-
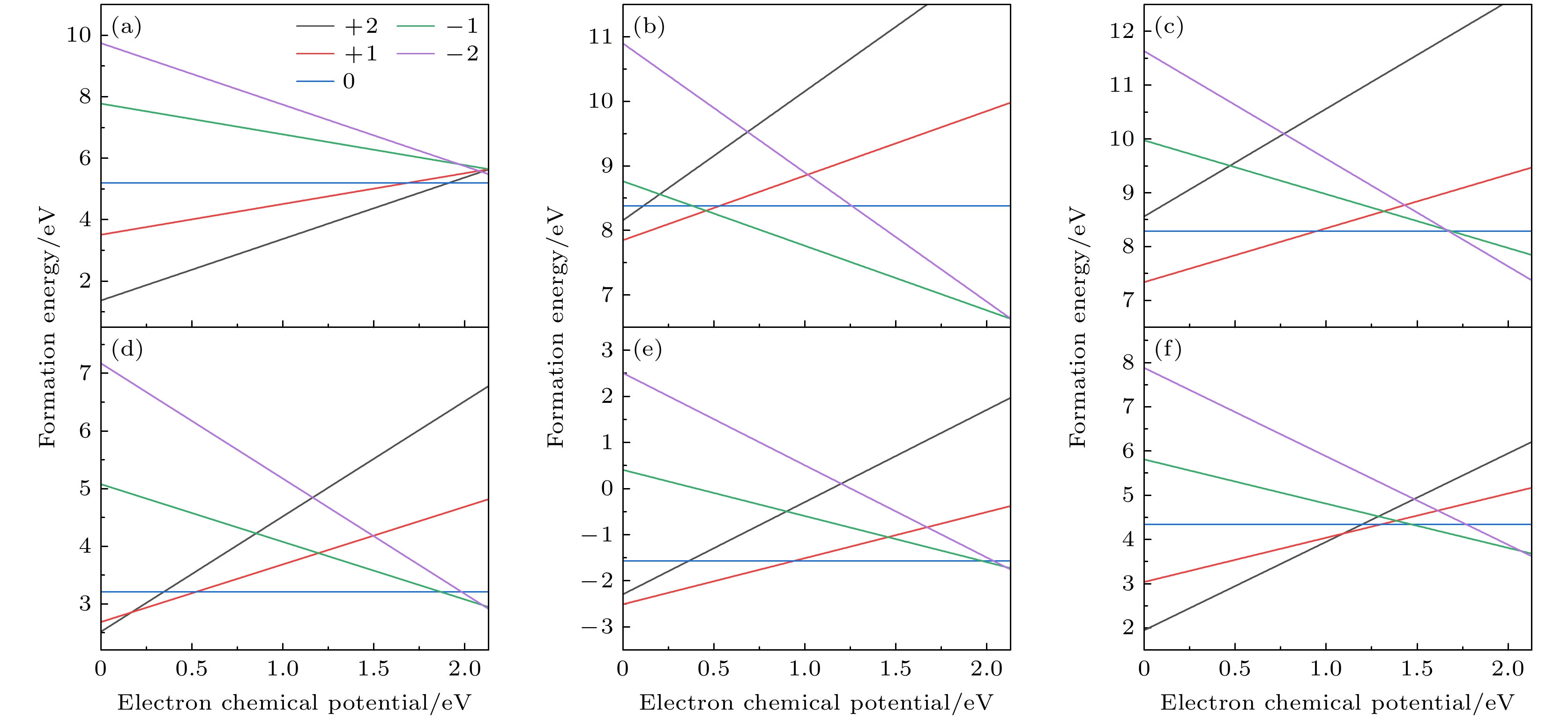
Based on density functional theory (DFT), the formation energies of intrinsic vacancy defects (VC, VSi, and VSi+C) and oxygen-related defects (OC, OSi, OCVSi, and OSiVC) in 3C-SiC are calculated. The results indicate that all defects considered, except for OC, possess neutral or negative charge states, thereby making them suitable for detection by positron annihilation spectroscopy (PAS). Furthermore, the electron and positron density distributions and positron annihilation lifetimes for the perfect 3C-SiC supercell and various defective configurations are computed. It is found that the OSi and OSiVC complexes act as effective positron trapping centers, leading to the formation of positron trapped states and a notable increase in annihilation lifetimes at the corresponding defect sites. In addition, coincidence Doppler broadening (CDB) spectra, along with the S and W parameters, are calculated for both intrinsic and oxygen-doped point defects (OC, OSi, OCVSi, and OSiVC). The analysis reveals that electron screening effects dominate the annihilation characteristics of the OSi defect, whereas positron localization induced by the vacancy is the predominant contributor in the case of OSiVC. This distinction results in clearly different momentum distributions of these two oxygen-related defects for different charge states. Overall, the PAS is demonstrated to be a powerful technique for distinguishing intrinsic vacancy-type defects and oxygen-doped composites in 3C-SiC. Combining the analysis of electron and positron density distributions, the electron localization and positron trapping behavior in defect systems with different charge states can be comprehensively understood. These first-principles results provide a solid theoretical foundation for identifying and characterizing the defects in oxygen-doped 3C-SiC by using positron annihilation spectroscopy.
-
Keywords:
- 3C-SiC /
- positron annihilation lifetime /
- Doppler broadening spectra /
- point defect
[1] Petti D A, Buongiorno J, Maki J T, Hobbins R R, Miller G K 2003 Nucl. Eng. Des. 222 281
Google Scholar
[2] Franceschini F, Ruddy F H 2011 Silicon Carbide Neutron Detectors (Rijeka: InTech) pp275–296
[3] Jiang W L, Jiao L, Wang H Y 2011 J. Am. Ceram. Soc. 94 4127
Google Scholar
[4] Fan X J, Ye R Q, Peng Z W, Wang J J, Fan A L, Guo X 2016 Nanotechnology 27 255604
Google Scholar
[5] 张雨萌, 朱丽慧, 班志刚, 刘一雄 2012 硬质合金 29 66
Google Scholar
Zhang Y M, Zhu L H, Ban Z G, Liu Y X 2012 Hard Alloy 29 66
Google Scholar
[6] 王堋人, 苟燕子, 王浩 2020 无机材料学报 35 525
Google Scholar
Wang P R, Gou Y Z, Wang H 2020 J. Inorg. Mater. 35 525
Google Scholar
[7] Ishikawa T, Kohtoku Y, Kumagawa K, Yamamura T, Nagasawa T 1998 Nature 391 773
Google Scholar
[8] Ishikawa T 2005 Polymeric and Inorganic Fibers (Berlin, Heidelberg: Springer) (Vol. 178) p109
[9] Rosso E F, Baierle R J 2013 Chem. Phys. Lett. 568 140
Google Scholar
[10] Gali A, Heringer D, Deák P, Hajnal Z, Frauenheim T, Devaty R P, Choyke W J 2002 Phys. Rev. B 66 125208
Google Scholar
[11] West R N 1973 Adv. Phys. 22 263
Google Scholar
[12] Puska M J, Nieminen R M 1994 Rev. Mod. Phys. 66 841
Google Scholar
[13] 张丽娟, 王力海, 刘建党, 李强, 成斌, 张杰, 安然, 赵明磊, 叶邦角 2012 61 237805
Google Scholar
Zhang L J, Wang L H, Liu J D, Li Q, Cheng B, Zhang J, An R, Zhao M L, Ye B J 2012 Acta Phys. Sin. 61 237805
Google Scholar
[14] 张宏俊, 王栋, 陈志权, 王少阶, 徐友明, 罗锡辉 2008 57 7333
Google Scholar
Zhang H J, Wang D, Chen Z Q, Wang S J, Xu Y M, Luo X H 2008 Acta Phys. Sin. 57 7333
Google Scholar
[15] 张丽娟, 张传超, 廖威, 刘建党, 谷冰川, 袁晓东, 叶邦角 2015 64 097802
Google Scholar
Zhang L J, Zhang C C, Liao W, Liu J D, Gu B C, Yuan X D, Ye B J 2015 Acta Phys. Sin. 64 097802
Google Scholar
[16] 郝颖萍, 陈祥磊, 成斌, 孔伟, 许红霞, 杜淮江, 叶邦角 2010 59 2789
Google Scholar
Hao Y P, Chen X L, Cheng B, Kong W, Xu H X, Du H J, Ye B J 2010 Acta Phys. Sin. 59 2789
Google Scholar
[17] 黄世娟, 张文帅, 刘建党, 张杰, 李骏, 叶邦角 2014 63 217804
Google Scholar
Huang S J, Zhang W S, Liu J D, Zhang J, Li J, Ye B J 2014 Acta Phys. Sin. 63 217804
Google Scholar
[18] 许红霞, 郝颖萍, 韩荣典, 翁惠民, 杜淮江, 叶邦角 2011 60 067803
Google Scholar
Xu H X, Hao Y P, Han R D, Weng H M, Du H J, Ye B J 2011 Acta Phys. Sin. 60 067803
Google Scholar
[19] 刘建党 2010 博士学位论文(合肥: 中国科学技术大学)
Liu J D 2010 Ph. D. Dissertation (Hefei: University of Science and Technology of China
[20] Lam C H, Lam T W, Ling C C, Fung S, Beling C D, Hang D S, Weng H M 2004 J. Phys.: Condens. Mat. 16 8409
Google Scholar
[21] Staab T E M, Puska M J, Nieminen R M, Torpo L M 2001 Materials Science Forum (Zurich: Trans Tech Publications Ltd) p533
[22] Tuomisto F, Makkonen I 2013 Rev. Mod. Phys. 85 1583
Google Scholar
[23] Brauer G, Anwand W, Coleman P G, Knights A P, Plazaola F, Pacaud Y, Skorupa W, Störmer J, Willutzki P 1996 Phys. Rev. B 54 3084
Google Scholar
[24] Brauer G, Anwand W, Nicht E M, Kuriplach J, Šob M, Wagner N, Coleman P G, Puska M J, Korhonen T 1996 Phys. Rev. B 54 2512
Google Scholar
[25] Kawasuso A, Yoshikawa M, Itoh H, Krause-Rehberg R, Redmann F, Higuchi T, Betsuyaku K 2006 Physica B 376 350
Google Scholar
[26] Hu X, Koyanagi T, Katoh Y, Wirth B D 2017 Phys. Rev. B 95 104103
Google Scholar
[27] Kresse G, Hafner J 1993 Phys. Rev. B 47 558
Google Scholar
[28] Kresse G, Furthmüller J 1996 Phys. Rev. B 54 11169
Google Scholar
[29] Kresse G, Furthmüller J 1996 Comput. Mater. Sci. 6 15
Google Scholar
[30] Perdew J P, Wang Y 1992 Phys. Rev. B 45 13244
Google Scholar
[31] Perdew J P, Kurth S, Zupan A, Blaha P 1999 Phys. Rev. Lett. 82 2544
Google Scholar
[32] Verma P, Truhlar D G 2017 J. Phys. Chem. C 121 7144
Google Scholar
[33] Hohenberg P, Kohn W 1964 Phys. Rev. 136 B864
Google Scholar
[34] Kohn W, Sham L J 1965 Phys. Rev. 140 A1133
Google Scholar
[35] Blöchl P E 1994 Phys. Rev. B 50 17953
Google Scholar
[36] Rauch T, Munoz F, Marques M A L, Botti S 2021 Phys. Rev. B 104 064105
Google Scholar
[37] Zhang H T, Yan L, Tang X, Cheng G D 2024 Phys. Lett. A 525 129888
Google Scholar
[38] Levinshtein M E, Rumyantsev S L, Shur M S 2001 Properties of Advanced Semiconductor Materials: GaN, AlN, InN, BN, SiC, SiGe (Hoboken: John Wiley & Sons) pp96–104
[39] Nieminen R M, Boronski E, Lantto L J 1985 Phys. Rev. B 32 1377
Google Scholar
[40] Boroński E, Nieminen R M 1986 Phys. Rev. B 34 3820
Google Scholar
[41] Arponen J, Pajanne E 1979 Ann. Phys. 121 343
Google Scholar
[42] Barbiellini B, Puska M J, Torsti T, Nieminen R M 1995 Phys. Rev. B 51 7341
Google Scholar
[43] Kuriplach J, Barbiellini B 2014 J. Phys.: Conf. Ser. 505 012040
Google Scholar
[44] Boroński E 2010 Nukleonika 55 9
[45] Asoka-Kumar P, Alatalo M, Ghosh V J, Kruseman A C, Nielsen B, Lynn K G 1996 Phys. Rev. Lett. 77 2097
Google Scholar
[46] Alatalo M, Asoka-Kumar P, Ghosh V J, Nielsen B, Lynn K G, Kruseman A C, Van Veen A, Korhonen T, Puska M J 1998 J. Phys. Chem. Solids 59 55
Google Scholar
[47] Szpala S, Asoka-Kumar P, Nielsen B, Peng J P, Hayakawa S, Lynn K G, Gossmann H J 1996 Phys. Rev. B 54 4722
Google Scholar
[48] Kawasuso A, Maekawa M, Betsuyaku K 2010 J. Phys. Conf. Ser. 225 012027
Google Scholar
[49] 孔伟, 郗传英, 叶邦角, 翁惠民, 周先意, 韩荣典 2004 高能物理与核物理 28 1234
Google Scholar
Kong W, Xi C Y, Ye B J, Weng H M, Zhou X Y, Han R D 2004 High Energy Phys. Nucl. 28 1234
Google Scholar
[50] 刘雄国, 邓力, 胡泽华, 李瑞, 付元光, 李刚, 王佳 2016 65 092501
Google Scholar
Liu X G, Deng L, Hu Z H, Li R, Fu Y G, Li G, Wang J 2016 Acta Phys. Sin. 65 092501
Google Scholar
[51] Alatalo M, Barbiellini B, Hakala M, Kauppinen H, Korhonen T, Puska M J, Saarinen K, Hautojärvi P, Nieminen R M 1996 Phys. Rev. B 54 2397
Google Scholar
[52] Makkonen I, Hakala M, Puska M J 2006 Phys. Rev. B 73 035103
Google Scholar
[53] Tang Z, Toyama T, Nagai Y, Inoue K, Zhu Z Q, Hasegawa M 2008 J. Phys.: Condens. Matter 20 445203
Google Scholar
[54] Wiktor J, Jomard G, Torrent M, Bertolus M 2013 Phys. Rev. B 87 235207
Google Scholar
[55] Kawasuso A, Itoh H, Morishita N, Yoshikawa M, Ohshima T, Nashiyama I, Okada S, Okumura H, Yoshida S 1998 Appl. Phys. A 67 209
Google Scholar
[56] Panda B K, Brauer G, Skorupa W, Kuriplach J 2000 Phys. Rev. B 61 15848
Google Scholar
[57] Kawasuso A, Maekawa M, Fukaya Y, Yabuuchi A, Mochizuki I 2011 Phys. Rev. B 83 100406
Google Scholar
-
表 1 四种方案计算的正电子湮没寿命(单位: ps)
Table 1. Calculated positron annihilation lifetimes (ps) for the four schemes.
类型 BNLDA APGGA PHNCGGA QMCGGA 文献 体相 150 150 147 153 145[56] ${\text{V}}_{\text{C}}^{0}$ 151 150 147 152 150[23] ${\text{V}}_{{\text{Si}}}^{0}$ 241 238 233 242 227[54] ${\text{V}}_{{\text{Si}}}^{1 - }$ 237 233 229 238 225[54] ${\text{V}}_{{\text{Si}}}^{2 - }$ 236 232 228 237 222[54] ${\text{V}}_{{\text{Si} + {\text{C}}}}^{0}$ 250 249 243 251 ${\text{V}}_{{\text{Si} + {\text{C}}}}^{1 - }$ 243 242 236 245 ${\text{V}}_{{\text{Si} + {\text{C}}}}^{2 - }$ 239 244 235 242 ${\text{O}}_{{\text{Si}}}^{0}$ 164 170 164 169 ${\text{O}}_{{\text{Si}}}^{1 - }$ 167 187 175 176 ${\text{O}}_{{\text{Si}}}^{2 - }$ 167 187 174 175 ${{\text{O}}_{\text{C}}}{\text{V}}_{{\text{Si}}}^{0}$ 239 242 234 242 ${{\text{O}}_{\text{C}}}{\text{V}}_{{\text{Si}}}^{1 - }$ 237 242 234 240 ${{\text{O}}_{\text{C}}}{\text{V}}_{{\text{Si}}}^{2 - }$ 234 240 231 238 ${{\text{O}}_{{\text{Si}}}}{\text{V}}_{\text{C}}^{0}$ 181 186 180 186 ${{\text{O}}_{{\text{Si}}}}{\text{V}}_{\text{C}}^{1 - }$ 183 202 190 192 ${{\text{O}}_{{\text{Si}}}}{\text{V}}_{\text{C}}^{2 - }$ 183 202 190 191 表 2 3C-SiC中缺陷态与无缺陷态的相对Srel和 Wrel参数
Table 2. Relative Srel and Wrel parameters of intrinsic defects and oxygen-doped defects in 3C-SiC.
Defect type Srel Wrel VC 1.020 0.948 VSi 1.063 0.872 VSi+C 1.082 0.790 OC 1.000 0.999 OSi 0.997 1.009 OCVSi 1.025 1.002 OSiVC 0.988 1.228 表 3 针对OSi和OSiVC的各种电荷态与无缺陷态的相对Srel和Wrel参数
Table 3. Relative Srel and Wrel parameters calculated for various charge states of OSi and OSiVC.
Defect type Srel Wrel ${\text{O}}_{{\text{Si}}}^{0}$ 0.997 1.009 ${\text{O}}_{{\text{Si}}}^{1 - }$ 0.984 1.087 ${\text{O}}_{{\text{Si}}}^{2 - }$ 0.983 1.092 ${{\text{O}}_{{\text{Si}}}}{\text{V}}_{\text{C}}^{0}$ 0.988 1.228 ${{\text{O}}_{{\text{Si}}}}{\text{V}}_{\text{C}}^{1 - }$ 0.990 1.210 ${{\text{O}}_{{\text{Si}}}}{\text{V}}_{\text{C}}^{2 - }$ 0.990 1.209 -
[1] Petti D A, Buongiorno J, Maki J T, Hobbins R R, Miller G K 2003 Nucl. Eng. Des. 222 281
Google Scholar
[2] Franceschini F, Ruddy F H 2011 Silicon Carbide Neutron Detectors (Rijeka: InTech) pp275–296
[3] Jiang W L, Jiao L, Wang H Y 2011 J. Am. Ceram. Soc. 94 4127
Google Scholar
[4] Fan X J, Ye R Q, Peng Z W, Wang J J, Fan A L, Guo X 2016 Nanotechnology 27 255604
Google Scholar
[5] 张雨萌, 朱丽慧, 班志刚, 刘一雄 2012 硬质合金 29 66
Google Scholar
Zhang Y M, Zhu L H, Ban Z G, Liu Y X 2012 Hard Alloy 29 66
Google Scholar
[6] 王堋人, 苟燕子, 王浩 2020 无机材料学报 35 525
Google Scholar
Wang P R, Gou Y Z, Wang H 2020 J. Inorg. Mater. 35 525
Google Scholar
[7] Ishikawa T, Kohtoku Y, Kumagawa K, Yamamura T, Nagasawa T 1998 Nature 391 773
Google Scholar
[8] Ishikawa T 2005 Polymeric and Inorganic Fibers (Berlin, Heidelberg: Springer) (Vol. 178) p109
[9] Rosso E F, Baierle R J 2013 Chem. Phys. Lett. 568 140
Google Scholar
[10] Gali A, Heringer D, Deák P, Hajnal Z, Frauenheim T, Devaty R P, Choyke W J 2002 Phys. Rev. B 66 125208
Google Scholar
[11] West R N 1973 Adv. Phys. 22 263
Google Scholar
[12] Puska M J, Nieminen R M 1994 Rev. Mod. Phys. 66 841
Google Scholar
[13] 张丽娟, 王力海, 刘建党, 李强, 成斌, 张杰, 安然, 赵明磊, 叶邦角 2012 61 237805
Google Scholar
Zhang L J, Wang L H, Liu J D, Li Q, Cheng B, Zhang J, An R, Zhao M L, Ye B J 2012 Acta Phys. Sin. 61 237805
Google Scholar
[14] 张宏俊, 王栋, 陈志权, 王少阶, 徐友明, 罗锡辉 2008 57 7333
Google Scholar
Zhang H J, Wang D, Chen Z Q, Wang S J, Xu Y M, Luo X H 2008 Acta Phys. Sin. 57 7333
Google Scholar
[15] 张丽娟, 张传超, 廖威, 刘建党, 谷冰川, 袁晓东, 叶邦角 2015 64 097802
Google Scholar
Zhang L J, Zhang C C, Liao W, Liu J D, Gu B C, Yuan X D, Ye B J 2015 Acta Phys. Sin. 64 097802
Google Scholar
[16] 郝颖萍, 陈祥磊, 成斌, 孔伟, 许红霞, 杜淮江, 叶邦角 2010 59 2789
Google Scholar
Hao Y P, Chen X L, Cheng B, Kong W, Xu H X, Du H J, Ye B J 2010 Acta Phys. Sin. 59 2789
Google Scholar
[17] 黄世娟, 张文帅, 刘建党, 张杰, 李骏, 叶邦角 2014 63 217804
Google Scholar
Huang S J, Zhang W S, Liu J D, Zhang J, Li J, Ye B J 2014 Acta Phys. Sin. 63 217804
Google Scholar
[18] 许红霞, 郝颖萍, 韩荣典, 翁惠民, 杜淮江, 叶邦角 2011 60 067803
Google Scholar
Xu H X, Hao Y P, Han R D, Weng H M, Du H J, Ye B J 2011 Acta Phys. Sin. 60 067803
Google Scholar
[19] 刘建党 2010 博士学位论文(合肥: 中国科学技术大学)
Liu J D 2010 Ph. D. Dissertation (Hefei: University of Science and Technology of China
[20] Lam C H, Lam T W, Ling C C, Fung S, Beling C D, Hang D S, Weng H M 2004 J. Phys.: Condens. Mat. 16 8409
Google Scholar
[21] Staab T E M, Puska M J, Nieminen R M, Torpo L M 2001 Materials Science Forum (Zurich: Trans Tech Publications Ltd) p533
[22] Tuomisto F, Makkonen I 2013 Rev. Mod. Phys. 85 1583
Google Scholar
[23] Brauer G, Anwand W, Coleman P G, Knights A P, Plazaola F, Pacaud Y, Skorupa W, Störmer J, Willutzki P 1996 Phys. Rev. B 54 3084
Google Scholar
[24] Brauer G, Anwand W, Nicht E M, Kuriplach J, Šob M, Wagner N, Coleman P G, Puska M J, Korhonen T 1996 Phys. Rev. B 54 2512
Google Scholar
[25] Kawasuso A, Yoshikawa M, Itoh H, Krause-Rehberg R, Redmann F, Higuchi T, Betsuyaku K 2006 Physica B 376 350
Google Scholar
[26] Hu X, Koyanagi T, Katoh Y, Wirth B D 2017 Phys. Rev. B 95 104103
Google Scholar
[27] Kresse G, Hafner J 1993 Phys. Rev. B 47 558
Google Scholar
[28] Kresse G, Furthmüller J 1996 Phys. Rev. B 54 11169
Google Scholar
[29] Kresse G, Furthmüller J 1996 Comput. Mater. Sci. 6 15
Google Scholar
[30] Perdew J P, Wang Y 1992 Phys. Rev. B 45 13244
Google Scholar
[31] Perdew J P, Kurth S, Zupan A, Blaha P 1999 Phys. Rev. Lett. 82 2544
Google Scholar
[32] Verma P, Truhlar D G 2017 J. Phys. Chem. C 121 7144
Google Scholar
[33] Hohenberg P, Kohn W 1964 Phys. Rev. 136 B864
Google Scholar
[34] Kohn W, Sham L J 1965 Phys. Rev. 140 A1133
Google Scholar
[35] Blöchl P E 1994 Phys. Rev. B 50 17953
Google Scholar
[36] Rauch T, Munoz F, Marques M A L, Botti S 2021 Phys. Rev. B 104 064105
Google Scholar
[37] Zhang H T, Yan L, Tang X, Cheng G D 2024 Phys. Lett. A 525 129888
Google Scholar
[38] Levinshtein M E, Rumyantsev S L, Shur M S 2001 Properties of Advanced Semiconductor Materials: GaN, AlN, InN, BN, SiC, SiGe (Hoboken: John Wiley & Sons) pp96–104
[39] Nieminen R M, Boronski E, Lantto L J 1985 Phys. Rev. B 32 1377
Google Scholar
[40] Boroński E, Nieminen R M 1986 Phys. Rev. B 34 3820
Google Scholar
[41] Arponen J, Pajanne E 1979 Ann. Phys. 121 343
Google Scholar
[42] Barbiellini B, Puska M J, Torsti T, Nieminen R M 1995 Phys. Rev. B 51 7341
Google Scholar
[43] Kuriplach J, Barbiellini B 2014 J. Phys.: Conf. Ser. 505 012040
Google Scholar
[44] Boroński E 2010 Nukleonika 55 9
[45] Asoka-Kumar P, Alatalo M, Ghosh V J, Kruseman A C, Nielsen B, Lynn K G 1996 Phys. Rev. Lett. 77 2097
Google Scholar
[46] Alatalo M, Asoka-Kumar P, Ghosh V J, Nielsen B, Lynn K G, Kruseman A C, Van Veen A, Korhonen T, Puska M J 1998 J. Phys. Chem. Solids 59 55
Google Scholar
[47] Szpala S, Asoka-Kumar P, Nielsen B, Peng J P, Hayakawa S, Lynn K G, Gossmann H J 1996 Phys. Rev. B 54 4722
Google Scholar
[48] Kawasuso A, Maekawa M, Betsuyaku K 2010 J. Phys. Conf. Ser. 225 012027
Google Scholar
[49] 孔伟, 郗传英, 叶邦角, 翁惠民, 周先意, 韩荣典 2004 高能物理与核物理 28 1234
Google Scholar
Kong W, Xi C Y, Ye B J, Weng H M, Zhou X Y, Han R D 2004 High Energy Phys. Nucl. 28 1234
Google Scholar
[50] 刘雄国, 邓力, 胡泽华, 李瑞, 付元光, 李刚, 王佳 2016 65 092501
Google Scholar
Liu X G, Deng L, Hu Z H, Li R, Fu Y G, Li G, Wang J 2016 Acta Phys. Sin. 65 092501
Google Scholar
[51] Alatalo M, Barbiellini B, Hakala M, Kauppinen H, Korhonen T, Puska M J, Saarinen K, Hautojärvi P, Nieminen R M 1996 Phys. Rev. B 54 2397
Google Scholar
[52] Makkonen I, Hakala M, Puska M J 2006 Phys. Rev. B 73 035103
Google Scholar
[53] Tang Z, Toyama T, Nagai Y, Inoue K, Zhu Z Q, Hasegawa M 2008 J. Phys.: Condens. Matter 20 445203
Google Scholar
[54] Wiktor J, Jomard G, Torrent M, Bertolus M 2013 Phys. Rev. B 87 235207
Google Scholar
[55] Kawasuso A, Itoh H, Morishita N, Yoshikawa M, Ohshima T, Nashiyama I, Okada S, Okumura H, Yoshida S 1998 Appl. Phys. A 67 209
Google Scholar
[56] Panda B K, Brauer G, Skorupa W, Kuriplach J 2000 Phys. Rev. B 61 15848
Google Scholar
[57] Kawasuso A, Maekawa M, Fukaya Y, Yabuuchi A, Mochizuki I 2011 Phys. Rev. B 83 100406
Google Scholar
Catalog
Metrics
- Abstract views: 1821
- PDF Downloads: 26
- Cited By: 0









DownLoad: