-
Amorphous superconducting thin film materials have the advantages of high superconducting uniformity and good optical response sensitivity, which make them ideal materials for fabricating large-area and mid-infrared superconducting nanowire single-photon detectors (SNSPD). In this paper, three series of different amorphous superconducting films are deposited on Si wafers by room-temperature magnetron co-sputtering. For these films, the dependence of their physical properties, i.e. critical temperature Tc, Ginzburg-Landau coherence length ξ(0), normal-state electron diffusion coefficient De, magnetic penetration depth λ(0), and superconducting energy gap Δ(0), on film thickness is systematically investigated. Compared with amorphous tungsten silicide (WSi) and molybdenum germanide (MoGe) superconducting thin films, WGe alloys and WSi have similar superconducting properties, including critical temperature and coherence length, slightly lower normal-state electron diffusion coefficient and higher magnetic penetration depth. Compared with MoGe, both WGe and WSi alloys exhibit larger normal-state electron diffusion coefficient and higher magnetic penetration depths. By studying the superconducting properties of three different amorphous thin films, this research provides new material choices and experimental evidence for developing and optimizing the performance of large-area, high-sensitivity superconducting nanowire single-photon detectors.
-
Keywords:
- superconducting nanowire single photon detector /
- amorphous superconducting thin film materials /
- tungsten germanide /
- superconducting physical properties
[1] Chang J, Los J W N, Tenorio-Pearl J O, Noordzij N, Gourgues R, Guardiani A, Zichi J R, Pereira S F, Urbach H P, Zwiller V, Dorenbos S N, Esmaeil Zadeh I 2021 APL Photonics 6 036114
Google Scholar
[2] Korzh B, Zhao Q Y, Allmaras J P, Frasca S, Autry T M, Bersin E A, Beyer A D, Briggs R M, Bumble B, Colangelo M, Crouch G M, Dane A E, Gerrits T, Lita A E, Marsili F, Moody G, Peña C, Ramirez E, Rezac J D, Sinclair N, Stevens M J, Velasco A E, Verma V B, Wollman E E, Xie S, Zhu D, Hale P D, Spiropulu M, Silverman K L, Mirin R P, Nam S W, Kozorezov A G, Shaw M D, Berggren K K 2020 Nat. Photonics 14 250
Google Scholar
[3] Shibata H, Fukao K, Kirigane N, Karimoto S, Yamamoto H 2017 IEEE Trans. Appl. Supercond. 27 2200504
Google Scholar
[4] Zhang W J, Huang J, Zhang C J, You L X, Lv C L, Zhang L, Li H, Wang Z, Xie X M 2019 IEEE Trans. Appl. Supercond. 29 2200204
Google Scholar
[5] Chen J P, Zhang C, Liu Y, Jiang C, Zhang W J, Han Z Y, Ma S Z, Hu X L, Li Y H, Liu H, Zhou F, Jiang H F, Chen T Y, Li H, You L X, Wang Z, Wang X B, Zhang Q, Pan J W 2021 Nat. Photonics 15 570
Google Scholar
[6] Khatri F I, Robinson B S, Semprucci M D, Boroson D M 2015 Acta Astronaut. 111 77
Google Scholar
[7] Zhang B, Guan Y Q, Xia L H, Dong D X, Chen Q, Xu C, Wu C, Huang H X, Zhang L B, Kang L, Chen J, Wu P H 2021 Supercond. Sci. Technol. 34 034005
Google Scholar
[8] Taylor G G, Morozov D, Gemmell N R, Erotokritou K, Miki S, Terai H, Hadfield R H 2019 Opt. Express 27 38147
Google Scholar
[9] Gol'tsman G N, Okunev O, Chulkova G, Lipatov A, Semenov A, Smirnov K, Voronov B, Dzardanov A, Williams C, Sobolewski R 2001 Appl. Phys. Lett. 79 705
Google Scholar
[10] 张彪, 陈奇, 管焰秋, 靳飞飞, 王昊, 张蜡宝, 涂学凑, 赵清源, 贾小氢, 康琳, 陈健, 吴培亨 2021 70 198501
Google Scholar
Zhang B, Chen Q, Guan Y Q, Jin F F, Wang H, Zhang L B, Tu X C, Zhao Q Y, Jia X Q, Kang L, Chen J, Wu P H 2021 Acta Phys. Sin. 70 198501
Google Scholar
[11] Verma V B, Korzh B, Walter A B, Lita A E, Briggs R M, Colangelo M, Zhai Y, Wollman E E, Beyer A D, Allmaras J P, Vora H, Zhu D, Schmidt E, Kozorezov A G, Berggren K K, Mirin R P, Nam S W, Shaw M D 2021 APL Photonics 6 056101
Google Scholar
[12] Chen L, Schwarzer D, Lau J A, Verma V B, Stevens M J, Marsili F, Mirin R P, Nam S W, Wodtke A M 2018 Opt. Express 26 14859
Google Scholar
[13] 尤立星 2018 红外与激光工程 47 1202001
Google Scholar
You L X 2018 Infrared Laser Eng. 47 1202001
Google Scholar
[14] Miki S, Takeda M, Fujiwara M, Sasaki M, Otomo A, Wang Z 2009 Appl. Phys. Lett. 2 075002
Google Scholar
[15] Sun R, Makise K, Zhang L, Terai H, Wang Z 2016 AIP Adv. 6 065119
Google Scholar
[16] Cheng R S, Wang S H, Tang H X 2019 Appl. Phys. Lett. 115 241101
Google Scholar
[17] Tanner M G, Natarajan C M, Pottapenjara V K, O'Connor J A, Warburton R J, Hadfield R H, Baek B, Nam S, Dorenbos S N, Ureña E B, Zijlstra T, Klapwijk T M, Zwiller V 2010 Appl. Phys. Lett. 96 221109
Google Scholar
[18] Dorenbos S N, Reiger E M, Perinetti U, Zwiller V, Zijlstra T, Klapwijk T M 2008 Appl. Phys. Lett. 93 131101
Google Scholar
[19] Marsili F, Verma V B, Stern J A, Harrington S, Lita A E, Gerrits T, Vayshenker I, Baek B, Shaw M D, Mirin R P, Nam S W 2013 Nat. Photonics 7 210
Google Scholar
[20] Verma V B, Marsili F, Harrington S, Lita A E, Mirin R P, Nam S W 2012 Appl. Phys. Lett. 101 251114
Google Scholar
[21] Verma V B, Lita A E, Vissers M R, Marsili F, Pappas D P, Mirin R P, Nam S W 2014 Appl. Phys. Lett. 105 022602
Google Scholar
[22] Zhang X, Engel A, Wang Q, Schilling A, Semenov A, Sidorova M, Hübers H W, Charaev I, Ilin K, Siegel M 2016 Phys. Rev. B 94 174509
Google Scholar
[23] Häussler M, Mikhailov M Y, Wolff M A, Schuck C 2020 APL Photonics 5 076106
Google Scholar
[24] Baek B, Lita A E, Verma V, Nam S W 2011 Appl. Phys. Lett. 98 251105
Google Scholar
[25] Wollman E E, Allmaras J P, Beyer A D, Korzh B, Runyan M C, Narváez L, Farr W H, Marsili F, Briggs R M, Miles G J, Shaw M D 2024 Opt. Express 32 48185
Google Scholar
[26] Verma V B, Korzh B, Bussières F, Horansky R D, Dyer S D, Lita A E, Vayshenker I, Marsili F, Shaw M D, Zbinden H, Mirin R P, Nam S W 2015 Opt. Express 23 33792
Google Scholar
[27] Zhang X F, Ma R Y, Guo Z M, Zhang C J, Chen D, Huan Q C, Huang J, Zhang X Y, Xiao Y, Yu H Q, Liu X Y, Li H, Wang Z, Xie X M, You L X 2023 Opt. Express 31 30650
Google Scholar
[28] Ma R, Guo Z, Chen D, Dai X, Xiao Y, Zhang C, Xiong J, Huang J, Zhang X, Liu X, Rong L, Li H, Zhang X, You L 2025 Adv. Photonics Nexus 4 026003
Google Scholar
[29] Banerjee A, Baker L J, Doye A, Nord M, Heath R M, Erotokritou K, Bosworth D, Barber Z H, MacLaren I, Hadfield R H 2017 Supercond. Sci. Technol. 30 084010
Google Scholar
[30] Wollman E E, Verma V B, Beyer A D, Briggs R M, Korzh B, Allmaras J P, Marsili F, Lita A E, Mirin R P, Nam S W, Shaw M D 2017 Opt. Express 25 26792
Google Scholar
[31] Ercolano P, Zhang X, Pepe G P, You L 2025 Supercond. Sci. Technol. 38 015011
Google Scholar
[32] Yang S J, Chen Y, Sun L M, Zhou H, Li Y M, Huang J, Zheng X Q, Ma R Y, Xiong J M, Wan Z, Liu X Y, Li H, Zheng J H, Peng W, Zhang X F, You L X 2025 Appl. Phys. Lett. 126 162601
Google Scholar
[33] Zhang X F, Charaev I, Liu H L, Zhou T, Zhu D, Berggren K K, Schilling A 2021 Supercond. Sci. Technol. 34 095003
Google Scholar
[34] Johnson W L, Tsuei C C, Raider S I, Laibowitz R B 1979 J. Appl. Phys. 50 4240
Google Scholar
[35] Zhang X, Lita A E, Sidorova M, Verma V B, Wang Q, Nam S W, Semenov A, Schilling A 2018 Phys. Rev. B 97 174502
Google Scholar
[36] Skocpol W J, Tinkham M 1975 Rep. Prog. Phys. 38 1049
Google Scholar
[37] Zhang X F, Lita A E, Smirnov K, Liu H, Zhu D, Verma V B, Nam S W, Schilling A 2020 Phys. Rev. B 101 060508
Google Scholar
[38] Zhang X F, Shu R, Liu H L, Elsukova A, Persson P O A, Schilling A, Von Rohr F O, Eklund P 2022 Commun. Phys. 5 282
Google Scholar
[39] Helfand E, Werthamer N R 1966 Phys. Rev. 147 288
Google Scholar
[40] Zhang X F, Huan Q C, Ma R Y, Zhang X Y, Huang J, Liu X Y, Peng W, Li H, Wang Z, Xie X M, You L X 2024 Adv. Quantum Technol. 7 2300378
Google Scholar
[41] Meissner W, Ochsenfeld R 1933 Naturwissenschaften 21 787
Google Scholar
[42] London H, London F 1935 Proc. R. Soc. London, Ser. A 149 71
Google Scholar
[43] Tinkham M, Emery V 1996 Phys. Today 49 74
Google Scholar
[44] Bardeen J, Cooper L N, Schrieffer J R 1957 Phys. Rev. 108 1175
Google Scholar
[45] Zotova A N, Vodolazov D Y 2012 Phys. Rev. B 85 024509
Google Scholar
-
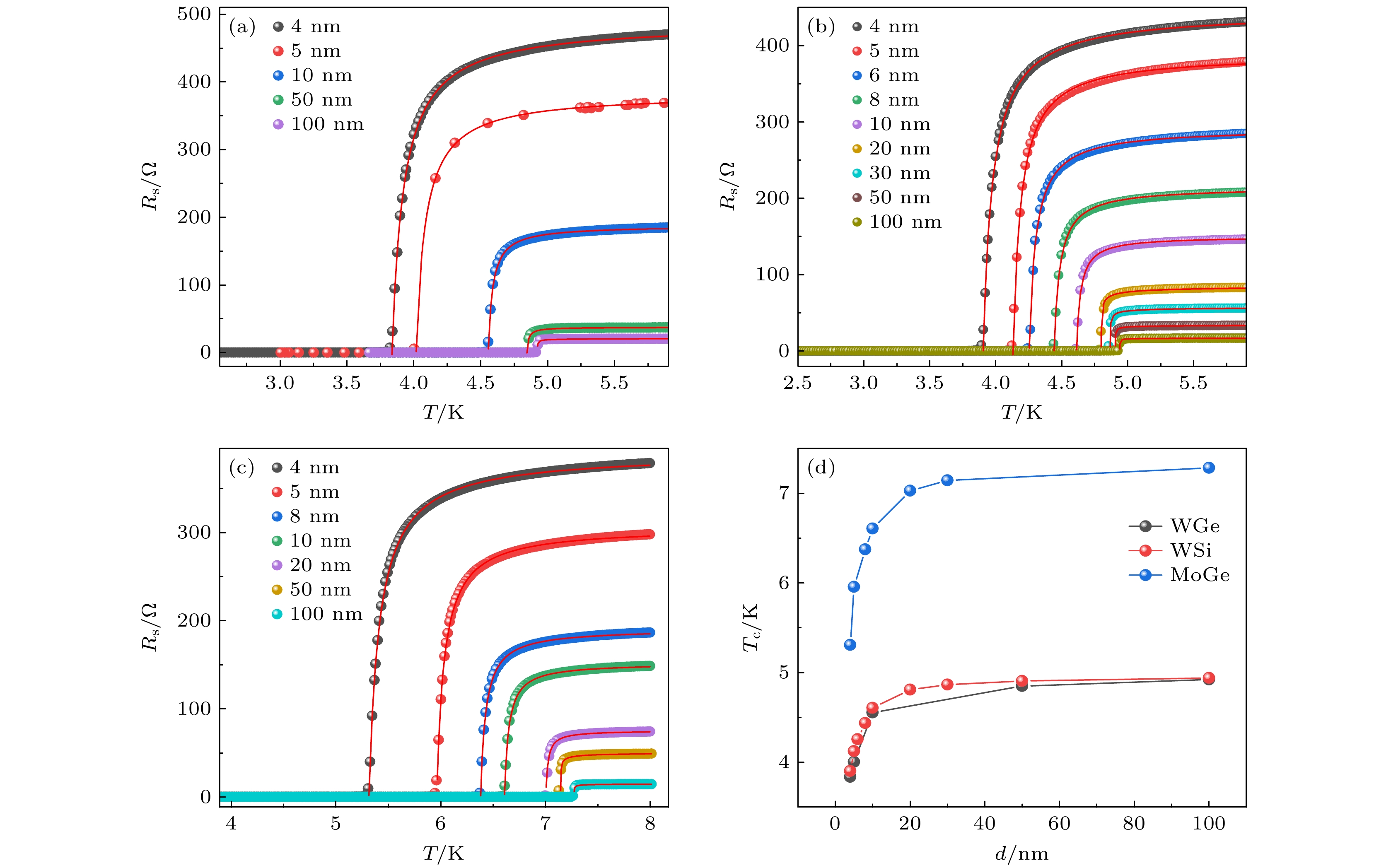
图 1 零磁场下非晶薄膜WGe (a), WSi (b), MoGe (c)超导转变的厚度依赖关系; (d) WGe, WSi和MoGe薄膜的临界温度的厚度依赖性
Figure 1. Thickness dependence of normal to superconducting transition for amorphous WGe (a), WSi (b), MoGe (c) films in absence of magnetic field; (d) the critical temperatures as functions of the film thickness for WGe, WSi and MoGe.
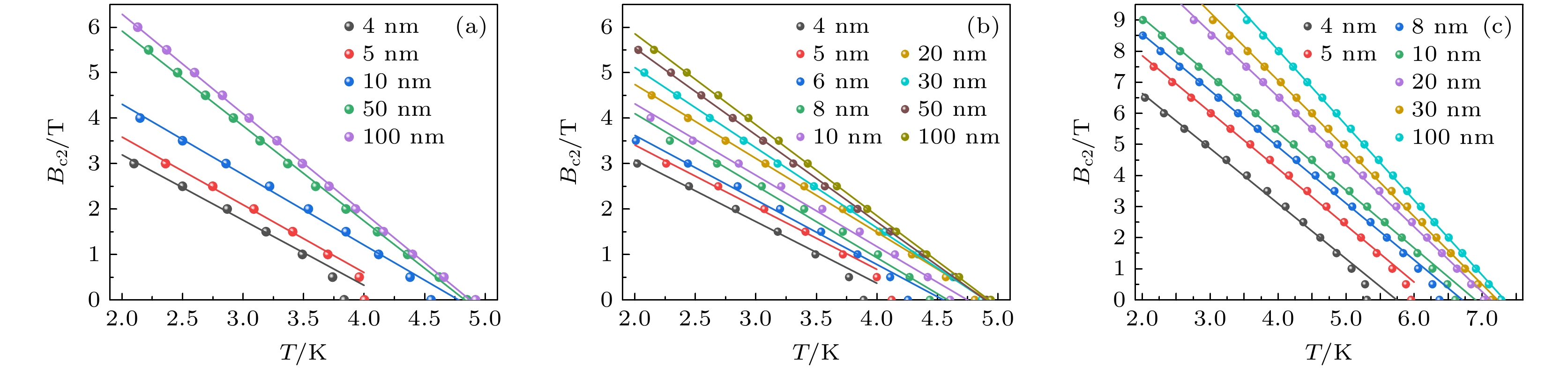
图 3 不同厚度WGe (a), WSi (b)和MoGe (c)薄膜临界磁场的温度依赖曲线(通过对温度依赖曲线的线性拟合, 提取出绝对零度上临界磁场Bc2(0))
Figure 3. Critical magnetic field of WGe (a), WSi (b), MoGe (c) films (points) of different thickness as a function of temperature. Through linear fitting of these temperature dependence, the absolute zero critical magnetic field Bc2(0) are extracted.
图 4 (a) 绝对零度下的GL相干长度ξ(0)与薄膜厚度的函数关系; (b) 正常态电子扩散系数De与薄膜厚度的函数关系; (c) 磁场穿透深度λ与薄膜厚度的函数关系
Figure 4. (a) The GL coherence length at absolute zero temperature ξ(0) as a function of film thickness; (b) thickness dependence of the diffusion constant of the electrons in the normal-conducting state; (c) the magnetic penetration depth λ(0) as a function of film thickness.
表 1 不同厚度WGe薄膜材料的超导物性参数
Table 1. Superconducting physical property parameters of the WGe film with different thicknesses.
样品 d/nm Rsn/Ω Tc/K ξ(0)/nm De/(cm2·s–1) Δ(0)/meV λ(0)/nm WGe 4 471.25 3.84 10.55 0.76 0.58 734 5 371.80 4.00 10.13 0.74 0.61 714 10 185.30 4.55 9.54 0.71 0.69 668 50 37.09 4.85 8.17 0.53 0.74 647 100 18.49 4.92 7.95 0.50 0.75 642 表 2 不同厚度WSi薄膜材料的超导物性参数
Table 2. Superconducting physical property parameters of the WSi film with different thicknesses.
样品 d/nm Rsn/Ω Tc/K ξ(0)/nm De/(cm2·s–1) Δ(0)/meV λ(0)/nm WSi 4 444.65 3.90 10.79 0.81 0.59 707 5 354.90 4.12 10.48 0.80 0.63 687 6 298.85 4.26 10.22 0.77 0.65 680 8 221.84 4.44 9.80 0.73 0.67 662 10 176.25 4.61 9.51 0.70 0.70 648 20 88.31 4.81 9.19 0.68 0.73 635 30 57.95 4.87 8.83 0.62 0.74 626 50 35.47 4.91 8.48 0.57 0.75 630 100 17.65 4.94 8.27 0.55 0.75 626 表 3 不同厚度MoGe薄膜材料的超导物性参数
Table 3. Superconducting physical property parameters of the MoGe film with different thicknesses.
样品 d/nm Rsn/Ω Tc/K ξ(0)/nm De/(cm2·s–1) Δ(0)/meV λ(0)/nm MoGe 4 378.75 5.31 8.14 0.62 0.81 560 5 298.30 5.96 7.66 0.60 0.91 524 8 186.59 6.37 7.42 0.60 0.97 507 10 148.76 6.61 7.25 0.59 1.00 497 20 74.15 7.03 6.73 0.53 1.07 481 30 49.12 7.14 6.54 0.50 1.09 476 100 14.52 7.28 6.18 0.46 1.11 468 -
[1] Chang J, Los J W N, Tenorio-Pearl J O, Noordzij N, Gourgues R, Guardiani A, Zichi J R, Pereira S F, Urbach H P, Zwiller V, Dorenbos S N, Esmaeil Zadeh I 2021 APL Photonics 6 036114
Google Scholar
[2] Korzh B, Zhao Q Y, Allmaras J P, Frasca S, Autry T M, Bersin E A, Beyer A D, Briggs R M, Bumble B, Colangelo M, Crouch G M, Dane A E, Gerrits T, Lita A E, Marsili F, Moody G, Peña C, Ramirez E, Rezac J D, Sinclair N, Stevens M J, Velasco A E, Verma V B, Wollman E E, Xie S, Zhu D, Hale P D, Spiropulu M, Silverman K L, Mirin R P, Nam S W, Kozorezov A G, Shaw M D, Berggren K K 2020 Nat. Photonics 14 250
Google Scholar
[3] Shibata H, Fukao K, Kirigane N, Karimoto S, Yamamoto H 2017 IEEE Trans. Appl. Supercond. 27 2200504
Google Scholar
[4] Zhang W J, Huang J, Zhang C J, You L X, Lv C L, Zhang L, Li H, Wang Z, Xie X M 2019 IEEE Trans. Appl. Supercond. 29 2200204
Google Scholar
[5] Chen J P, Zhang C, Liu Y, Jiang C, Zhang W J, Han Z Y, Ma S Z, Hu X L, Li Y H, Liu H, Zhou F, Jiang H F, Chen T Y, Li H, You L X, Wang Z, Wang X B, Zhang Q, Pan J W 2021 Nat. Photonics 15 570
Google Scholar
[6] Khatri F I, Robinson B S, Semprucci M D, Boroson D M 2015 Acta Astronaut. 111 77
Google Scholar
[7] Zhang B, Guan Y Q, Xia L H, Dong D X, Chen Q, Xu C, Wu C, Huang H X, Zhang L B, Kang L, Chen J, Wu P H 2021 Supercond. Sci. Technol. 34 034005
Google Scholar
[8] Taylor G G, Morozov D, Gemmell N R, Erotokritou K, Miki S, Terai H, Hadfield R H 2019 Opt. Express 27 38147
Google Scholar
[9] Gol'tsman G N, Okunev O, Chulkova G, Lipatov A, Semenov A, Smirnov K, Voronov B, Dzardanov A, Williams C, Sobolewski R 2001 Appl. Phys. Lett. 79 705
Google Scholar
[10] 张彪, 陈奇, 管焰秋, 靳飞飞, 王昊, 张蜡宝, 涂学凑, 赵清源, 贾小氢, 康琳, 陈健, 吴培亨 2021 70 198501
Google Scholar
Zhang B, Chen Q, Guan Y Q, Jin F F, Wang H, Zhang L B, Tu X C, Zhao Q Y, Jia X Q, Kang L, Chen J, Wu P H 2021 Acta Phys. Sin. 70 198501
Google Scholar
[11] Verma V B, Korzh B, Walter A B, Lita A E, Briggs R M, Colangelo M, Zhai Y, Wollman E E, Beyer A D, Allmaras J P, Vora H, Zhu D, Schmidt E, Kozorezov A G, Berggren K K, Mirin R P, Nam S W, Shaw M D 2021 APL Photonics 6 056101
Google Scholar
[12] Chen L, Schwarzer D, Lau J A, Verma V B, Stevens M J, Marsili F, Mirin R P, Nam S W, Wodtke A M 2018 Opt. Express 26 14859
Google Scholar
[13] 尤立星 2018 红外与激光工程 47 1202001
Google Scholar
You L X 2018 Infrared Laser Eng. 47 1202001
Google Scholar
[14] Miki S, Takeda M, Fujiwara M, Sasaki M, Otomo A, Wang Z 2009 Appl. Phys. Lett. 2 075002
Google Scholar
[15] Sun R, Makise K, Zhang L, Terai H, Wang Z 2016 AIP Adv. 6 065119
Google Scholar
[16] Cheng R S, Wang S H, Tang H X 2019 Appl. Phys. Lett. 115 241101
Google Scholar
[17] Tanner M G, Natarajan C M, Pottapenjara V K, O'Connor J A, Warburton R J, Hadfield R H, Baek B, Nam S, Dorenbos S N, Ureña E B, Zijlstra T, Klapwijk T M, Zwiller V 2010 Appl. Phys. Lett. 96 221109
Google Scholar
[18] Dorenbos S N, Reiger E M, Perinetti U, Zwiller V, Zijlstra T, Klapwijk T M 2008 Appl. Phys. Lett. 93 131101
Google Scholar
[19] Marsili F, Verma V B, Stern J A, Harrington S, Lita A E, Gerrits T, Vayshenker I, Baek B, Shaw M D, Mirin R P, Nam S W 2013 Nat. Photonics 7 210
Google Scholar
[20] Verma V B, Marsili F, Harrington S, Lita A E, Mirin R P, Nam S W 2012 Appl. Phys. Lett. 101 251114
Google Scholar
[21] Verma V B, Lita A E, Vissers M R, Marsili F, Pappas D P, Mirin R P, Nam S W 2014 Appl. Phys. Lett. 105 022602
Google Scholar
[22] Zhang X, Engel A, Wang Q, Schilling A, Semenov A, Sidorova M, Hübers H W, Charaev I, Ilin K, Siegel M 2016 Phys. Rev. B 94 174509
Google Scholar
[23] Häussler M, Mikhailov M Y, Wolff M A, Schuck C 2020 APL Photonics 5 076106
Google Scholar
[24] Baek B, Lita A E, Verma V, Nam S W 2011 Appl. Phys. Lett. 98 251105
Google Scholar
[25] Wollman E E, Allmaras J P, Beyer A D, Korzh B, Runyan M C, Narváez L, Farr W H, Marsili F, Briggs R M, Miles G J, Shaw M D 2024 Opt. Express 32 48185
Google Scholar
[26] Verma V B, Korzh B, Bussières F, Horansky R D, Dyer S D, Lita A E, Vayshenker I, Marsili F, Shaw M D, Zbinden H, Mirin R P, Nam S W 2015 Opt. Express 23 33792
Google Scholar
[27] Zhang X F, Ma R Y, Guo Z M, Zhang C J, Chen D, Huan Q C, Huang J, Zhang X Y, Xiao Y, Yu H Q, Liu X Y, Li H, Wang Z, Xie X M, You L X 2023 Opt. Express 31 30650
Google Scholar
[28] Ma R, Guo Z, Chen D, Dai X, Xiao Y, Zhang C, Xiong J, Huang J, Zhang X, Liu X, Rong L, Li H, Zhang X, You L 2025 Adv. Photonics Nexus 4 026003
Google Scholar
[29] Banerjee A, Baker L J, Doye A, Nord M, Heath R M, Erotokritou K, Bosworth D, Barber Z H, MacLaren I, Hadfield R H 2017 Supercond. Sci. Technol. 30 084010
Google Scholar
[30] Wollman E E, Verma V B, Beyer A D, Briggs R M, Korzh B, Allmaras J P, Marsili F, Lita A E, Mirin R P, Nam S W, Shaw M D 2017 Opt. Express 25 26792
Google Scholar
[31] Ercolano P, Zhang X, Pepe G P, You L 2025 Supercond. Sci. Technol. 38 015011
Google Scholar
[32] Yang S J, Chen Y, Sun L M, Zhou H, Li Y M, Huang J, Zheng X Q, Ma R Y, Xiong J M, Wan Z, Liu X Y, Li H, Zheng J H, Peng W, Zhang X F, You L X 2025 Appl. Phys. Lett. 126 162601
Google Scholar
[33] Zhang X F, Charaev I, Liu H L, Zhou T, Zhu D, Berggren K K, Schilling A 2021 Supercond. Sci. Technol. 34 095003
Google Scholar
[34] Johnson W L, Tsuei C C, Raider S I, Laibowitz R B 1979 J. Appl. Phys. 50 4240
Google Scholar
[35] Zhang X, Lita A E, Sidorova M, Verma V B, Wang Q, Nam S W, Semenov A, Schilling A 2018 Phys. Rev. B 97 174502
Google Scholar
[36] Skocpol W J, Tinkham M 1975 Rep. Prog. Phys. 38 1049
Google Scholar
[37] Zhang X F, Lita A E, Smirnov K, Liu H, Zhu D, Verma V B, Nam S W, Schilling A 2020 Phys. Rev. B 101 060508
Google Scholar
[38] Zhang X F, Shu R, Liu H L, Elsukova A, Persson P O A, Schilling A, Von Rohr F O, Eklund P 2022 Commun. Phys. 5 282
Google Scholar
[39] Helfand E, Werthamer N R 1966 Phys. Rev. 147 288
Google Scholar
[40] Zhang X F, Huan Q C, Ma R Y, Zhang X Y, Huang J, Liu X Y, Peng W, Li H, Wang Z, Xie X M, You L X 2024 Adv. Quantum Technol. 7 2300378
Google Scholar
[41] Meissner W, Ochsenfeld R 1933 Naturwissenschaften 21 787
Google Scholar
[42] London H, London F 1935 Proc. R. Soc. London, Ser. A 149 71
Google Scholar
[43] Tinkham M, Emery V 1996 Phys. Today 49 74
Google Scholar
[44] Bardeen J, Cooper L N, Schrieffer J R 1957 Phys. Rev. 108 1175
Google Scholar
[45] Zotova A N, Vodolazov D Y 2012 Phys. Rev. B 85 024509
Google Scholar
Catalog
Metrics
- Abstract views: 2206
- PDF Downloads: 58
- Cited By: 0









DownLoad: