-
Superconducting quantum interference device (SQUID) is one of the most sensitive flux sensors and is critical in fields such as biomagnetism, low-field nuclear magnetic resonance (NMR), and geophysics. In this paper, an integrated magnetoencephalography (MEG) SQUID chip is investigated in detail, which consists of a magnetometer and two gradiometers. The SQUID and pick-up coils are fabricated on different-sized wafers. The SQUID is fabricated on a commercial silicon substrate using micro- and nano-fabrication processes, including thin-film growth, i-line stepper photolithography, and reactive ion etching (RIE). The sub-micron Josephson junction technology is employed to achieve a junction size of 0.7 μm×0.7 μm with a junction capacitance of only 0.05 pF. The pick-up coil is designed as a single-turn coil for a magnetometer and a planar first-order gradient coil for a gradient sensor. The MEG SQUID chips are tested in a well-shielded chamber with the helium-liquid temperature (4.2 K). Customized low-voltage noise readout circuit and source measure units are used to characterize the magnetic field white noise, current-voltage (I-V) characteristics, and voltage modulation amplitude of 171 SQUID channels. The results show that 81% of the SQUID chips exhibit the lower magnetic field noise (< 5 $ {\text{fT/}}\sqrt {{\text{HZ}}} $), and the high modulation amplitudes (in a range of 80–120 μV) with the low working currents of 15–20 μA, yielding a wafer yield rate of 78%. In summary, the SQUIDs show excellent performance in terms of magnetic field white noises, modulation amplitudes, and working currents, which are suitable for the very weak magnetic signal detection. One of future studies will focus on optimizing the SQUID chip fabrication process to minimize performance variations between chips on the same wafer.
-
Keywords:
- superconducting quantum interference device /
- magnetometer /
- tradiometer /
- magnetic field noise
[1] 丁红胜, 陈赓华, 张利华, 黄旭光, 杨乾声 2006 北京科技大学学报 28 863
Google Scholar
Ding H S, Chen G H, Zhang L H, Huang X G, Yang Q S 2006 J. Univ. Sc. Thechnol. Beijing. 28 863
Google Scholar
[2] LI H, Zhang M Y 2025 IEEE Trans. Instrum. Meas. 74 1
Google Scholar
[3] Maslennikov Y V, Slobodchikov Y V, Krymov V A, Gulyaev Y V 2023 Pattern Recognit. Image Anal. 33 1402
Google Scholar
[4] 盛经纬, 高家红 2021 物理 50 463
Google Scholar
Sheng J W, Gao J H 2021 Physics 50 463
Google Scholar
[5] Lin J, Wang M C, Zhao J 2020 J. Harbin Inst. Technol. (New Series) 27 101
Google Scholar
[6] 漆汉宏 2004 博士学位论文(秦皇岛: 燕山大学
Qi H H 2004 Ph. D. Dissertation (QingHuangdao: YanShan University
[7] Persky E, Sochnikov I, Kalisky B 2022 Annu. Rev. Condens. Matter Phys. 13 385
Google Scholar
[8] Sochnikov I, Davino D, Kalisky B 2020 Phys. Rev. Appl. 14 014020
Google Scholar
[9] Granata C, Vettoliere A, Vaccarone R 2007 IEEE Trans. Appl. Supercond. 17 796
Google Scholar
[10] Koelle D, Kleiner R, Ludwig F, Dantsker E, John C 1999 Rev. Mod. Phys. 71 631
Google Scholar
[11] Enpuku K, Minotani T 2001 IEICE Trans Electron, E84C 43
[12] Faley M I, Dammers J, Maslennikov Y V, Schneiderman J F, Winkler D, Koshelets VP, Shah N J, Dunin-Borkowski R E 2017 Supercond. Sci. Technol. 30 83001
Google Scholar
[13] Bechstein S, Köhn C, Drung D, Jan-Hendrik S, Kieler O, Morosh V, Schurig T 2017 Supercond. Sci. Technol. 30 34007
Google Scholar
[14] Carmine Granata, Vettoliere Antonio 2016 Phys. Rep. 614 1
Google Scholar
[15] Cantor R, Hall J 2005 IEEE Trans. Appl. Supercond. 15 82
Google Scholar
[16] Xiong W, Ying L L, Wang H, Zhang G F, Wang Z 2015 Proceedings of 2015 IEEE International Conference on Applied Superconductivity and Electromagnetic Devices Shanghai China, November 20–23, 2015 p282
[17] Schmelz M, Zakosarenko V, Schönau T, Anders S, Kunert J, Meyer M, Meyer H G, Stolz R 2017 Supercond. Sci. Technol. 30 74010
Google Scholar
[18] Grönberg L, Kiviranta M, Vesterinen V, et al. 2017 Supercond. Sci. Technol. 30 125016
Google Scholar
[19] Storm J H, Kieler O, Korber R 2020 IEEE Trans. Appl. Supercond. 30 1
Google Scholar
[20] Zhang G F, Zhang X, Wang Y L, Rong L L, Xie X M, Wang Z 2019 Physica C Supercond. Appl. 562 32
Google Scholar
[21] Shnyrkov V I, Shapovalov A P, Lyakhno V Y, et al. 2023 Supercond. Sci. Technol. 36 035005
Google Scholar
[22] Xie M, Schneiderman J F, Chukharkin M, Kalaboukhov A, Whitmarsh S, Lundqvist D, Winkler D 2015 IEEE Trans. Appl. Supercond. 25 6940248
Google Scholar
[23] 倪志 2024 博士学位论文(上海: 中国科学院上海微系统与信息技术研究所
Ni Z 2024 Ph. D. Dissertation (shanghai: Shanghai Institute of Microsystem and Information Technology
[24] Ono R H, Koch J A, Steinbach A, Huber M E, Cromar M W 1997 IEEE Trans. Appl. Supercond. 7 2538
Google Scholar
[25] Enpuku K, Yoshida K, Kohjiro S 1986 J. Appl. Phys. 60 4218
Google Scholar
[26] Wang Y L, Zhang S L, Zhang G F, Xu X F, Zhang C X, Wang Y, Xie X M 2020 Physica C 575 1353685
Google Scholar
[27] Li H, Zhang M Y 2024 Physica C 625 1354575
Google Scholar
-
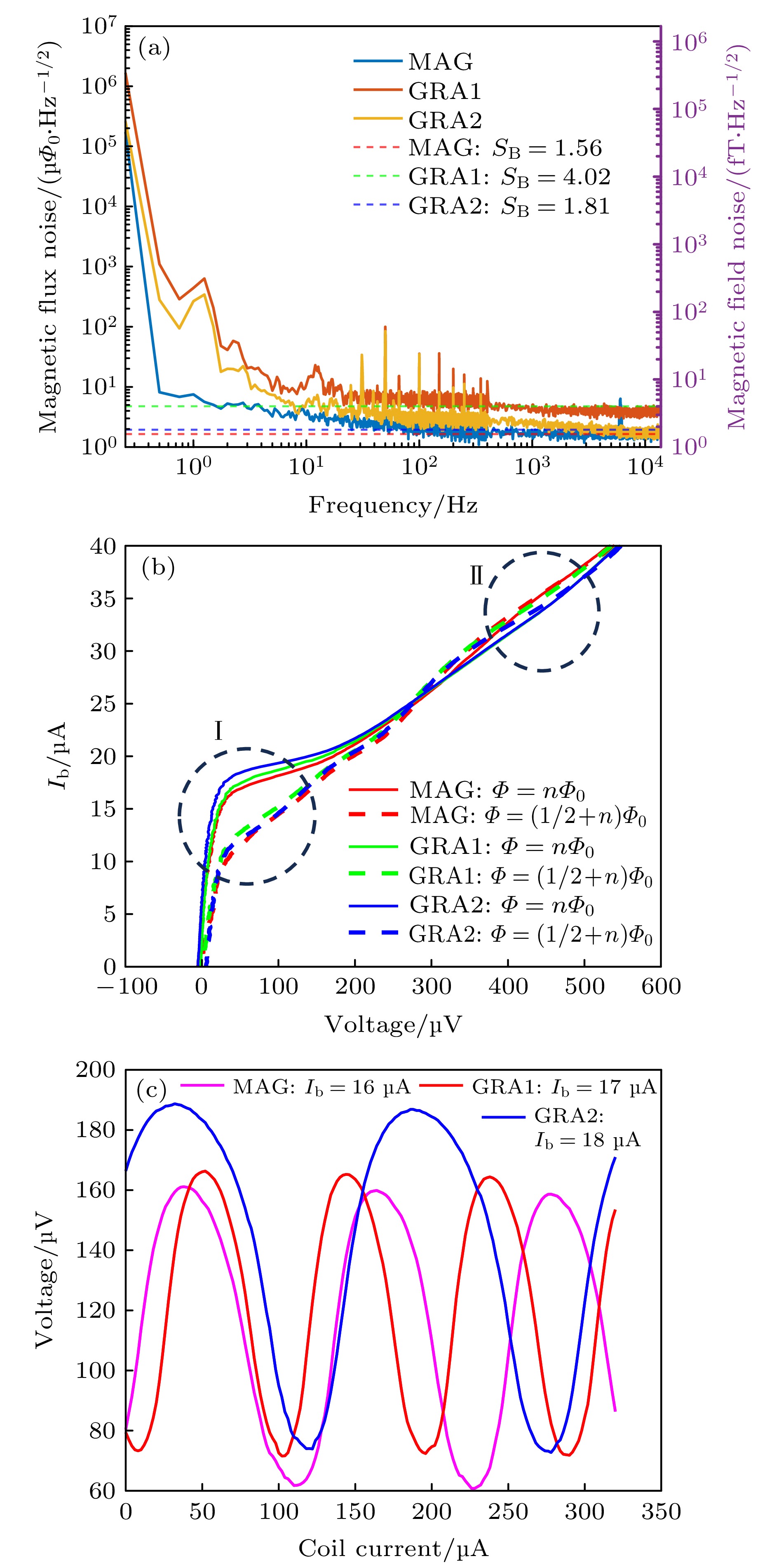
图 5 单元脑磁SQUID芯片的参数特性曲线 (a) 磁强计与梯度计磁场与磁通噪声图; (b) 磁强计与梯度计的I-V特性曲线; (c) 磁强计与梯度计的最大电压摆幅特性曲线
Figure 5. Parametric characteristic curves of single MEG SQUID chip: (a) Magnetic fields and flux noises of MAG and GRA; (a) the I-V characteristic curves of MAG and GRA; (c) the maximum voltage swing characteristic curves of MAG and GRA.
图 8 SQUID芯片低频磁场噪声Z-score谱(对数坐标) (a) 磁强计低频噪声Z-score谱; (b) 梯度计低频噪声Z-score谱(实线表示噪声的均值曲线, 阴影部分表示噪声的波动范围(Mean ± 3σ))
Figure 8. Z-score spectrum of low-frequency magnetic field noise of SQUID chip (logarithmic coordinate): (a) Z-score spectrum of low-frequency noise of MAG; (b) Z-score spectrum of low-frequency noise of GRA (The solid line represents the mean noise curve, and the shaded area indicates the noise fluctuation range (Mean ± 3σ)).
表 1 SQUID设计参数
Table 1. Parameters for designing a SQUID.
SQUID结构 参数 数值 单位 约瑟夫森结 尺寸 0.7×0.7 μm2 临界电流密度 2 kA/cm2 临界电流 10 μA 结电容 0.03 pF 结电阻 35 Ω βc 1 — 环电感 环结构 1st order gradiometer — 内边长 20 μm 线宽 84 μm 单loop电感 56 pH Input线宽 2 μm Input线距 2 μm Input匝数 18×2 — Input电感 36 nH 表 2 探测线圈设计参数
Table 2. Parameters for designing a pickup coil.
器件类型 参数 数值 单位 磁强计 Pickup内边长 7000 mm Pickup线宽 500 μm Pickup电感 19 nH 梯度计 Pickup内边长 8000 mm Pickup线宽 500 μm Pickup电感 45 nH -
[1] 丁红胜, 陈赓华, 张利华, 黄旭光, 杨乾声 2006 北京科技大学学报 28 863
Google Scholar
Ding H S, Chen G H, Zhang L H, Huang X G, Yang Q S 2006 J. Univ. Sc. Thechnol. Beijing. 28 863
Google Scholar
[2] LI H, Zhang M Y 2025 IEEE Trans. Instrum. Meas. 74 1
Google Scholar
[3] Maslennikov Y V, Slobodchikov Y V, Krymov V A, Gulyaev Y V 2023 Pattern Recognit. Image Anal. 33 1402
Google Scholar
[4] 盛经纬, 高家红 2021 物理 50 463
Google Scholar
Sheng J W, Gao J H 2021 Physics 50 463
Google Scholar
[5] Lin J, Wang M C, Zhao J 2020 J. Harbin Inst. Technol. (New Series) 27 101
Google Scholar
[6] 漆汉宏 2004 博士学位论文(秦皇岛: 燕山大学
Qi H H 2004 Ph. D. Dissertation (QingHuangdao: YanShan University
[7] Persky E, Sochnikov I, Kalisky B 2022 Annu. Rev. Condens. Matter Phys. 13 385
Google Scholar
[8] Sochnikov I, Davino D, Kalisky B 2020 Phys. Rev. Appl. 14 014020
Google Scholar
[9] Granata C, Vettoliere A, Vaccarone R 2007 IEEE Trans. Appl. Supercond. 17 796
Google Scholar
[10] Koelle D, Kleiner R, Ludwig F, Dantsker E, John C 1999 Rev. Mod. Phys. 71 631
Google Scholar
[11] Enpuku K, Minotani T 2001 IEICE Trans Electron, E84C 43
[12] Faley M I, Dammers J, Maslennikov Y V, Schneiderman J F, Winkler D, Koshelets VP, Shah N J, Dunin-Borkowski R E 2017 Supercond. Sci. Technol. 30 83001
Google Scholar
[13] Bechstein S, Köhn C, Drung D, Jan-Hendrik S, Kieler O, Morosh V, Schurig T 2017 Supercond. Sci. Technol. 30 34007
Google Scholar
[14] Carmine Granata, Vettoliere Antonio 2016 Phys. Rep. 614 1
Google Scholar
[15] Cantor R, Hall J 2005 IEEE Trans. Appl. Supercond. 15 82
Google Scholar
[16] Xiong W, Ying L L, Wang H, Zhang G F, Wang Z 2015 Proceedings of 2015 IEEE International Conference on Applied Superconductivity and Electromagnetic Devices Shanghai China, November 20–23, 2015 p282
[17] Schmelz M, Zakosarenko V, Schönau T, Anders S, Kunert J, Meyer M, Meyer H G, Stolz R 2017 Supercond. Sci. Technol. 30 74010
Google Scholar
[18] Grönberg L, Kiviranta M, Vesterinen V, et al. 2017 Supercond. Sci. Technol. 30 125016
Google Scholar
[19] Storm J H, Kieler O, Korber R 2020 IEEE Trans. Appl. Supercond. 30 1
Google Scholar
[20] Zhang G F, Zhang X, Wang Y L, Rong L L, Xie X M, Wang Z 2019 Physica C Supercond. Appl. 562 32
Google Scholar
[21] Shnyrkov V I, Shapovalov A P, Lyakhno V Y, et al. 2023 Supercond. Sci. Technol. 36 035005
Google Scholar
[22] Xie M, Schneiderman J F, Chukharkin M, Kalaboukhov A, Whitmarsh S, Lundqvist D, Winkler D 2015 IEEE Trans. Appl. Supercond. 25 6940248
Google Scholar
[23] 倪志 2024 博士学位论文(上海: 中国科学院上海微系统与信息技术研究所
Ni Z 2024 Ph. D. Dissertation (shanghai: Shanghai Institute of Microsystem and Information Technology
[24] Ono R H, Koch J A, Steinbach A, Huber M E, Cromar M W 1997 IEEE Trans. Appl. Supercond. 7 2538
Google Scholar
[25] Enpuku K, Yoshida K, Kohjiro S 1986 J. Appl. Phys. 60 4218
Google Scholar
[26] Wang Y L, Zhang S L, Zhang G F, Xu X F, Zhang C X, Wang Y, Xie X M 2020 Physica C 575 1353685
Google Scholar
[27] Li H, Zhang M Y 2024 Physica C 625 1354575
Google Scholar
Catalog
Metrics
- Abstract views: 1749
- PDF Downloads: 48
- Cited By: 0









DownLoad: