- 
				To describe the projectile-target interaction in heavy-ion collision, the traditional optical model is improved and a corresponding optical model for heavy-ion collisions is established in this work The program APOMHI is developed accordingly. In heavy-ion collisions, the mass of the projectile is comparable to the mass of target nucleus. Therefore, the projectile and target nucleus must be treated equally. The potential field for their relative motion must arise from an equivalent contribution of both nuclei, not just from the target nucleus. Consequently, the angular momentum coupling scheme must adopt L - S coupling, instead of j - j coupling. The projectile spin i and target spin I first couple to form the projectile-target system spin S (which varies between $ \left| {I - i} \right| $ and $ i + I $). Then, the spin S of this system couples with the orbital angular momentum L of relative motion, forming a total angular momentum J . Thus, the radial wave function UlSJ (r) involves three quantum numbers: l , S , and J , while traditional optical model only involves l and j . Furthermore, since the mass of projectile is similar the mass of target, the form of the optical model potential is symmetrical relative to the projectile and target. The projectile nucleus and the target nucleus are still assumed to be spherical, and their excited states are not considered. The projectile may be lighter or heavier than the target, but they cannot be identical particles. By using this optical model program APOMHI, the elastic scattering angular distributions and compound nucleus absorption cross sections for heavy-ion collisions can be calculated. Taking for example a series of heavy-ion collision reactions with 18O as the projectile nucleus, a corresponding set of universal optical potential parameters is obtained by fitting experimental data. The comparisons show that the theoretical calculations generally accord well with the available experimental data. Here, the results for fusion cross-sections and elastic scattering angular distributions using several representative target nuclei (lighter, comparable in mass, heavier, and heavy compared to the projectile nucleus) are taken for example. Specifically, the fusion cross-section results correspond to targets 9Be, 27Al, 63Cu and 150Sm, while the elastic scattering angular distributions correspond to targets 16O, 24Mg, 58Ni, and 120Sn.
- 
										Keywords:
										
 - optical model /
 - heavy-ion collision /
 - global /
 - phenomenological
 
[1] Feshbach H 1958 Ann. Phys. 5 357
Google Scholar
						[2] Pruitt C D, Escher J E, Rahman R 2023 Phys. Rev. C 107 014602
Google Scholar
						[3] Capote R, Herman M, Obložinský P, Young P G, Goriely S, Belgya T, Ignatyuk A V, Koning A J, Hilaire S, Plujko V A, Avrigeanu M, Bersillon O, Chadwick M B, Fukahori T, Ge Z G, Han Y L, Kailas S, Kopecky J, Maslov V M, Reffo G, Sin M, Soukhovitskii E S, Talou P 2009 Nucl. Data Sheets 110 3107
Google Scholar
						[4] Moumene I, Bonaccorso A 2023 Phys. Rev. C 108 044609
Google Scholar
						[5] Becchetti F D, Greenlees G. W. 1969 Phys. Rev. 182 1190
Google Scholar
						[6] Jeukenne J P, Lejeune A, Mahaux C 1977 Phys. Rev. C 16 80
Google Scholar
						[7] Jeukenne J P, Lejeune A, Mahaux C 1976 Phys. Rep. 25 83
Google Scholar
						[8] Bauge E, Delaroche J P, Girod M 1998 Phys. Rev. C 58 1118
Google Scholar
						[9] Bauge E, Delaroche J P, Girod M 2001 Phys. Rev. C 63 024607
Google Scholar
						[10] Nobre G P A, Palumbo A, Herman M, Brown D, Hoblit S 2015 Phys. Rev. C 91 024618
Google Scholar
						[11] Soukhovitskiĩ E S, Capote R, Quesada J M, Chiba S, Martyanov D S 2016 Phys. Rev. C 94 064605
Google Scholar
						[12] Mahaux C, Sartor R 1991 Adv. Nucl. Phys. (Boston, MA: Springer US) pp1–223
[13] Quesada J M, Capote R, Molina A, Lozano M 2003 Phys. Rev. C 67 067601
Google Scholar
						[14] Morillon B, Romain P 2007 Phys. Rev. C 76 044601
Google Scholar
						[15] Mueller J M, Charity R J, Shane R, Sobotka L G, Waldecker S J, Dickhoff W H, Crowell A S, Esterline J H, Fallin B, Howell C R, Westerfeldt C, Youngs M, Crowe B J, Pedroni R S 2011 Phys. Rev. C 83 064605
Google Scholar
						[16] Mahzoon M H, Charity R J, Dickhoff W H, Dussan H, Waldecker S J 2014 Phys. Rev. Lett. 112 162503
Google Scholar
						[17] Atkinson M C, Dickhoff W H 2019 Phys. Lett. B 798 135027
Google Scholar
						[18] Zhao X, Sun W, Capote R, Capote R, Soukhovitskiĩ E S, Martyanov D S, Quesada J M 2020 Phys. Rev. C 101 064618
Google Scholar
						[19] An H, Cai C 2006 Phys. Rev. C 73 054605
Google Scholar
						[20] Han Y, Shi Y, Shen Q 2006 Phys. Rev. C 74 044615
Google Scholar
						[21] Koning A J, Delaroche J P 2003 Nucl. Phys. A 713 231
Google Scholar
						[22] Li X H, Chen L W 2012 Nucl. Phys. A 874 62
Google Scholar
						[23] Liang C T, Li X H, Cai C H 2009 J. Phys. G: Nucl. Part. Phys. 36 085104
Google Scholar
						[24] Li X, Liang C, Cai C 2007 Nucl. Phys. A 789 103
Google Scholar
						[25] Shen Q B 2002 Nucl. Sci. Eng. 141 78
Google Scholar
						[26] Xu Y, Han Y, Hu J, Liang H, Wu Z, Guo H, Cai C 2018 Phys. Rev. C 98 024619
Google Scholar
						[27] Xu Y, Han Y, Liang H, Wu Z, Guo H, Cai C 2019 Phys. Rev. C 99 034618
Google Scholar
						[28] Xu Y, Han Y, Hu J, Liang H, Wu Z, Guo H, Cai C 2018 Phys. Rev. C 97 014615
Google Scholar
						[29] Xu Y L, Han Y L, Su X W, Sun X J, Liang H Y, Guo H R, Cai C H 2021 Chin. Phys. C 45 114103
Google Scholar
						[30] Raynal J 1994 Notes on ECIS94 CEA Saclay Report CEA-N-2772
[31] Roth H A, Christiansson J E, Dubois J 1980 Nucl. Phys. A 343 148
Google Scholar
						[32] Anjos R M, Added N, Carlin N, Fante L, Figueira M C S, Matheus R, Szanto E M, Tenreiro C, Szanto A 1994 Phys. Rev. C 49 2018
Google Scholar
						[33] Rudchik A T, Shyrma Y O, Kemper K W, Rusek K, Koshchy E I, Kliczewski S, B 2011 Nucl. Phys. A 852 1
Google Scholar
						[34] Thomas J, Chen Y T, Hinds S, Langanke K, Meredith D, Olson M, Barnes C A 1985 Phys. Rev. C 31 1980
Google Scholar
						[35] Thomas J, Chen Y T, Hinds S, Meredith D, Olson M 1986 Phys. Rev. C 33 1679
Google Scholar
						[36] Szilner S, Haas F, Basrak Z, Freeman R M, Morsad A, Nicoli M P 2006 Nucl. Phys. A 779 21
Google Scholar
						[37] Tabor S L, Geesaman D F, Henning W, Kovar D G, Rehm K E, Prosser F W 1978 Phys. Rev. C 17 2136
Google Scholar
						[38] Bernas M, Pougheon F, Roy-Stephan M, Berg G P A, Berthier B, Le J P 1980 Phys. Rev. C 22 1872
Google Scholar
						[39] Rascher R, Muller W F J, Lieb K P 1979 Phys. Rev. C 20 1028
Google Scholar
						[40] Eisen Y, Tserruya I, Eyal Y, Fraenkel Z, Hillman M 1977 Nucl. Phys. A 291 459
Google Scholar
						[41] Bozek E, De Castro-Rizzo D M, Cavallaro S, Delaunay B , Delaunay J, Dumont H, D'onofrio A, Saint-Laurent M G, Sperduto L, Terrasi F 1986 Nucl. Phys. A 451 171
Google Scholar
						[42] Borges A M, Silva C P, Pereira D, Chamon L C, Rossi E S, 1992 Phys. Rev. C 46 2360
Google Scholar
						[43] Silva C P, Pereira D, Chamon L C, Rossi E S 1997 Phys. Rev. C 55 3155
Google Scholar
						[44] Rossi E S, Pereira D, Chamon L C, Silva C P, Alvarez M A G, Gas L R 2002 Nucl. Phys. A 707 325
Google Scholar
						[45] Alves J J S, Gomes P R S, Lubian J, Chamon L C, Pereira D, Anjos R M 2005 Nucl. Phys. A 748 59
Google Scholar
						[46] Rehm K E, Koerner H J, Richter M, Rother H P, Schiffer J P, Spieler H 1975 Phys. Rev. C 12 1945
Google Scholar
						[47] Chamon L C, Pereira D, Rossi E S, Silva C P, Razeto G R, Borges A M, Gomes L C, Sala O 1992 Phys. Lett. B 275 29
Google Scholar
						[48] Salem-Vasconcelos S, Takagui E M, Bechara M J, Koide K, Dietzsch O, Baur A 1994 Phys. Rev. C 50 927
Google Scholar
						[49] Jia H M, Lin C J, Xu X X, Zhang H Q, Liu Z H, Yang L, Zhang S T, Bao P F, Sun L J 2012 Phys. Rev. C 86 044621
Google Scholar
						[50] Jha V, Roy B J, Chatterjee A, Machner H 2004 Eur. Phys. J. A 19 347
Google Scholar
						[51] Benjelloun M, Galster W, Vervier J 1993 Nucl. Phys. A 560 715
Google Scholar
						[52] Bohlen H G, Hildenbrand K D, Gobbi A, Kubo K I 1975 Z. Phys. A: Hardrons Nucl. 273 211
Google Scholar
						[53] Robertson B C, Sample J T, Goosman D R, Nagtani K, Jones K W 1971 Phys. Rev. C 4 2176
Google Scholar
						[54] Broda R, Ishihara M, Herskind B, Oeschler H, Ogaza S, Ryde H 1975 Nucl. Phys. A 248 356
Google Scholar
						[55] Hinde D J, Charity R J, Foote G S, Leigh J R, Newton J O, Ogaza S, Chattejee A 1986 Nucl. Phys. A 452 550
Google Scholar
						[56] Charity R J, Leigh J R, Bokhorst J J M, Chatterjee A, Foote G S, Hinde D J, Newton J O, Ogaza S, Ward D 1986 Nucl. Phys. A 457 441
Google Scholar
						[57] Sahu P K, Choudhury R K, Biswas D C, Nayak B K 2001 Phys. Rev. C 64 014609
Google Scholar
						[58] van der Plicht J, Britt H C, Fowler M M, Fraenkel Z, Gavron A, Wilhelmy J B 1983 Phys. Rev. C 28 2022
Google Scholar
						[59] Laveen P V, Prasad E, Madhavan N, Pal S, Sadhukhan J, Nath S, Gehlot J, Jhingan A, Varier K M, Thomas R G 2015 J. Phys. G: Nucl. Part. Phys. 42 95105
Google Scholar
						[60] Yanez R, Loveland W, Barrett J S, Yao L 2013 Phys. Rev. C 88 14606
Google Scholar
						[61] Appannababu S, Mukherjee S, Singh N L, Rath P K, Kumar G K 2009 Phys. Rev. C 80 24603
Google Scholar
						[62] Vulgaris E, Grodzins L, Steadman S G, Ledoux R 1986 Phys. Rev. C 33 2017
Google Scholar
						[63] Rudchik A A, Rudchik A T, Kliczewski S, Koshchyc E I, Ponkratenko O A, 2007 Nucl. Phys. A 785 293
Google Scholar
						[64] Heusch B, Beck C, Coffin J P, Engelstein P, Freeman R M, Guillaume G, Haas F, Wagner P 1982 Phys. Rev. C 26 542
Google Scholar
						[65] Beck C, Haas F, Freeman R M, Heusch B, Coffin J P, Guillaume G, Rami F, Wagner P 1985 Nucl. Phys. A 442 320
Google Scholar
						[66] Kovar D G, Geesaman D F, Braid T H, Eisen Y, Henning W, Ophel T R, Paul M, Rehm K E, Sanders S J 1979 Phys. Rev. C 20 1305
Google Scholar
						[67] Sperr P, Braid T H, Eisen Y, Kovar D G, Prosser F W, Schiffer J P, Tabor S L, Vigdor S 1976 Phys. Rev. Lett. 37 321
Google Scholar
						[68] Steinbach T K, Vadas J, Schmidt J, Haycraft C, Hudan S, deSouza R T 2014 Phys. Rev. C 90 41603
Google Scholar
						[69] Eyal Y, Beckerman M, Chechik R, Fraenkel Z, Stocker H 1976 Phys. Rev. C 13 1527
Google Scholar
						[70] Szilner S, Nicoli M P, Basrak Z, Freeman R M, Haas F, Morsad A 2001 Phys. Rev. C 64 064614
Google Scholar
						[71] Al-Abdullah T, Carstoiu F, Gagliardi C A 2014 Phys. Rev. C 89 064602
Google Scholar
						[72] Rudchik A T, Shyrma Y O, Kemper K W, Piasecki E, Romanyshyna G P, Stepanenko Y M, Strojek I, Sakuta S B, Budzanowski A, Głowacka L, Skwirczyńska I, Siudak R, Choiński J, Szczurek A 2011 Eur. Phys. J. A 47 1
Google Scholar
						[73] Deb N K, Kalita K, Rashid H A, Das A, Nath S, Gehlot J, Madhavan N, Biswas R, Sahoo R N, Giri P K, Parihari A, Rai N K, Biswas S, Mahato A, Roy B J 2022 Phys. Rev. C 105 054608
Google Scholar
						[74] Wong C Y 1973 Phys. Rev. Lett. 31 766
Google Scholar
						[75] Wang L, Zhao K, Tian J L 2013 Nucl. Phys. Rev. 30 289
Google Scholar
						[76] Chen J B, Yang Y Y, Wang J S, Wang Q, Jin S L, Ma P, Ma J B, Huang M R, Han J L, Bai Z, Hu Q, Jin L, Li R, Zhao M H 2014 Nucl. Phys. Rev. 31 53
Google Scholar
						[77] Xu Y L, Han Y L, Su X W, Sun X J, Liang H Y, Guo H R, Cai C H 2020 Chin. Phys. C 44 124103
Google Scholar
						[78] Zamrun F M, Hagino K 2008 Phys. Rev. C 77 014606
Google Scholar
						[79] Xu Y L, Han Y L, Liang H Y, Wu Z D, Guo H R, Cai C H 2020 Chin. Phys. C 44 034101
Google Scholar
						[80] Beck C, Keeley N, Diaz-Torres A 2007 Phys. Rev. C 75 054605
Google Scholar
						[81] Pieper S C, Macfarlane M H, Gloeckner D H, Kovar D G, Becchetti F D, Harvey B G, Hendrie D L, Homeyer H, Mahoney J, Pühlhofer F, Oertzen W, Zisman M S 1978 Phys. Rev. C 18 180
Google Scholar
						[82] Al-Ghamdi A H, Ibraheem A A, Hamada S 2022 J. Taibah Univ. Sci. 16 1026
Google Scholar
						 - 
				
    
    
图 1 9Be, 10B, 11B和16O作为靶核的熔合截面理论与实验比较(实验数据来源为: H. A. Roth 1980[31], R. M. Anjos 1994[32], J. Thomas 1985[34], J. Thomas 1986[35])
Figure 1. Comparison between theoretical results and experimental data of fusion cross section for 9Be, 10B, 11B and 16O target. The experimental data come from H. A. Roth 1980[31], R. M. Anjos 1994[32], J. Thomas 1985[34], J. Thomas 1986[35].
图 4 150Sm, 188Os, 192Os, 194Pt, 197Au和208Pb作为靶核的熔合截面理论与实验比较(实验数据来源为: D. J. Hinde 1986 (EVR)[55], R. J. Charity 1986 (FF)[56], R. J. Charity 1986 (EVR FF)[56], J. van der Plicht 1983[58], P. V. Laveen 2015 (EVR)[59], P. V. Laveen 2015 (FF)[59], R. Yanez 2013 (FF)[60], S. Appannababu 2009 (FF)[61], E. Vulgaris 1986[62])
Figure 4. Comparison between theoretical results and experimental data of fusion cross section for 150Sm, 188Os, 192Os, 194Pt, 197Au and 208Pb target. The experimental data come from D. J. Hinde 1986 (EVR)[55], R. J. Charity 1986 (FF)[56], R. J. Charity 1986 (EVR FF)[56], J. van der Plicht 1983[58], P. V. Laveen 2015 (EVR)[59], P. V. Laveen 2015 (FF)[59], R. Yanez 2013 (FF)[60], S. Appannababu 2009 (FF)[61], E. Vulgaris 1986[62].
图 2 24Mg, 27Al, 28Si, 44Ca, 58Ni和60Ni 作为靶核的熔合截面理论与实验比较(实验数据来源为: S. L. Tabor 1978[37], R. Rascher 1979[39], Y. Eisen 1977[40], E. Bozek 1986[41], A. M. Borges 1992[42], C. P. Silva 1997[43])
Figure 2. Comparison between theoretical results and experimental data of fusion cross section for 24Mg, 27Al, 28Si, 44Ca, 58Ni and 60Ni target. The experimental data come from S. L. Tabor 1978[37], R. Rascher 1979[39], Y. Eisen 1977[40], E. Bozek 1986[41], A. M. Borges 1992[42], C. P. Silva 1997[43].
图 3 63Cu, 64Ni, 65Cu, 74Ge, 92Mo和148Nd 作为靶核的熔合截面理论与实验比较(实验数据来源为: L. C. Chamon 1992[47], C. P. Silva 1997[43], H. M. Jia 2012[49], M. Bonjelloun 1993[51], R. Broda 1975[54])
Figure 3. Comparison between theoretical results and experimental data of fusion cross section for 63Cu, 64Ni, 65Cu, 74Ge, 92Mo and 148Nd target. The experimental data come from L. C. Chamon 1992[47], C. P. Silva 1997[43], H. M. Jia 2012[49], M. Bonjelloun 1993[51], R. Broda 1975[54].
图 5 不同入射能量下13C, 16O, 24Mg和64Zn作为靶核的弹性散射角分布理论与实验比较(实验数据来源: A. T. Rudchik 2011[33], S. Szilner 2006[36], M. Bernas 1980[38], S. Salem-Vasconcelos 1994[48])
Figure 5. Comparison between theoretical results and experimental data of elastic scattering angular distribution for 13C, 16O, 24Mg and 64Zn target at different incident energies. The experimental data come from A. T. Rudchik 2011[33], S. Szilner 2006[36], M. Bernas 1980[38], S. Salem-Vasconcelos 1994[48].
图 7 不同入射能量下90Zr, 112, 116Sn和174Yb作为靶核的弹性散射角分布理论与实验比较(实验数据来源为: V. Jha 2004[50], H. G. Bohlen 1975[52], B. C. Robertson 1976[53], P. K. Sahu 2001[57])
Figure 7. Comparison between theoretical results and experimental data of elastic scattering angular distribution for 90Zr, 112, 116Sn and 174Yb target at different incident energies. The experimental data come from V. Jha 2004[50], H. G. Bohlen 1975[52], B. C. Robertson 1976[53], P. K. Sahu 2001[57].
图 8 普适光参下靶核为7Li, 12C和120Sn的熔合截面与弹性散射角分布情况(实验数据来源为: B. Heusch 1982[64], C. Beck 1985[65], D. G. Kovar 1979[66], P. Sperr 1976[67], T. K. Steinbach 2014[68], Y. Eyal 1976[69], A. T. Rudchik 2007[63])
Figure 8. Fusion cross section and elastic scattering angular distribution for 7Li, 12C and 120Sn target with global optical parameters. The experimental data come from B. Heusch 1982[64], C. Beck 1985[65], D. G. Kovar 1979[66], P. Sperr 1976[67], T. K. Steinbach 2014[68], Y. Eyal 1976[69], A. T. Rudchik 2007[63].
图 9 单核光参下靶核为7Li, 12C和120Sn的熔合截面与弹性散射角分布情况(实验数据来源为: B. Heusch 1982[64], C. Beck 1985[65], D. G. Kovar 1979[66], P. Sperr 1976[67], T. K. Steinbach 2014[68], Y. Eyal 1976[69], A. T. Rudchik 2007[63])
Figure 9. Fusion cross section and elastic scattering angular distribution for 7Li, 12C and 120Sn target with single nuclear optical parameters. The experimental data come from B. Heusch 1982[64], C. Beck 1985[65], D. G. Kovar 1979[66], P. Sperr 1976[67], T. K. Steinbach 2014[68], Y. Eyal 1976[69], A. T. Rudchik 2007[63].
表 1 APOMHI光学模型势参数
Table 1. Parameters in the APOMHI optical model.
各部分光学势 参数 数目 库仑势 $ {V}_{\mathrm{C}}\left(r\right) $ $ {r}_{\mathrm{C}\mathrm{A}}, {r}_{\mathrm{C}\mathrm{B}} $ 2 中心势 $ {V}_{\mathrm{c}}\left(r\right) $ $ {r}_{\mathrm{c}\mathrm{A}} $,$ {r}_{\mathrm{c}\mathrm{B}}, {a}_{\mathrm{c}\mathrm{A}}, {a}_{\mathrm{c}\mathrm{B}0}, {a}_{\mathrm{C}\mathrm{B}1} $ 5 面吸收虚部势 $ {W}_{\mathrm{S}}\left(r\right) $ $ r_{\mathrm{S}\mathrm{A}},r_{\mathrm{S}\mathrm{B}},a_{\mathrm{S}\mathrm{A}},a_{\mathrm{S}\mathrm{B}0},a_{\mathrm{S}\mathrm{B}1} $ 5 体系收虚部势 $ {W}_{\mathrm{V}}\left(r\right) $ $ {r}_{\mathrm{V}\mathrm{A}}, {r}_{\mathrm{V}\mathrm{B}}, {a}_{\mathrm{V}\mathrm{A}}, {a}_{\mathrm{V}\mathrm{B}0}, {a}_{\mathrm{V}\mathrm{B}1} $ 5 自旋-轨道实部势 $ {V}_{\mathrm{SO}}(r) $ rRSOA, rRSOB, aRSOA, 
aRSOB0, aRSOB1,$ {\overline{V}_{\mathrm{SO}}} $6 自旋-轨道虚部势 $ {W}_{\mathrm{S}\mathrm{O}}(r) $ rISOA, rISOB, aISOA, 
aISOB0, aISOB1${\overline{W}_{\mathrm{SO}}} $6 中心势强度 $ {\overline{V}_{\mathrm{c}}} $ $ {\overline{V}_{0}, {\overline{V}}_{1}, {\overline{V}}_{2}, {\overline{V}}_{\mathrm{B}}, {\overline{V}}_{4}} $ 5 面吸收势强度 $ {\overline{W}_{\mathrm{S}}} $ $ {\overline{W}_{\mathrm{S}0}, {\overline{W}}_{\mathrm{S}1}, {\overline{W}}_{\mathrm{S}\mathrm{B}}, {\overline{W}}_{\mathrm{S}2}} $ 4 体系收势强度 $ {\overline{W}_{\mathrm{V}}} $ $ {\overline{W}_{\mathrm{V}0}, {\overline{W}}_{\mathrm{V}1}, {\overline{W}}_{\mathrm{V}2}} $ 3 总计 41 表 2 SOOPA光学模型势参数
Table 2. Parameters in the SOOPA optical model.
各部分光学势 参数 数目 库仑势 $ {V}_{\mathrm{C}}\left(r\right) $ $ {r}_{\mathrm{C}} $ 1 0级弥散宽度 $ {a}_{i0} $ $ a_{\mathrm{c}0},a_{\mathrm{S}0},a_{\mathrm{V}0},a_{\mathrm{S}\mathrm{O}0} $ 4 0级半径参数 $ {r}_{i0} $ $ r_{\mathrm{c}0},r_{\mathrm{S}0},r_{\mathrm{V}0},r_{\mathrm{S}\mathrm{O}0} $ 4 修正参数 $ \xi $ $ \xi $ 1 1级弥散宽度 $ a_{\mathrm{\mathit{i}1}} $ $ a_{\mathrm{c}1},a_{\mathrm{S}1},a_{\mathrm{V}1},a_{\mathrm{S}\mathrm{O}1} $ 4 1级半径参数 $ r_{i1} $ $ r_{\mathrm{c}1},r_{\mathrm{S}1},r_{\mathrm{V}1},r_{\mathrm{S}\mathrm{O}1} $ 4 中心势强度 $ {\overline{V}}_{\mathrm{c}} $ $ {\overline{V}}_{0}, {\overline{V}}_{1}, {\overline{V}}_{2}, {\overline{V}}_{3}, {\overline{V}}_{4} $ 5 面吸收势强度 $ {\overline{W}}_{\mathrm{S}} $ $ {\overline{W}}_{\mathrm{S}0}, {\overline{W}}_{\mathrm{S}1}, {\overline{W}}_{\mathrm{S}2}, {\overline{W}}_{\mathrm{S}3} $ 4 体系收势强度 $ {\overline{W}}_{\mathrm{V}} $ $ {\overline{W}}_{\mathrm{V}0}, {\overline{W}}_{\mathrm{V}1}, {\overline{W}}_{\mathrm{V}2}{, \stackrel{-}{W}}_{\mathrm{V}3} $ 4 自旋-轨道实部 
势强度$ {\overline{V}}_{\mathrm{S}\mathrm{O}} $ VSO 1 自旋-轨道虚部 
势强度$ {\overline{W}}_{\mathrm{S}\mathrm{O}} $ WSO 1 总计 33 表 3 本文实验数据来源
Table 3. Experimental data used in this work
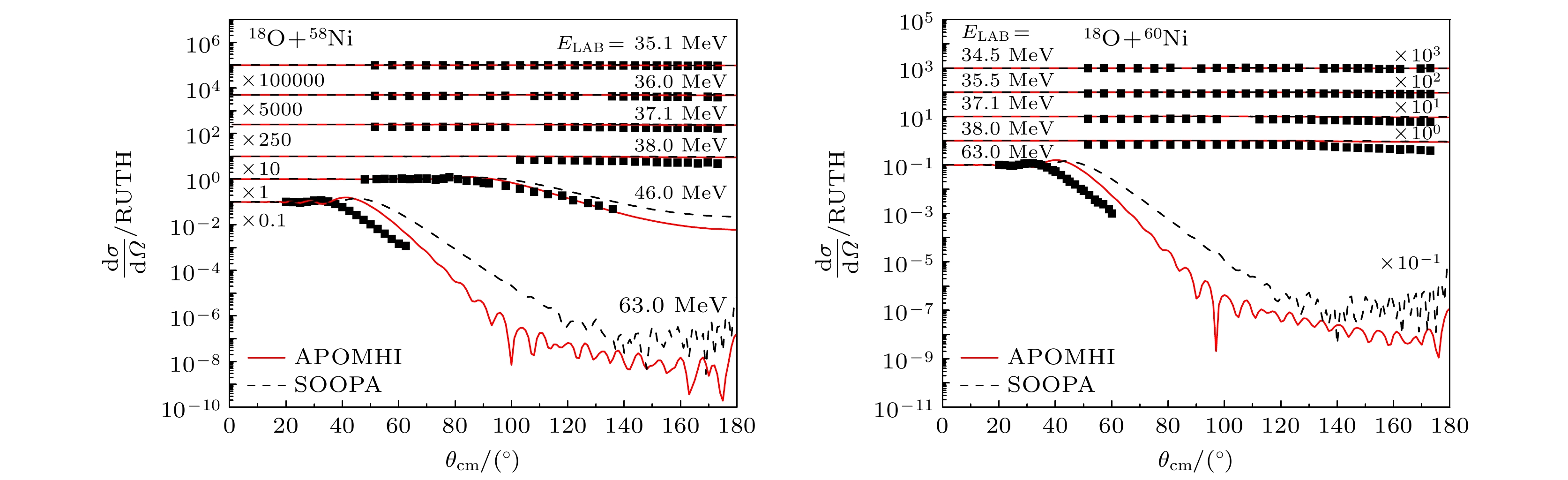
序号 靶核 熔合截面 弹性散射角分布 EL/MeV 文献 EL/MeV 文献 1 9Be 7.0—21.0 [31] 2 10B 22.0—63.0 [32] 3 11B 21.0—65.0 [32] 4 13C 105.0 [33] 5 16O 13.9—85.0 [34,35] 85.0 [36] 6 24Mg 32.0—72.0 [37] 50.0 [38] 7 27Al 28.0—72.0 [39,40] 8 28Si 34.0—72.0 [39] 9 44Ca 27.0—60.0 [41] 10 58Ni 35.0—64.0 [42,43] 35.1, 36.0, 37.1, 38.0, 46.0, 63.0 [44–46] 11 60Ni 40.0—63.0 [43] 34.5, 35.5, 37.1, 38.0, 63.0 [44,46] 12 64Ni 38.5—64.0 [43] 13 63Cu 40.0—65.0 [47] 14 65Cu 40.0—65.0 [47] 15 64Zn 49.0 [48] 16 74Ge 37.0—61.0 [49] 17 90Zr 90.0 [50] 18 92Mo 50.0—65.0 [51] 19 112Sn 60.0 [52] 20 116Sn 67.0 [53] 21 148Nd 61.8—77.0 [54] 22 150Sm 65.0—125.0 [55,56] 23 174Yb 83.0 [57] 24 188Os 80.0—140.0 [58] 25 192Os 79.0—124.0 [55,56] 26 194Pt 77.6—106.0 [59] 27 197Au 77.6—102.0 [60,61] 28 208Pb 75.0—102.0 [62] 29 7Li 114 [63] 30 12C 15.0—216 [64–69] 66.2, 85.0, 100.0, 120.0, 216.0 [70,71] 31 120Sn 60.0, 66.7, 72.0 [46,52,53] 32 14C 105.0 [72] 33 61Ni 33.5—52.6 [73] 表 4 18O作为弹核系列核反应APOMHI模型下普适光学势最佳参数
Table 4. The APOMHI optimal OMP parameters for 18O projectiles incidence on different target nuclei.
序号 参数 数值 序号 参数 数值 1 $ {\overline{V}}_{0} $ 451.00000000 22 $ {a}_{\mathrm{R}\mathrm{S}\mathrm{O}\mathrm{B}0} $ 0.06584537 2 $ {\overline{V}}_{1} $ 15.30000000 23 $ {a}_{\mathrm{I}\mathrm{S}\mathrm{O}\mathrm{A}} $ 0.48015487 3 $ {\overline{V}}_{2} $ 0.48000000 24 $ {a}_{\mathrm{I}\mathrm{S}\mathrm{O}\mathrm{B}0} $ 0.01976280 4 $ {\overline{V}}_{\mathrm{B}} $ 0.00000000 25 $ {r}_{\mathrm{c}\mathrm{A}} $ 1.03999996 5 $ {\overline{V}}_{4} $ 18.73192978 26 $ {r}_{\mathrm{c}\mathrm{B}} $ 1.04000000 6 $ {\overline{W}}_{\mathrm{S}0} $ 30.00000000 27 $ {r}_{\mathrm{S}\mathrm{A}} $ 1.84839511 7 $ {\overline{W}}_{\mathrm{S}1} $ –0.99000000 28 $ {r}_{\mathrm{S}\mathrm{B}} $ 1.46500000 8 $ {\overline{W}}_{\mathrm{S}\mathrm{B}} $ 0.00000000 29 $ {r}_{\mathrm{V}\mathrm{A}} $ 1.93000000 9 $ {\overline{W}}_{\mathrm{S}2} $ 0.00000000 30 $ {r}_{\mathrm{V}\mathrm{B}} $ 1.47000000 10 $ {\overline{W}}_{\mathrm{V}0} $ 10.00000000 31 $ {r}_{\mathrm{R}\mathrm{S}\mathrm{O}\mathrm{A}} $ 1.04999995 11 $ {\overline{W}}_{\mathrm{V}1} $ 13.00000000 32 $ {r}_{\mathrm{R}\mathrm{S}\mathrm{O}\mathrm{B}} $ 1.55366528 12 $ {\overline{W}}_{\mathrm{V}2} $ –0.01200000 33 $ {r}_{\mathrm{I}\mathrm{S}\mathrm{O}\mathrm{A}} $ 1.05001342 13 $ {\overline{V}}_{\mathrm{S}\mathrm{O}} $ 80.00000000 34 $ {r}_{\mathrm{I}\mathrm{S}\mathrm{O}\mathrm{B}} $ 1.75388050 14 $ {\overline{W}}_{\mathrm{S}\mathrm{O}} $ 25.00000000 35 $ {r}_{\mathrm{C}\mathrm{A}} $ 1.25000000 15 $ {a}_{\mathrm{c}\mathrm{A}} $ 0.85000000 36 $ {r}_{\mathrm{C}\mathrm{B}} $ 1.25000000 16 $ {a}_{\mathrm{c}\mathrm{B}0} $ 0.08229566 37 $ {a}_{\mathrm{c}\mathrm{B}1} $ 0.24493097 17 $ {a}_{\mathrm{S}\mathrm{A}} $ 0.35107821 38 $ {a}_{\mathrm{S}\mathrm{B}1} $ 0.35000000 18 $ {a}_{\mathrm{S}\mathrm{B}0} $ 0.34775448 39 $ {a}_{\mathrm{V}\mathrm{B}1} $ 0.09000000 19 $ {a}_{\mathrm{V}\mathrm{A}} $ 0.39626881 40 $ {a}_{\mathrm{R}\mathrm{S}\mathrm{O}\mathrm{B}1} $ 0.11783799 20 $ {a}_{\mathrm{V}\mathrm{B}0} $ 0.38336781 41 $ {a}_{\mathrm{I}\mathrm{S}\mathrm{O}\mathrm{B}1} $ 0.07000000 21 $ {a}_{\mathrm{R}\mathrm{S}\mathrm{O}\mathrm{A}} $ 0.79141617 表 5 18O作为弹核系列核反应SOOPA模型下普适光学势最佳参数
Table 5. The SOOPA optimal OMP parameters for 18O projectiles incidence on different target nuclei.
序号 参数 数值 序号 参数 数值 1 $ {\overline{V}}_{0} $ 1300.00000000 18 $ {a}_{\mathrm{V}0} $ 0.64614904 2 $ {\overline{V}}_{1} $ 9.32954121 19 $ {a}_{\mathrm{S}\mathrm{O}0} $ 0.55000001 3 $ {\overline{V}}_{2} $ –0.03310557 20 $ {r}_{\mathrm{R}0} $ 1.20000005 4 $ {\overline{V}}_{3} $ –45.00000000 21 $ {r}_{\mathrm{S}0} $ 1.24034297 5 $ {\overline{V}}_{4} $ 34.97342682 22 $ {r}_{\mathrm{V}0} $ 1.20000005 6 $ {\overline{W}}_{\mathrm{S}0} $ 27.79658127 23 $ {r}_{\mathrm{S}\mathrm{O}0} $ 1.25000000 7 $ {\overline{W}}_{\mathrm{S}1} $ –0.87972260 24 $ {r}_{\mathrm{C}} $ 1.25000000 8 $ {\overline{W}}_{\mathrm{S}2} $ 1.87557280 25 $ \xi $ 0.11376333 9 $ {\overline{W}}_{\mathrm{S}3} $ 1.07613444 26 $ {a}_{\mathrm{R}1} $ 0.02999442 10 $ {\overline{W}}_{\mathrm{V}0} $ 65.99987030 27 $ {a}_{\mathrm{S}1} $ 0.02947382 11 $ {\overline{W}}_{\mathrm{V}1} $ 5.40153790 28 $ {a}_{\mathrm{V}1} $ –0.03926823 12 $ {\overline{W}}_{\mathrm{V}2} $ 0.08881600 29 $ {a}_{\mathrm{S}\mathrm{O}1} $ 0.00000000 13 $ {\overline{W}}_{\mathrm{V}3} $ –5.09999990 30 $ {r}_{\mathrm{R}1} $ –0.00313194 14 $ {\overline{V}}_{\mathrm{S}\mathrm{O}0} $ 10.00000000 31 $ {r}_{\mathrm{S}1} $ 0.18612149 15 $ {\overline{W}}_{\mathrm{S}\mathrm{O}0} $ 1.00000000 32 $ {r}_{\mathrm{V}1} $ 0.01397228 16 $ {a}_{\mathrm{R}0} $ 0.52152246 33 $ {r}_{\mathrm{S}\mathrm{O}1} $ 0.00000000 17 $ {a}_{\mathrm{S}0} $ 0.34999999 表 6 APOMHI与SOOPA两种模型下理论与实验偏差比较
Table 6. Deviation of theoretical results and experimental data with APOMHI and SOOPA model respectively.
靶核 APOMI SPOOA $ \chi _{\text{f}}^2 $ $ \chi _{\text{e}}^{2} $ $ {\chi ^2} $ $ \chi _{\text{f}}^{2} $ $ \chi _{\text{e}}^{2} $ $ {\chi ^2} $ 9Be 1.39 1.39 2.33 2.33 10B 2.17 2.17 2.89 2.89 11B 4.02 4.02 4.51 4.51 13C 286.27 286.27 467.75 467.75 16O 21.00 162.44 91.72 32.16 147.74 89.95 24Mg 3.11 9.74 6.43 0.38 97.82 49.10 27Al 17.60 17.60 16.52 16.52 28Si 15.43 15.43 7.72 7.72 44Ca 12.05 12.05 6.10 6.10 58Ni 88.30 646.73 367.51 97.93 2046.43 1072.18 60Ni 21.25 1404.33 712.79 35.38 3194.35 1614.86 64Ni 43.28 43.28 42.01 42.01 63Cu 5.06 5.06 4.42 4.42 65Cu 3.90 3.90 5.24 5.24 64Zn 120.98 120.98 579.60 579.60 74Ge 2165.57 2165.57 2468.20 2468.20 90Zr 498.31 498.31 69.48 69.48 92Mo 10.45 10.45 8.45 8.45 112Sn 74.11 74.11 88.79 88.79 116Sn 403.03 403.03 1026.08 1026.08 148Nd 42.07 42.07 21.85 21.85 150Sm 9.20 9.20 5.31 5.31 174Yb 12.57 12.57 9.34 9.34 188Os 80.49 80.49 1422.2 1422.20 192Os 13.57 13.57 3.84 3.84 194Pt 26.65 26.65 30.66 30.66 197Au 32.45 32.45 15.85 15.85 208Pb 33.29 33.29 14.77 14.77 总(以上多核综合) 120.56 361.85 181.87 193.12 772.73 326.79 7Li 166.49 166.49 85.95 85.95 12C 42.23 32018.88 16030.55 42.54 6563.20 3302.87 120Sn 229.43 229.43 354.57 354.57 14C 21.35 21.35 30.14 30.14 61Ni 14.08 14.08 137.80 137.80 表 7 7Li, 12C和120Sn靶核单独调参的$ {\chi ^2} $结果
Table 7. The $ {\chi ^2} $ results for 7Li, 12C and 120Sn with individual parameter.
靶核 APOMHI(单核) SOOPA(单核) $ \chi _{\text{f}}^{2} $ $ \chi _{\text{e}}^{2} $ $ {\chi ^2} $ $ \chi _{\text{f}}^{2} $ $ \chi _{\text{e}}^{2} $ $ {\chi ^2} $ 7Li 5.79 5.79 5.86 5.86 12C 84.23 1437.90 761.07 109.70 2501.96 1305.83 120Sn 24.84 24.84 15.87 15.87  - 
				
[1] Feshbach H 1958 Ann. Phys. 5 357
Google Scholar
						[2] Pruitt C D, Escher J E, Rahman R 2023 Phys. Rev. C 107 014602
Google Scholar
						[3] Capote R, Herman M, Obložinský P, Young P G, Goriely S, Belgya T, Ignatyuk A V, Koning A J, Hilaire S, Plujko V A, Avrigeanu M, Bersillon O, Chadwick M B, Fukahori T, Ge Z G, Han Y L, Kailas S, Kopecky J, Maslov V M, Reffo G, Sin M, Soukhovitskii E S, Talou P 2009 Nucl. Data Sheets 110 3107
Google Scholar
						[4] Moumene I, Bonaccorso A 2023 Phys. Rev. C 108 044609
Google Scholar
						[5] Becchetti F D, Greenlees G. W. 1969 Phys. Rev. 182 1190
Google Scholar
						[6] Jeukenne J P, Lejeune A, Mahaux C 1977 Phys. Rev. C 16 80
Google Scholar
						[7] Jeukenne J P, Lejeune A, Mahaux C 1976 Phys. Rep. 25 83
Google Scholar
						[8] Bauge E, Delaroche J P, Girod M 1998 Phys. Rev. C 58 1118
Google Scholar
						[9] Bauge E, Delaroche J P, Girod M 2001 Phys. Rev. C 63 024607
Google Scholar
						[10] Nobre G P A, Palumbo A, Herman M, Brown D, Hoblit S 2015 Phys. Rev. C 91 024618
Google Scholar
						[11] Soukhovitskiĩ E S, Capote R, Quesada J M, Chiba S, Martyanov D S 2016 Phys. Rev. C 94 064605
Google Scholar
						[12] Mahaux C, Sartor R 1991 Adv. Nucl. Phys. (Boston, MA: Springer US) pp1–223
[13] Quesada J M, Capote R, Molina A, Lozano M 2003 Phys. Rev. C 67 067601
Google Scholar
						[14] Morillon B, Romain P 2007 Phys. Rev. C 76 044601
Google Scholar
						[15] Mueller J M, Charity R J, Shane R, Sobotka L G, Waldecker S J, Dickhoff W H, Crowell A S, Esterline J H, Fallin B, Howell C R, Westerfeldt C, Youngs M, Crowe B J, Pedroni R S 2011 Phys. Rev. C 83 064605
Google Scholar
						[16] Mahzoon M H, Charity R J, Dickhoff W H, Dussan H, Waldecker S J 2014 Phys. Rev. Lett. 112 162503
Google Scholar
						[17] Atkinson M C, Dickhoff W H 2019 Phys. Lett. B 798 135027
Google Scholar
						[18] Zhao X, Sun W, Capote R, Capote R, Soukhovitskiĩ E S, Martyanov D S, Quesada J M 2020 Phys. Rev. C 101 064618
Google Scholar
						[19] An H, Cai C 2006 Phys. Rev. C 73 054605
Google Scholar
						[20] Han Y, Shi Y, Shen Q 2006 Phys. Rev. C 74 044615
Google Scholar
						[21] Koning A J, Delaroche J P 2003 Nucl. Phys. A 713 231
Google Scholar
						[22] Li X H, Chen L W 2012 Nucl. Phys. A 874 62
Google Scholar
						[23] Liang C T, Li X H, Cai C H 2009 J. Phys. G: Nucl. Part. Phys. 36 085104
Google Scholar
						[24] Li X, Liang C, Cai C 2007 Nucl. Phys. A 789 103
Google Scholar
						[25] Shen Q B 2002 Nucl. Sci. Eng. 141 78
Google Scholar
						[26] Xu Y, Han Y, Hu J, Liang H, Wu Z, Guo H, Cai C 2018 Phys. Rev. C 98 024619
Google Scholar
						[27] Xu Y, Han Y, Liang H, Wu Z, Guo H, Cai C 2019 Phys. Rev. C 99 034618
Google Scholar
						[28] Xu Y, Han Y, Hu J, Liang H, Wu Z, Guo H, Cai C 2018 Phys. Rev. C 97 014615
Google Scholar
						[29] Xu Y L, Han Y L, Su X W, Sun X J, Liang H Y, Guo H R, Cai C H 2021 Chin. Phys. C 45 114103
Google Scholar
						[30] Raynal J 1994 Notes on ECIS94 CEA Saclay Report CEA-N-2772
[31] Roth H A, Christiansson J E, Dubois J 1980 Nucl. Phys. A 343 148
Google Scholar
						[32] Anjos R M, Added N, Carlin N, Fante L, Figueira M C S, Matheus R, Szanto E M, Tenreiro C, Szanto A 1994 Phys. Rev. C 49 2018
Google Scholar
						[33] Rudchik A T, Shyrma Y O, Kemper K W, Rusek K, Koshchy E I, Kliczewski S, B 2011 Nucl. Phys. A 852 1
Google Scholar
						[34] Thomas J, Chen Y T, Hinds S, Langanke K, Meredith D, Olson M, Barnes C A 1985 Phys. Rev. C 31 1980
Google Scholar
						[35] Thomas J, Chen Y T, Hinds S, Meredith D, Olson M 1986 Phys. Rev. C 33 1679
Google Scholar
						[36] Szilner S, Haas F, Basrak Z, Freeman R M, Morsad A, Nicoli M P 2006 Nucl. Phys. A 779 21
Google Scholar
						[37] Tabor S L, Geesaman D F, Henning W, Kovar D G, Rehm K E, Prosser F W 1978 Phys. Rev. C 17 2136
Google Scholar
						[38] Bernas M, Pougheon F, Roy-Stephan M, Berg G P A, Berthier B, Le J P 1980 Phys. Rev. C 22 1872
Google Scholar
						[39] Rascher R, Muller W F J, Lieb K P 1979 Phys. Rev. C 20 1028
Google Scholar
						[40] Eisen Y, Tserruya I, Eyal Y, Fraenkel Z, Hillman M 1977 Nucl. Phys. A 291 459
Google Scholar
						[41] Bozek E, De Castro-Rizzo D M, Cavallaro S, Delaunay B , Delaunay J, Dumont H, D'onofrio A, Saint-Laurent M G, Sperduto L, Terrasi F 1986 Nucl. Phys. A 451 171
Google Scholar
						[42] Borges A M, Silva C P, Pereira D, Chamon L C, Rossi E S, 1992 Phys. Rev. C 46 2360
Google Scholar
						[43] Silva C P, Pereira D, Chamon L C, Rossi E S 1997 Phys. Rev. C 55 3155
Google Scholar
						[44] Rossi E S, Pereira D, Chamon L C, Silva C P, Alvarez M A G, Gas L R 2002 Nucl. Phys. A 707 325
Google Scholar
						[45] Alves J J S, Gomes P R S, Lubian J, Chamon L C, Pereira D, Anjos R M 2005 Nucl. Phys. A 748 59
Google Scholar
						[46] Rehm K E, Koerner H J, Richter M, Rother H P, Schiffer J P, Spieler H 1975 Phys. Rev. C 12 1945
Google Scholar
						[47] Chamon L C, Pereira D, Rossi E S, Silva C P, Razeto G R, Borges A M, Gomes L C, Sala O 1992 Phys. Lett. B 275 29
Google Scholar
						[48] Salem-Vasconcelos S, Takagui E M, Bechara M J, Koide K, Dietzsch O, Baur A 1994 Phys. Rev. C 50 927
Google Scholar
						[49] Jia H M, Lin C J, Xu X X, Zhang H Q, Liu Z H, Yang L, Zhang S T, Bao P F, Sun L J 2012 Phys. Rev. C 86 044621
Google Scholar
						[50] Jha V, Roy B J, Chatterjee A, Machner H 2004 Eur. Phys. J. A 19 347
Google Scholar
						[51] Benjelloun M, Galster W, Vervier J 1993 Nucl. Phys. A 560 715
Google Scholar
						[52] Bohlen H G, Hildenbrand K D, Gobbi A, Kubo K I 1975 Z. Phys. A: Hardrons Nucl. 273 211
Google Scholar
						[53] Robertson B C, Sample J T, Goosman D R, Nagtani K, Jones K W 1971 Phys. Rev. C 4 2176
Google Scholar
						[54] Broda R, Ishihara M, Herskind B, Oeschler H, Ogaza S, Ryde H 1975 Nucl. Phys. A 248 356
Google Scholar
						[55] Hinde D J, Charity R J, Foote G S, Leigh J R, Newton J O, Ogaza S, Chattejee A 1986 Nucl. Phys. A 452 550
Google Scholar
						[56] Charity R J, Leigh J R, Bokhorst J J M, Chatterjee A, Foote G S, Hinde D J, Newton J O, Ogaza S, Ward D 1986 Nucl. Phys. A 457 441
Google Scholar
						[57] Sahu P K, Choudhury R K, Biswas D C, Nayak B K 2001 Phys. Rev. C 64 014609
Google Scholar
						[58] van der Plicht J, Britt H C, Fowler M M, Fraenkel Z, Gavron A, Wilhelmy J B 1983 Phys. Rev. C 28 2022
Google Scholar
						[59] Laveen P V, Prasad E, Madhavan N, Pal S, Sadhukhan J, Nath S, Gehlot J, Jhingan A, Varier K M, Thomas R G 2015 J. Phys. G: Nucl. Part. Phys. 42 95105
Google Scholar
						[60] Yanez R, Loveland W, Barrett J S, Yao L 2013 Phys. Rev. C 88 14606
Google Scholar
						[61] Appannababu S, Mukherjee S, Singh N L, Rath P K, Kumar G K 2009 Phys. Rev. C 80 24603
Google Scholar
						[62] Vulgaris E, Grodzins L, Steadman S G, Ledoux R 1986 Phys. Rev. C 33 2017
Google Scholar
						[63] Rudchik A A, Rudchik A T, Kliczewski S, Koshchyc E I, Ponkratenko O A, 2007 Nucl. Phys. A 785 293
Google Scholar
						[64] Heusch B, Beck C, Coffin J P, Engelstein P, Freeman R M, Guillaume G, Haas F, Wagner P 1982 Phys. Rev. C 26 542
Google Scholar
						[65] Beck C, Haas F, Freeman R M, Heusch B, Coffin J P, Guillaume G, Rami F, Wagner P 1985 Nucl. Phys. A 442 320
Google Scholar
						[66] Kovar D G, Geesaman D F, Braid T H, Eisen Y, Henning W, Ophel T R, Paul M, Rehm K E, Sanders S J 1979 Phys. Rev. C 20 1305
Google Scholar
						[67] Sperr P, Braid T H, Eisen Y, Kovar D G, Prosser F W, Schiffer J P, Tabor S L, Vigdor S 1976 Phys. Rev. Lett. 37 321
Google Scholar
						[68] Steinbach T K, Vadas J, Schmidt J, Haycraft C, Hudan S, deSouza R T 2014 Phys. Rev. C 90 41603
Google Scholar
						[69] Eyal Y, Beckerman M, Chechik R, Fraenkel Z, Stocker H 1976 Phys. Rev. C 13 1527
Google Scholar
						[70] Szilner S, Nicoli M P, Basrak Z, Freeman R M, Haas F, Morsad A 2001 Phys. Rev. C 64 064614
Google Scholar
						[71] Al-Abdullah T, Carstoiu F, Gagliardi C A 2014 Phys. Rev. C 89 064602
Google Scholar
						[72] Rudchik A T, Shyrma Y O, Kemper K W, Piasecki E, Romanyshyna G P, Stepanenko Y M, Strojek I, Sakuta S B, Budzanowski A, Głowacka L, Skwirczyńska I, Siudak R, Choiński J, Szczurek A 2011 Eur. Phys. J. A 47 1
Google Scholar
						[73] Deb N K, Kalita K, Rashid H A, Das A, Nath S, Gehlot J, Madhavan N, Biswas R, Sahoo R N, Giri P K, Parihari A, Rai N K, Biswas S, Mahato A, Roy B J 2022 Phys. Rev. C 105 054608
Google Scholar
						[74] Wong C Y 1973 Phys. Rev. Lett. 31 766
Google Scholar
						[75] Wang L, Zhao K, Tian J L 2013 Nucl. Phys. Rev. 30 289
Google Scholar
						[76] Chen J B, Yang Y Y, Wang J S, Wang Q, Jin S L, Ma P, Ma J B, Huang M R, Han J L, Bai Z, Hu Q, Jin L, Li R, Zhao M H 2014 Nucl. Phys. Rev. 31 53
Google Scholar
						[77] Xu Y L, Han Y L, Su X W, Sun X J, Liang H Y, Guo H R, Cai C H 2020 Chin. Phys. C 44 124103
Google Scholar
						[78] Zamrun F M, Hagino K 2008 Phys. Rev. C 77 014606
Google Scholar
						[79] Xu Y L, Han Y L, Liang H Y, Wu Z D, Guo H R, Cai C H 2020 Chin. Phys. C 44 034101
Google Scholar
						[80] Beck C, Keeley N, Diaz-Torres A 2007 Phys. Rev. C 75 054605
Google Scholar
						[81] Pieper S C, Macfarlane M H, Gloeckner D H, Kovar D G, Becchetti F D, Harvey B G, Hendrie D L, Homeyer H, Mahoney J, Pühlhofer F, Oertzen W, Zisman M S 1978 Phys. Rev. C 18 180
Google Scholar
						[82] Al-Ghamdi A H, Ibraheem A A, Hamada S 2022 J. Taibah Univ. Sci. 16 1026
Google Scholar
						 
Catalog
Metrics
- Abstract views: 1212
 - PDF Downloads: 22
 - Cited By: 0
 


					
		        
	        
 
												






							
DownLoad: