H, Kuramochi E, Shinya A, Notomi M 2020 Phys. Rev. A 102 011501
Google Scholar
[51] Shetewy A E, Catuneanu M T, He M, Jamshidi K 2024 Sci. Rep. 14 23823
Google Scholar
[52] Arakelyan S M 1987 Sov. Phys. Uspek. 30 1041
Google Scholar
[53] Jiles D C, Atherton D L 1986 J. Magn. Magn. Mater. 61 48
Google Scholar
[54] Zhang J, Li E Z, Wang Y J, Liu B, Zhang L H, Zhang Z Y, Shao S Y, Li Q, Chen H C, Ma Y, Han T Y, Wang Q F, Nan J D, Yin Y M, Zhu D Y, Guo G C, Ding D S, Shi B S 2025 Nat. Commun. 16 3511
Google Scholar
[55] Breuer H P, Petruccione F 2007 The Theory of Open Quantum Systems (Oxford University Press
Catalog
Metrics
- Abstract views: 1218
- PDF Downloads: 64
- Cited By: 0









DownLoad: