-
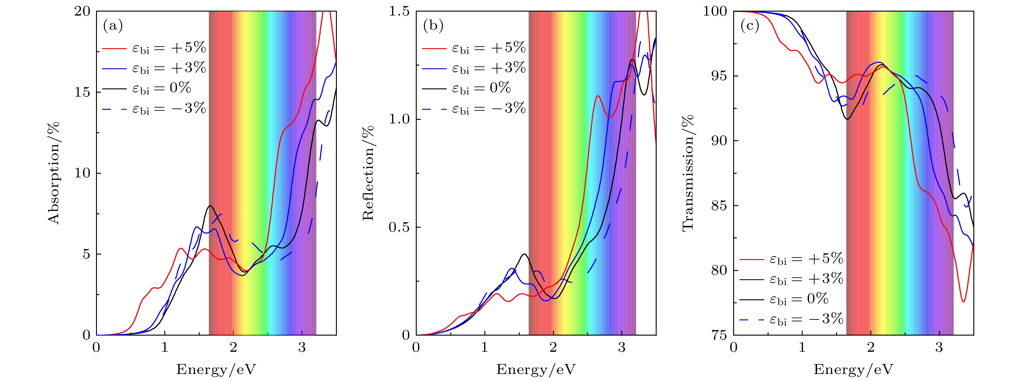
This study aims to explore two-dimensional semiconductor materials with superior carrier transport properties to meet the growing demands of high-speed electronics and optoelectronic devices, focusing on evaluating the feasibility of monolayer FeGa2S4 as a candidate material through systematic theoretical investigations. First-principles calculations are used to analyze the exfoliation energy of FeGa2S4 bulk crystal, as well as the structural stability, mechanical properties, and strain-dependent optoelectronic behavior of its monolayer counterpart. Strain engineering strategies, including uniaxial and biaxial strain, are used to assess carrier mobility modulation and spectral response. Our calculation results indicate that monolayer FeGa2S4 is an indirect bandgap semiconductor (Eg = 1.65 eV) with low stiffness (Young’s modulus up to 151.6 GPa) and high flexibility (Poisson’s ratio less than 0.25), demonstrating exceptional thermodynamic stability. Under +5% uniaxial tensile strain, its electron mobilities along x and y directions dramatically increases to 5402.4 cm2·V–1·s–1 and 4164.0 cm2·V–1·s–1, fivefold higher than its hole mobility. Biaxial strain outperforms uniaxial strain in bandgap modulation and induces a systematic redshift in optical spectra, significantly enhancing visible-light harvesting efficiency. This work reveals that monolayer FeGa2S4 is a promising high-mobility photoactive material for next-generation solar cells and optoelectronics. The strain-mediated control of electronic and optical properties provides a theoretical framework for optimizing 2D semiconductors and critical guidance for experimental synthesis and device engineering. These findings highlight the potential of materials in advancing energy conversion technology and photonic applications.
-
Keywords:
- first-principles /
- electronic structure /
- optical properties /
- strain engineering
-
-
[1] Novoselov K S, Geim A K, Morozov S V, Jiang D, Zhang Y, Dubonos S V, Grigorieva I V, Firsov A A 2004 Science 306 666
Google Scholar
[2] Banszerus L, Schmitz M, Engels S, Dauber J, Oellers M, Haupt F, Watanabe K, Taniguchi T, Beschoten B, Stampfer C 2015 Sci. Adv. 1 e1500222
Google Scholar
[3] Lee C, Wei X D, Kysar J W, Hone J 2008 Science 321 385
Google Scholar
[4] Balandin A A, Ghosh S, Bao W Z, Calizo I, Teweldebrhan D, Miao F, Lau C N 2008 Nano Lett. 8 902
Google Scholar
[5] Berger C, Song Z M, Li T B, Li X B, Ogbazghi A Y, Feng R, Dai Z T, Marchenkov A N, Conrad E H, First P N, de Heer W A 2004 J. Phys. Chem. B 108 19912
Google Scholar
[6] Liu M, Yin X B, Ulin-Avila E, Geng B S, Zentgraf T, Ju L, Wang F, Zhang X 2011 Nature 474 64
Google Scholar
[7] Withers F, Dubois M, Savchenko A K 2010 Phys. Rev. B 82 073403
Google Scholar
[8] Liu B, Zhou K 2019 Prog. Mater. Sci. 100 99
Google Scholar
[9] Cai Y Q; Zhang G, Zhang Y W 2014 Sci. Rep. 4 6677
Google Scholar
[10] Dean C R, Young A F, Meric I, Lee C, Wang L, Sorgenfrei S, Watanabe K, Taniguchi T, Kim P, Shepard K L, Hone J 2010 Nat. Nanotechnol. 5 722
Google Scholar
[11] Bandurin D A, Tyurnina A V, Yu G L, Mishchenko A, Zólyomi V, Morozov S V, Kumar R K, Gorbachev R V, Kudrynskyi Z R, Pezzini S, Kovalyuk Z D, Zeitler U, Novoselov K S, Patanè A, Eaves L, Grigorieva I V , Fal’ko V I, Geim A K, Cao Y 2017 Nat. Nanotechnol. 12 223
[12] Hu P A, Wang L F, Yoon M, Zhang J, Feng W, Wang X N, Wen Z Z, Idrobo J C, Miyamoto Y, Geohegan D B, Xiao K 2013 Nano Lett. 13 1649
Google Scholar
[13] Chhowalla M, Shin H S, Eda G, Li L J, Loh K Ping, Zhang H 2013 Nat. Chem. 5 263
Google Scholar
[14] Ataca C, Sahin H, Ciraci S 2012 J. Phys. Chem. C 116 8983
Google Scholar
[15] Song Y, Pan J B, Zhang Y F, Yang H T, Du S X 2021 J. Phys. Chem. Lett. 12 6007
Google Scholar
[16] Zhang S L, Xie M Q, Li F Y, Yan Z, Li Y F, Kan E, Liu W, Chen Z F, Zeng H B 2016 Angew. Chem. Int. Ed. 55 1666
Google Scholar
[17] Guo Z L, Zhou J, Zhua L G, Sun Z M 2016 J. Mater. Chem. A 4 11446
Google Scholar
[18] 宋蕊, 王必利, 冯凯, 王黎, 梁丹丹 2022 71 037101
Google Scholar
Song R, Feng K, Wang B L, Wang L, Liang D D 2022 Acta Phys. Sin. 71 037101
Google Scholar
[19] Du Z G, Yang S B, Li S M, Lou J, Zhang S Q, Wang S, Li B, Gong Y J, Song L, Zou X L, Ajayan P M 2020 Nature 577 492
Google Scholar
[20] Kim Y, Woo W J, Kim D, Lee S, Chung S M, Park J, Kim H 2021 Adv. Mater. 33 2005907
Google Scholar
[21] Rong C, Su T, Li Z K, Chu T S, Zhu M L, Yan Y B, Zhang B W, Xuan F Z 2024 Nat. Commun. 15 1566
Google Scholar
[22] Victorin J, Razpopov A, Higo T, Dziobek-Garrett R, Kempa T J, Nakatsuji S, Valentí R, Drichko N 2024 Sci. Rep. 14 28040
Google Scholar
[23] Dogguy-Smiri L, Dung N H, Pardo M P 1980 Mater. Res. Bull. 15 861
Google Scholar
[24] Kresse G, Furthmuller J 1996 Phys. Rev. B 54 11169
Google Scholar
[25] Perdew J P, Burke K, Ernzerhof M 1996 Phys. Rev. Lett. 77 3865
Google Scholar
[26] Monkhorst H J, Pack J D 1976 Phys. Rev. B 13 5188
Google Scholar
[27] Gonze X, Lee C 1997 Phys. Rev. B 55 10355
Google Scholar
[28] Sharan A, Sajjad M, Singh D J, Singh N 2022 Phys. Rev. Mater. 6 094005
Google Scholar
[29] Grimme S 2006 J. Comput. Chem. 27 1787
Google Scholar
[30] Gonze X, Lee C 1997 Phys. Rev. B 55 10355
Google Scholar
[31] Togo A, Tanaka I 2015 Scr. Mater. 108 1
Google Scholar
[32] Myoung B R, Kim S J, Kim C S 2008 J Korean Phys. Soc. 53 750
Google Scholar
[33] Zacharia R, Ulbricht H, Hertel T 2004 Phys. Rev. B 69 155406
Google Scholar
[34] Pavone P, Karch K, Schiitt O, Strauch D, Windl W, Giannozzi P, Baroni S 1993 Phys. Rev. B 48 3156
Google Scholar
[35] Mouhat F, Coudert F X 2014 Phys. Rev. B 90 224104
Google Scholar
[36] Cadelano E, Palla P L, Giordano S, Colombo L 2010 Phys. Rev. B 82 235414
Google Scholar
[37] Huang Z, Lu N, Wang Z F, Xu S H, Guan J, Hu Y W 2022 Nano Lett. 22 7734
Google Scholar
[38] Bardeen J, Shockley W 1950 Phys. Rev. 80 72
Google Scholar
[39] Xia F N, Wang H, Xiao D, Dubey M, Ramasubramaniam A 2014 Nat. Photonics 8 899
Google Scholar
Metrics
- Abstract views: 20
- PDF Downloads: 0
- Cited By: 0









DownLoad: