-
The Stark effect in Rydberg atoms exhibits remarkable sensitivity to external electric fields, thus forming the fundamental basis for precision electric field measurements. This study systematically and comprehensively investigates the regulatory effects of DC and AC electric fields on cesium Rydberg atoms, both experimentally and theoretically. Utilizing a two-photon three-level system, we generate 28D5/2 Rydberg states and establish electromagnetically induced transparency (EIT) as the macroscopic observable. Our experimental results demonstrate distinct Stark splitting patterns under DC fields, revealing three fine-structure states each with polarization-dependent frequency shift, they being the negative polarizability states (mj = 1/2, 3/2) exhibiting rightward shifts, and the positive polarizability state (mj = 5/2) showing leftward displacement. For power-frequency AC fields (50 Hz), we observe characteristic double-frequency modulation of the EIT-Stark spectra, with measurement limitations emerging at field strengths above 24 V/cm due to laser scanning range constraints. To overcome this limitation, we develop an innovative DC field regulated measurement scheme, establishing a dynamic model for the combined AC/DC field interaction with Rydberg atoms. The model successfully derives demodulation expressions for extracting both DC and AC field components from the composite spectral shifts. Experimental validation shows that applying an 8 V/cm DC bias field can extend the measurable AC field range to 32 V/cm, achieving a 33.3% improvement over direct measurement methods within a 1 GHz laser scanning range, while maintaining exceptional accuracy with demodulation errors below 0.8% across all tested configurations. The detailed error analysis reveals that the measurement precision improves with the increase of field strength, with a standard deviation of σ = 0.2196%, demonstrating the robustness of our approach. Compared with existing techniques, this DC-field regulation method effectively addresses the critical challenge of limited laser scanning range in strong-field measurements, while preserving the quantum advantages of Rydberg atom sensors. The research provides both theoretical foundations and practical solutions for measuring power-frequency strong electric fields in power systems, with potential applications extending to other low-frequency strong-field measurement scenarios. Future work will focus on enhancing measurement stability in extreme field conditions, improving accuracy, and further expanding the operational range of this quantum sensing technology.
-
Keywords:
- Rydberg atom /
- Stark effect /
- electromagnetically induced transparency effect /
- power-frequency strong field measurements
[1] Peng J, Jia S H, Bian J M, Zhang S, Liu J B, Zhou X 2019 Sensors 19 2860
Google Scholar
[2] Han Z F, Xue F, Hu J, He J L 2021 IEEE Ind. Electron. Mag. 15 35
Google Scholar
[3] 韩小萱, 孙光祖, 郝丽萍, 白素英, 焦月春 2024 73 093202
Google Scholar
Han X X, Sun G Z, Hao L P, Bai S Y, Jiao Y C 2024 Acta Phys. Sin. 73 093202
Google Scholar
[4] Liu Q, Chen J Z, Wang H, Zhang J, Ruan W M, Wu G Z, Zheng S Y, Luo J T, Song Z F 2024 Chin. Phys. B 33 054203
Google Scholar
[5] 张学超, 乔佳慧, 刘瑶, 苏楠, 刘智慧, 蔡婷, 何军, 赵延霆, 王军民 2024 73 070201
Google Scholar
Zhang X C, Qiao J H, Liu Y, Su N, Liu Z H, Cai T, He J, Zhao Y T, Wang J M 2024 Acta Phys. Sin. 73 070201
Google Scholar
[6] Facon A, Dietsche E K, Grosso D, Haroche S, Raimond J M, Brune M, Gleyzes S 2016 Nature 535 262
Google Scholar
[7] Duspayev A, Cardman R, Anderson D A, Raithel G 2024 Phys. Rev. Res. 6 023138
Google Scholar
[8] Li C Y, Zhang L J, Zhao J M, Jia S T 2012 Acta Phys. Sin. 61 163202 [李昌勇, 张临杰, 赵建明, 贾锁堂 2012 61 163202]
Google Scholar
Li C Y, Zhang L J, Zhao J M, Jia S T 2012 Acta Phys. Sin. 61 163202
Google Scholar
[9] 黄巍, 梁振涛, 杜炎雄, 颜辉, 朱诗亮 2015 64 160702
Google Scholar
Huang W, Liang Z T, Du Y X, Yan H, Zhu S L 2015 Acta Phys. Sin. 64 160702
Google Scholar
[10] Liao K Y, Tu H T, Yang S Z, Chen C J, Liu X H, Liang J, Zhang X D, Yan H, Zhu S L 2020 Phys. Rev. A 101 053432
Google Scholar
[11] Liu X B, Jia F D, Zhang H Y, Mei J Yu Y H, Liang W C, Zhang J, Xie F, Zhong Z P 2021 AIP Adv. 11 085127
Google Scholar
[12] Jia F D, Liu X B, Mei J, Yu Y H, Zhang H Y, Lin Z Q, Dong H Y, Zhang J, Xie F 2021 Phys. Rev. A 103 063113
Google Scholar
[13] 周飞, 贾凤东, 刘修彬, 张剑, 谢锋, 钟志萍 2023 72 045204
Google Scholar
Zhou F, Jia F D, Liu X B, Zhang J, Xie F, Zhong Z P 2023 Acta Phys. Sin. 72 045204
Google Scholar
[14] Holloway C L, Prajapati N, Artusio-Glimpse A B, Berweger S, Simons M T, Kasahara Y, Alù A, Ziolkowski R W 2022 Appl. Phys. Lett. 120 204001
Google Scholar
[15] Wang Y X, Liu Y Q, Zhang Q Y, Gong P W, Xie W, Wu Z N, Jia F D, Zhong Z P 2024 AIP Adv. 14 105137
Google Scholar
[16] Weller D 2019 Thermal Rydberg Spectroscopy and Plasma (Munich: Verlag Dr. Hut) p68
[17] Anderson D A, Schwarzkopf A, Miller S A, Thaicharoen N, Raithel G, Gordon J A, Holloway C L 2014 Phys. Rev. A 90 043419
Google Scholar
[18] Anderson D A, Miller S A, Raithel G, Gordon J A, Butler M L, Holloway C L 2016 Phys. Rev. Appl. 5 034003
Google Scholar
[19] Song H T, Hu S S, Ding C, Xiao Y, Wang B S, Zhang Y 2023 Proceedings of the 2023 8th Asia Conference on Power and Electrical Engineering (ACPEE 2023) Tianjin, China, April 14–16, 2023 p1638
[20] 丁超, 胡珊珊, 邓松, 宋宏天, 张英, 王保帅, 阎晟, 肖冬萍, 张淮清 2025 74 043201
Google Scholar
Ding C, Hu S S, Deng S, Song H T, Zhang Y, Wang B S, Yan S, Xiao D P, Zhang H Q 2025 Acta Phys. Sin. 74 043201
Google Scholar
[21] 焦月春 2017 博士论文 (山西: 山西大学)
Jiao Y C 2017 Ph. D. Dissertation (Shanxi: Shanxi University
[22] Xiao D P, Shi Z X, Chen L, Yan S, Xu L X, Zhang H Q 2024 Front. Phys. 12 1405149
Google Scholar
[23] Song H T, Xiao Y, Hu S S, Xiao D P, Wang B S, Shi Z X, Zhang H Q 2024 IET Energy Syst. Integr. 6 174
Google Scholar
[24] Urbańczyk T, Kędziorski A, Krośnicki M, Koperski J 2024 Molecules 29 4657
Google Scholar
[25] Gatzke M, Veale J R, Swindell W R, Gallagher T F 1996 Phys. Rev. A 54 2492.
Google Scholar
[26] Lihachev G, Riemensberger J, Weng W, Liu J, Tian H, Siddharth A, Snigirev V, Shadymov V, Voloshin A, Wang R N, He J, Bhave S A, Kippenberg T J 2022 Nat. Commun. 13 3522
Google Scholar
[27] 董慧杰, 王新宇, 李昌勇, 贾锁堂 2015 64 093201
Google Scholar
Dong H J, Wang X Y, Li C Y, Jia S T 2015 Acta Phys. Sin. 64 093201
Google Scholar
[28] 李伟, 张淳刚, 张好, 景明勇, 张临杰 2021 激光与光电子学进展 58 144
Google Scholar
Li W, Zhang C G, Zhang H, Jing M Y, Zhang L J 2021 Acta Laser Optoelectron. Prog. 58 144
Google Scholar
[29] 崔帅威, 彭文鑫, 李松浓, 蒋源, 姬中华, 赵延霆 2023 高电压技术 49 644
Google Scholar
Cui S W, Peng W X, Li S N, Jiang Y, Ji Z H, Zhao Y T 2023 High Volt. Eng. 49 644
Google Scholar
[30] Harmin D A 1982 Phys. Rev. A 26 2656
Google Scholar
[31] Cardman R, MacLennan J L, Anderson S E, Raithel G 2021 New J. Phys. 23 063074
Google Scholar
-
图 3 不同电场作用下的各里德伯态光谱频移量ΔStark随时间变化轨迹 (a)—(d) 不同工频交流场强作用的结果; (e)—(i) 直流调控不同工频交流场强作用的结果
Figure 3. Trajectories of the spectral frequency shifts ΔStark of each Rydberg state with time under the action of different electric fields: (a)–(d) The results of the action of different industrial frequency AC field strengths; (e)–(i) the results of the action of different industrial frequency AC field strengths of DC modulation
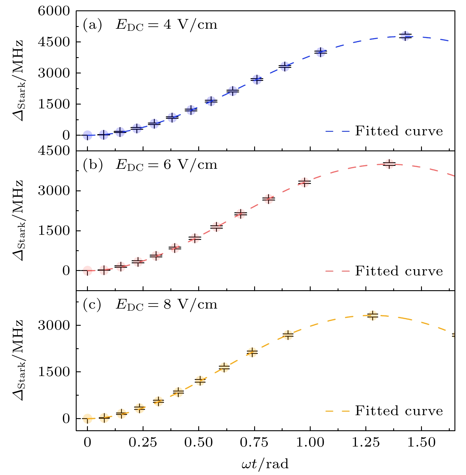
图 4 28D5/2(mj = 1/2)里德伯态在不同交直流调制电场下, EIT-Stark光谱频移量随ωt的变化 (a) EDC = 4 V/cm, EAC = 28 V/cm; (b) EDC = 6 V/cm, EAC = 28 V/cm; (c) EDC = 8 V/cm, EAC = 28 V/cm
Figure 4. Relationship between the frequency shift of the EIT-Stark spectral spectrum and ωt in the 28D5/2(mj = 1/2) Rydberg state under different AC/DC electric fields: (a) EDC = 4 V/cm, EAC = 28 V/cm; (b) EDC = 6 V/cm, EAC = 28 V/cm; (c) EDC = 8 V/cm, EAC = 28 V/cm
表 1 28D5/2精细能级态极化率α (MHz·cm2/V2)
Table 1. Polarizability of 28D5/2 fine energy states α (MHz·cm2/V2).
mj 理论计算结果 实验拟合结果 1/2 –16.34966 –16.17472 3/2 –11.81798 –11.51648 5/2 1.22474 1.09556 -
[1] Peng J, Jia S H, Bian J M, Zhang S, Liu J B, Zhou X 2019 Sensors 19 2860
Google Scholar
[2] Han Z F, Xue F, Hu J, He J L 2021 IEEE Ind. Electron. Mag. 15 35
Google Scholar
[3] 韩小萱, 孙光祖, 郝丽萍, 白素英, 焦月春 2024 73 093202
Google Scholar
Han X X, Sun G Z, Hao L P, Bai S Y, Jiao Y C 2024 Acta Phys. Sin. 73 093202
Google Scholar
[4] Liu Q, Chen J Z, Wang H, Zhang J, Ruan W M, Wu G Z, Zheng S Y, Luo J T, Song Z F 2024 Chin. Phys. B 33 054203
Google Scholar
[5] 张学超, 乔佳慧, 刘瑶, 苏楠, 刘智慧, 蔡婷, 何军, 赵延霆, 王军民 2024 73 070201
Google Scholar
Zhang X C, Qiao J H, Liu Y, Su N, Liu Z H, Cai T, He J, Zhao Y T, Wang J M 2024 Acta Phys. Sin. 73 070201
Google Scholar
[6] Facon A, Dietsche E K, Grosso D, Haroche S, Raimond J M, Brune M, Gleyzes S 2016 Nature 535 262
Google Scholar
[7] Duspayev A, Cardman R, Anderson D A, Raithel G 2024 Phys. Rev. Res. 6 023138
Google Scholar
[8] Li C Y, Zhang L J, Zhao J M, Jia S T 2012 Acta Phys. Sin. 61 163202 [李昌勇, 张临杰, 赵建明, 贾锁堂 2012 61 163202]
Google Scholar
Li C Y, Zhang L J, Zhao J M, Jia S T 2012 Acta Phys. Sin. 61 163202
Google Scholar
[9] 黄巍, 梁振涛, 杜炎雄, 颜辉, 朱诗亮 2015 64 160702
Google Scholar
Huang W, Liang Z T, Du Y X, Yan H, Zhu S L 2015 Acta Phys. Sin. 64 160702
Google Scholar
[10] Liao K Y, Tu H T, Yang S Z, Chen C J, Liu X H, Liang J, Zhang X D, Yan H, Zhu S L 2020 Phys. Rev. A 101 053432
Google Scholar
[11] Liu X B, Jia F D, Zhang H Y, Mei J Yu Y H, Liang W C, Zhang J, Xie F, Zhong Z P 2021 AIP Adv. 11 085127
Google Scholar
[12] Jia F D, Liu X B, Mei J, Yu Y H, Zhang H Y, Lin Z Q, Dong H Y, Zhang J, Xie F 2021 Phys. Rev. A 103 063113
Google Scholar
[13] 周飞, 贾凤东, 刘修彬, 张剑, 谢锋, 钟志萍 2023 72 045204
Google Scholar
Zhou F, Jia F D, Liu X B, Zhang J, Xie F, Zhong Z P 2023 Acta Phys. Sin. 72 045204
Google Scholar
[14] Holloway C L, Prajapati N, Artusio-Glimpse A B, Berweger S, Simons M T, Kasahara Y, Alù A, Ziolkowski R W 2022 Appl. Phys. Lett. 120 204001
Google Scholar
[15] Wang Y X, Liu Y Q, Zhang Q Y, Gong P W, Xie W, Wu Z N, Jia F D, Zhong Z P 2024 AIP Adv. 14 105137
Google Scholar
[16] Weller D 2019 Thermal Rydberg Spectroscopy and Plasma (Munich: Verlag Dr. Hut) p68
[17] Anderson D A, Schwarzkopf A, Miller S A, Thaicharoen N, Raithel G, Gordon J A, Holloway C L 2014 Phys. Rev. A 90 043419
Google Scholar
[18] Anderson D A, Miller S A, Raithel G, Gordon J A, Butler M L, Holloway C L 2016 Phys. Rev. Appl. 5 034003
Google Scholar
[19] Song H T, Hu S S, Ding C, Xiao Y, Wang B S, Zhang Y 2023 Proceedings of the 2023 8th Asia Conference on Power and Electrical Engineering (ACPEE 2023) Tianjin, China, April 14–16, 2023 p1638
[20] 丁超, 胡珊珊, 邓松, 宋宏天, 张英, 王保帅, 阎晟, 肖冬萍, 张淮清 2025 74 043201
Google Scholar
Ding C, Hu S S, Deng S, Song H T, Zhang Y, Wang B S, Yan S, Xiao D P, Zhang H Q 2025 Acta Phys. Sin. 74 043201
Google Scholar
[21] 焦月春 2017 博士论文 (山西: 山西大学)
Jiao Y C 2017 Ph. D. Dissertation (Shanxi: Shanxi University
[22] Xiao D P, Shi Z X, Chen L, Yan S, Xu L X, Zhang H Q 2024 Front. Phys. 12 1405149
Google Scholar
[23] Song H T, Xiao Y, Hu S S, Xiao D P, Wang B S, Shi Z X, Zhang H Q 2024 IET Energy Syst. Integr. 6 174
Google Scholar
[24] Urbańczyk T, Kędziorski A, Krośnicki M, Koperski J 2024 Molecules 29 4657
Google Scholar
[25] Gatzke M, Veale J R, Swindell W R, Gallagher T F 1996 Phys. Rev. A 54 2492.
Google Scholar
[26] Lihachev G, Riemensberger J, Weng W, Liu J, Tian H, Siddharth A, Snigirev V, Shadymov V, Voloshin A, Wang R N, He J, Bhave S A, Kippenberg T J 2022 Nat. Commun. 13 3522
Google Scholar
[27] 董慧杰, 王新宇, 李昌勇, 贾锁堂 2015 64 093201
Google Scholar
Dong H J, Wang X Y, Li C Y, Jia S T 2015 Acta Phys. Sin. 64 093201
Google Scholar
[28] 李伟, 张淳刚, 张好, 景明勇, 张临杰 2021 激光与光电子学进展 58 144
Google Scholar
Li W, Zhang C G, Zhang H, Jing M Y, Zhang L J 2021 Acta Laser Optoelectron. Prog. 58 144
Google Scholar
[29] 崔帅威, 彭文鑫, 李松浓, 蒋源, 姬中华, 赵延霆 2023 高电压技术 49 644
Google Scholar
Cui S W, Peng W X, Li S N, Jiang Y, Ji Z H, Zhao Y T 2023 High Volt. Eng. 49 644
Google Scholar
[30] Harmin D A 1982 Phys. Rev. A 26 2656
Google Scholar
[31] Cardman R, MacLennan J L, Anderson S E, Raithel G 2021 New J. Phys. 23 063074
Google Scholar
Catalog
Metrics
- Abstract views: 879
- PDF Downloads: 49
- Cited By: 0









DownLoad: