-
Gold nanorods (AuNRs) have become highly promising biomedical probes due to their tunable plasmonic properties, but their real-time, high-resolution imaging of subcellular behavior, particularly their orientation dynamics reflecting critical nano-bio interactions, is hindered by the diffraction limits and drawbacks of existing super-resolution methods, such as reliance on high-intensity lasers and exogenous labeling. To solve this problem, we develop coherent modulation amplitude projection imaging (CMAPI), a novel label-free technique that uses spatially and temporally modulated pairs of femtosecond pulses to coherently control the two-photon photoluminescence (TPPL) of AuNRs. By using AuNRs as three-level systems with a measurable intermediate state, CMAPI encodes sub-diffraction-limit spatial and orientational information into the frequency domain through precise manipulation of inter-pulse delay, phase, and polarization. Experimental results confirm the nonlinear excitation nature of AuNRs, with single-pulse polarization response following a cos2θ dependence. Under two-pulse excitation, the emission exhibits obvious coherence-dependent behavior: at zero delay, the response is controlled by quantum superposition; under a delay that matches the intermediate state lifetime (0.5 ps), the three-level model accurately describes the response; under a longer delays (10 ps), the system returns to incoherent emission. CMAPI retrieves nanoscale information through Fourier analysis of photon arrival times, producing simultaneous amplitude and phase images that reveal AuNRs’ precise positions (about 60 nm localization precision), in-plane orientations (e.g. quadrant-specific arrangement inferred from phase sign), and local environmental coupling, such as plasmon-induced phase jumps, all under ultralow excitation power (<5 μW/μm2) to avoid light damage. This approach enables visualization of features beyond the diffraction limit, distinguishing multiple AuNRs within a single diffractive spot, as validated by scanning electron microscopy. CMAPI provides a powerful, non-invasive platform for quantifying dynamic biological processes involving anisotropic nanoparticles. These process include conformational shifts during endocytosis, torque transmission in molecular motors, and real-time tracking of nanoscale interactions, thereby offering profound insights into theranostic probe design and fundamental biophysical research.
-
Keywords:
- two-photon photoluminescence /
- coherent modulation imaging /
- gold nanorods /
- ultrafast spectroscopy
[1] 王致远, 张慧 2025 74 158102
Google Scholar
Wang Z Y, Zhang H 2025 Acta Phys. Sin. 74 158102
Google Scholar
[2] 魏思雨, 黄浩, 马小云, 黄海文, 徐欣, 王荣瑶 2025 74 147301
Google Scholar
Wei S Y, Huang H, Ma X Y, Huang H W, Xu X, Wang R Y 2025 Acta Phys. Sin. 74 147301
Google Scholar
[3] Liao S N, Yue W, Cai S N, Tang Q, Lu W T, Huang L X, Qi T T, Liao J F 2021 Front. Pharmacol. 12 664123
Google Scholar
[4] Zhu R, Li J, Lin L S, Song J B, Yang H H 2021 Adv. Funct. Mater. 31 2005709
Google Scholar
[5] 王悦, 王伦, 孙柏逊, 郎鹏, 徐洋, 赵振龙, 宋晓伟, 季博宇, 林景全 2023 72 175202
Google Scholar
Wang Y, Wang L, Sun B X, Lang P, Xu Y, Zhao Z L, Song X W, Ji B Y, Lin J Q 2023 Acta Phys. Sin. 72 175202
Google Scholar
[6] Li W, Kaminski Schierle G S, Lei B F, Liu Y L, Kaminski C F 2022 Chem. Rev. 122 12495
Google Scholar
[7] Hu Y Q, Wang Y, Yan J H, Wen N C, Xiong H J, Cai S D, He Q Y, Peng D M, Liu Z B, Liu Y F 2020 Adv. Sci. 7 2000557
Google Scholar
[8] Zhu X R, Shi Z F, Mao Y, Lächelt U, Huang R Q 2024 Small 20 2310605
Google Scholar
[9] Wax A, Sokolov K 2009 Laser Photonics Rev. 3 146
Google Scholar
[10] Omidi M, Amoabediny G, Yazdian F, Habibi-Rezaei M 2014 Chin. Phys. Lett. 31 088701
Google Scholar
[11] Willets K A, Wilson A J, Sundaresan V, Joshi P B 2017 Chem. Rev. 117 7538
Google Scholar
[12] Kim J M, Lee C, Lee Y, Lee J, Park S J, Park S, Nam J M 2021 Adv. Mater. 33 2006966
Google Scholar
[13] Hang Y J, Wang A Y, Wu N Q 2024 Chem. Soc. Rev. 53 2932
Google Scholar
[14] Guo Z L, Yu G, Zhang Z G, Han Y D, Guan G J, Yang W S, Han M Y 2023 Adv. Mater. 35 2206700
Google Scholar
[15] Mayer K M, Hafner J H 2011 Chem. Rev. 111 3828
Google Scholar
[16] Lee T H, Hirst D J, Kulkarni K, Del Borgo M P, Aguilar M I 2018 Chem. Rev. 118 5392
Google Scholar
[17] Mcoyi M P, Mpofu K T, Sekhwama M, Mthunzi-Kufa P 2025 Plasmonics 20 5481
Google Scholar
[18] Fan Z Y, Mao X H, Zhu M, Hu X J, Li M Q, Huang L L, Li J, Maimaiti T, Zuo X L, Fan C H 2025 Angew. Chem. Int. Ed. 137 e202413244
Google Scholar
[19] Ge F, Xue J F, Du Y, He Y 2021 Nano Today 39 101158
Google Scholar
[20] Guix M, Mayorga-Martinez C C, Merkoçi A 2014 Chem. Rev. 114 6285
Google Scholar
[21] Li Y, Yang Y G, Qin C B, Song Y R, Han S P, Zhang G F, Chen R Y, Hu J Y, Xiao L T, Jia S T 2021 Phys. Rev. Lett. 127 073902
Google Scholar
[22] Li Y, Qin C B, Song Y R, Yan H Y, Han S P, Zhou H T, Wei A N, Zhang G F, Chen R Y, Hu J Y, Jing M Y, Xiao L T, Jia S T 2021 Opt. Express 29 22855
Google Scholar
[23] Ming T, Zhao L, Yang Z, Chen H J, Sun L D, Wang J F, Yan C H 2009 Nano Lett. 9 3896
Google Scholar
[24] Zhanghao K, Liu W H, Li M Q, Wu Z H, Wang X, Chen X Y, Shan C Y, Wang H Q, Chen X W, Dai Q H, Xi P, Jin D Y 2020 Nat. Commun. 11 5890
Google Scholar
-
图 1 AuNRs的双脉冲相干激发TPPL装置与能级示意图 (a) AuNRs的双脉冲相干激发TPPL示意图(DM, 二向色镜; OBJ, 物镜); (b) AuNRs的TPPL能级示意图, F1和F2为两个脉冲的电场矢量
Figure 1. Schematic of two-pulse coherent excitation TPPL and energy level diagram of AuNRs: (a) Schematic diagram of two-pulse coherent excitation TPPL for AuNRs (DM, dichroic mirror; OBJ, objective); (b) energy-level diagram illustrating TPPL in AuNRs, where F1 and F2 represent the electric field vectors of the two pulses.
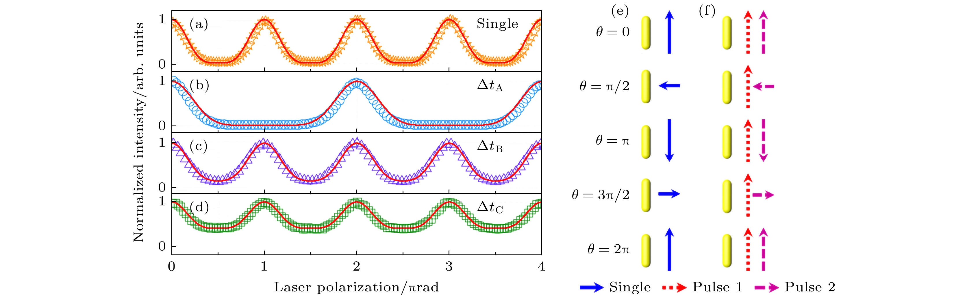
图 2 AuNRs的激发偏振依赖特性 (a) 单脉冲激发时, AuNRs发光强度随着夹角θ变化轨迹; (b)—(d) 分别为延时ΔtA = 0, ΔtB = 0.5 ps和ΔtC = 10 ps时, Pulse 1偏振不变, 旋转Pulse 2的偏振获得的AuNRs发光强度轨迹; (e), (f) 激光偏振与AuNRs长轴夹角的变换示意图, 其中蓝色箭头指示单脉冲激发, 红色和紫色箭头指示了Pulse 1 (红色虚线箭头)和Pulse 2 (紫色虚线箭头)偏振与AuNRs的取向关系
Figure 2. Excitation polarization dependence of AuNRs: (a) Polar plot of the AuNRs’ TPPL intensity as a function of the angle θ under single-pulse excitation. (b)–(d) Polar plots of the AuNRs’ luminescence intensity acquired by maintaining the polarization of Pulse 1 fixed and rotating the polarization of Pulse 2 at delay times of ΔtA = 0, ΔtB = 0.5 ps and ΔtC = 10 ps, respectively. (e), (f) Schematics illustrating the variation of the angle between the laser polarization and the long axis of the AuNRs. The blue arrow indicates single-pulse excitation; the red and purple arrows indicate the orientational relationship between the polarization of Pulse 1 (red dashed arrow) and Pulse 2 (purple dashed arrow) relative to the AuNRs.
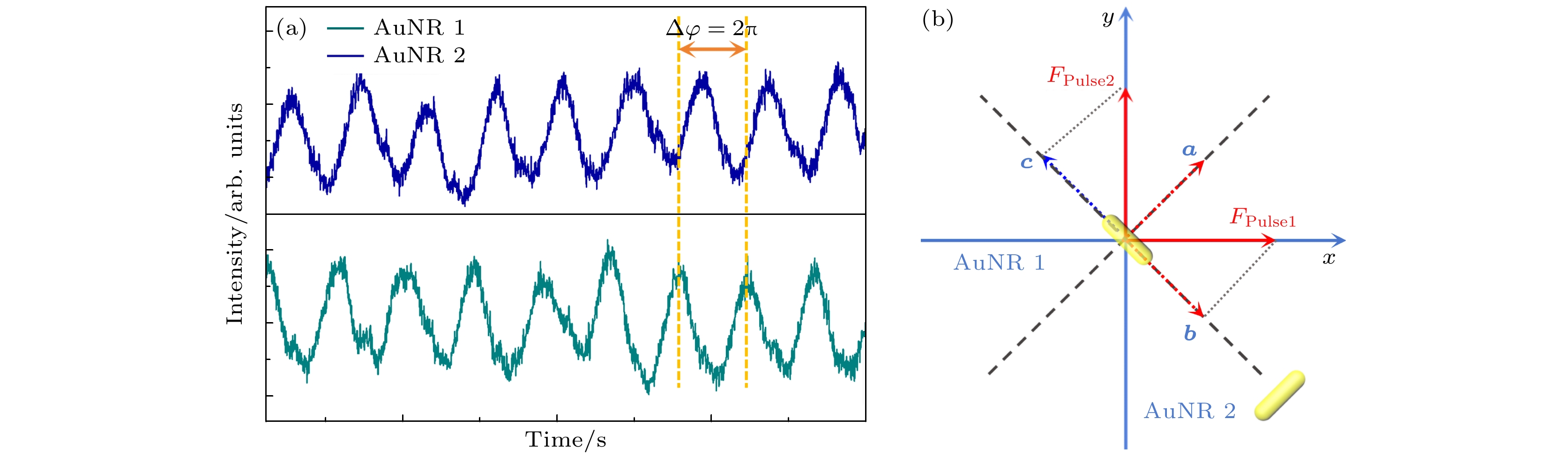
图 3 振幅投影示意图 (a) 以0.5 Hz的频率调制Pulse 1和Pluse 2之间的相对相位, AuNR 1和AuNR 2的TPPL强度具有相反的相位响应特征; (b) Pulse 1和Pluse 2的电场矢量方向分别沿x方向和y方向, 它们在平行于AuNR 1轴线上的投影为b和c, 垂直于轴线的投影为a, AuNR 2则不同
Figure 3. Schematic diagram of amplitude projection. (a) When the relative phase between Pulse 1 and Pulse 2 is modulated at a frequency of 0.5 Hz, the TPPL intensities of AuNR 1 and AuNR 2 exhibit opposite-phase response characteristics. (b) The electric field vectors of Pulse 1 and Pulse 2 are oriented along the x-axis and y-axis, respectively. Their projections parallel to the long axis of AuNR 1 are denoted as b and c, while the perpendicular projection is denoted as a. The case for AuNR 2 is different.
图 4 AuNRs的CMAPI成像 (a), (b)分别为TPPL强度成像和傅里叶变换强度成像, 黄色箭头标记为依据脉冲对的偏振状态确定的坐标系; (c)傅里叶变换所获得的相位成像; (d)该成像区域内对应的SEM成像, 其中红色圆圈标记出了金纳米棒所处位置, 其区域放大在右侧显示
Figure 4. CMAPI imaging of AuNRs. Panel (a) and (b) show the TPPL intensity image and the Fourier-transform intensity image, respectively. A coordinate system, determined by the polarization states of the pulse pair, is indicated by the yellow arrows. (c) Phase image obtained from the Fourier transform. (d) Corresponding SEM image of the same region. The locations of the gold nanorods are marked by red circles, with an enlarged view of the area displayed on the right.
-
[1] 王致远, 张慧 2025 74 158102
Google Scholar
Wang Z Y, Zhang H 2025 Acta Phys. Sin. 74 158102
Google Scholar
[2] 魏思雨, 黄浩, 马小云, 黄海文, 徐欣, 王荣瑶 2025 74 147301
Google Scholar
Wei S Y, Huang H, Ma X Y, Huang H W, Xu X, Wang R Y 2025 Acta Phys. Sin. 74 147301
Google Scholar
[3] Liao S N, Yue W, Cai S N, Tang Q, Lu W T, Huang L X, Qi T T, Liao J F 2021 Front. Pharmacol. 12 664123
Google Scholar
[4] Zhu R, Li J, Lin L S, Song J B, Yang H H 2021 Adv. Funct. Mater. 31 2005709
Google Scholar
[5] 王悦, 王伦, 孙柏逊, 郎鹏, 徐洋, 赵振龙, 宋晓伟, 季博宇, 林景全 2023 72 175202
Google Scholar
Wang Y, Wang L, Sun B X, Lang P, Xu Y, Zhao Z L, Song X W, Ji B Y, Lin J Q 2023 Acta Phys. Sin. 72 175202
Google Scholar
[6] Li W, Kaminski Schierle G S, Lei B F, Liu Y L, Kaminski C F 2022 Chem. Rev. 122 12495
Google Scholar
[7] Hu Y Q, Wang Y, Yan J H, Wen N C, Xiong H J, Cai S D, He Q Y, Peng D M, Liu Z B, Liu Y F 2020 Adv. Sci. 7 2000557
Google Scholar
[8] Zhu X R, Shi Z F, Mao Y, Lächelt U, Huang R Q 2024 Small 20 2310605
Google Scholar
[9] Wax A, Sokolov K 2009 Laser Photonics Rev. 3 146
Google Scholar
[10] Omidi M, Amoabediny G, Yazdian F, Habibi-Rezaei M 2014 Chin. Phys. Lett. 31 088701
Google Scholar
[11] Willets K A, Wilson A J, Sundaresan V, Joshi P B 2017 Chem. Rev. 117 7538
Google Scholar
[12] Kim J M, Lee C, Lee Y, Lee J, Park S J, Park S, Nam J M 2021 Adv. Mater. 33 2006966
Google Scholar
[13] Hang Y J, Wang A Y, Wu N Q 2024 Chem. Soc. Rev. 53 2932
Google Scholar
[14] Guo Z L, Yu G, Zhang Z G, Han Y D, Guan G J, Yang W S, Han M Y 2023 Adv. Mater. 35 2206700
Google Scholar
[15] Mayer K M, Hafner J H 2011 Chem. Rev. 111 3828
Google Scholar
[16] Lee T H, Hirst D J, Kulkarni K, Del Borgo M P, Aguilar M I 2018 Chem. Rev. 118 5392
Google Scholar
[17] Mcoyi M P, Mpofu K T, Sekhwama M, Mthunzi-Kufa P 2025 Plasmonics 20 5481
Google Scholar
[18] Fan Z Y, Mao X H, Zhu M, Hu X J, Li M Q, Huang L L, Li J, Maimaiti T, Zuo X L, Fan C H 2025 Angew. Chem. Int. Ed. 137 e202413244
Google Scholar
[19] Ge F, Xue J F, Du Y, He Y 2021 Nano Today 39 101158
Google Scholar
[20] Guix M, Mayorga-Martinez C C, Merkoçi A 2014 Chem. Rev. 114 6285
Google Scholar
[21] Li Y, Yang Y G, Qin C B, Song Y R, Han S P, Zhang G F, Chen R Y, Hu J Y, Xiao L T, Jia S T 2021 Phys. Rev. Lett. 127 073902
Google Scholar
[22] Li Y, Qin C B, Song Y R, Yan H Y, Han S P, Zhou H T, Wei A N, Zhang G F, Chen R Y, Hu J Y, Jing M Y, Xiao L T, Jia S T 2021 Opt. Express 29 22855
Google Scholar
[23] Ming T, Zhao L, Yang Z, Chen H J, Sun L D, Wang J F, Yan C H 2009 Nano Lett. 9 3896
Google Scholar
[24] Zhanghao K, Liu W H, Li M Q, Wu Z H, Wang X, Chen X Y, Shan C Y, Wang H Q, Chen X W, Dai Q H, Xi P, Jin D Y 2020 Nat. Commun. 11 5890
Google Scholar
Catalog
Metrics
- Abstract views: 794
- PDF Downloads: 20
- Cited By: 0









DownLoad: