-
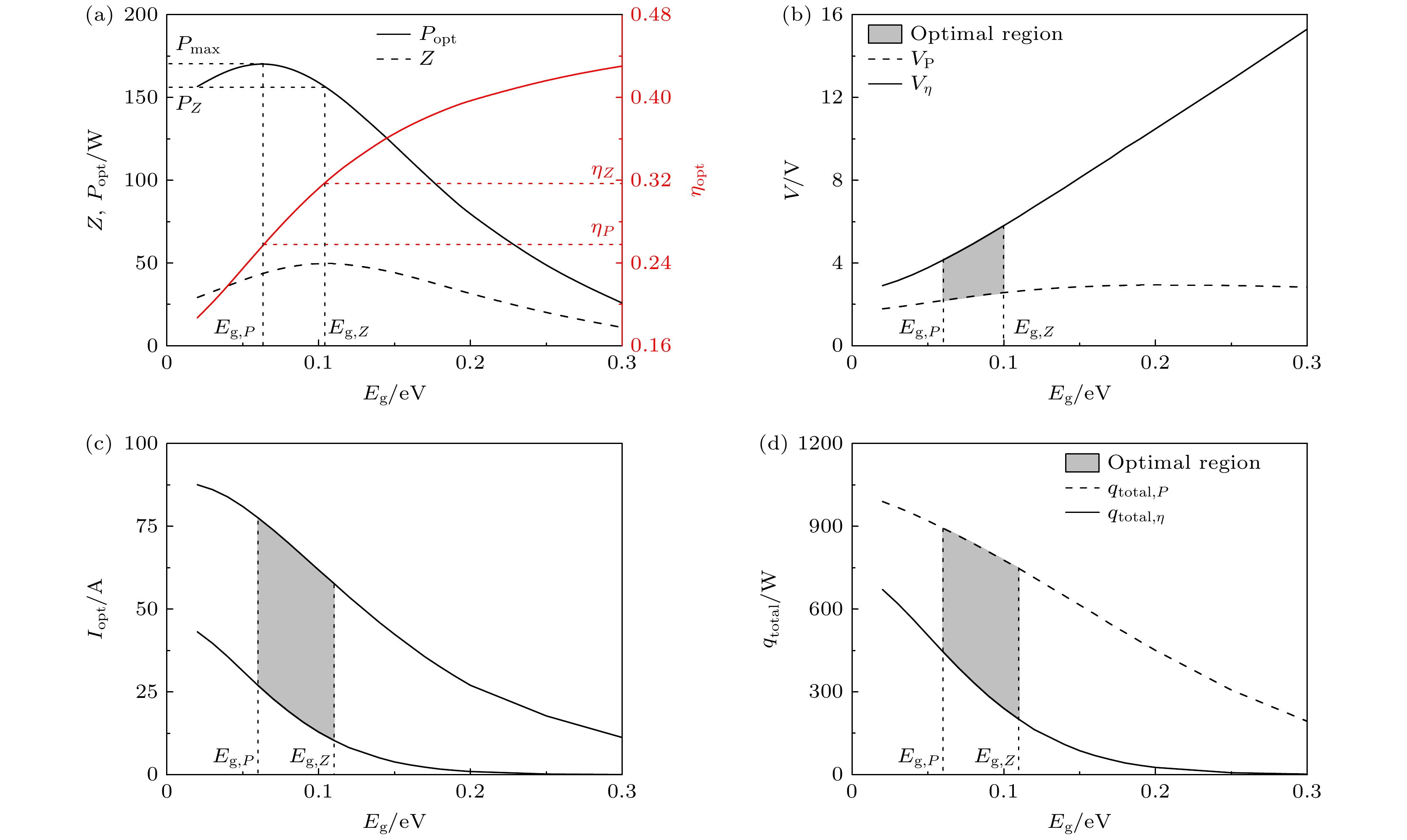
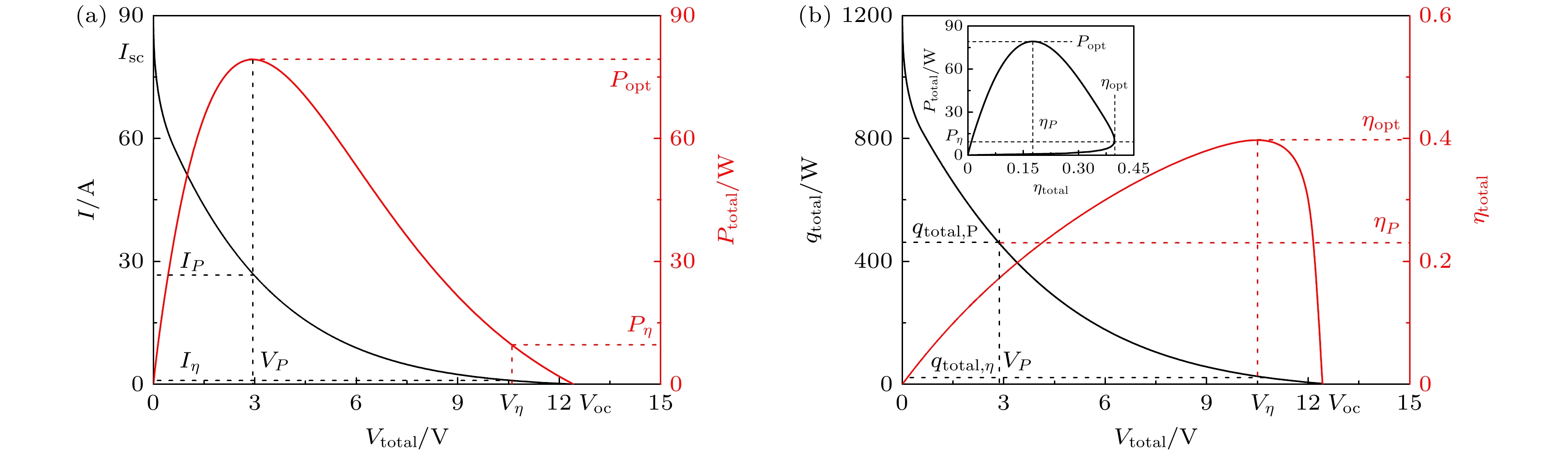
本文将多单元级联热辐射器件(TRD)应用于汽车尾气余热回收, 建立光子辐射传热、伏安特性与流体换热的耦合模型, 分析能量耦合机制, 旨在实现性能的协同优化. 基于傅里叶热传导定律与热辐射传递理论, 导出系统的能量约束方程、输出总功率和转换效率. 通过数值模拟, 获取尾气温度、TRD工作温度、环境温度随单元序号的变化规律, 进而揭示电压与半导体带隙对能量转换性能的调控机制. 研究表明, 尾气及TRD高温端温度均随单元序号而递减, 且同序号下随电流增大而降低; TRD低温端及环境温度因热累积和级联加热效应上升, 并随电流增大而升高, 体现了电学输出与热过程的耦合关系. 电压升高会抑制辐射复合, 导致电流下降, 电功率在特定工作点达到局域最优. 系统总热流随电压升高而降低, 热电效率因电功和热流的非线性关系, 在特定电压下取得最优值, 实现电能输出与热耗散的平衡. 研究表明, 局域最优功率在带隙为0.06 eV时取得全局最大值170.45 W, 而局域最优效率随带隙增大呈先单调递增而后渐趋饱和的变化趋势. 为此, 本文引入以局部最优功率与效率的乘积为目标函数Z. 分析表明, 该函数在带隙为0.105 eV处取得最大值49.74 W, 有效协调了功率与转换效率之间的竞争关系, 为系统的多目标性能优化提供了新途径.A multi-unit thermoradiative device (TRD) is used for automotive exhaust waste heat recovery in this study. A coupled model integrating radiative heat transfer, current-voltage characteristics, and fluid heat exchange is established. Based on Fourier’s law of heat conduction and thermal radiative transfer theory, the energy constraint equations, total power output, and conversion efficiency of the system are derived. The variations of exhaust gas temperature, TRD operating temperature, and ambient temperature with unit number are obtained through numerical simulations, thereby revealing the regulation mechanisms of voltage and semiconductor bandgap on energy conversion performance. Results show that the temperatures of the exhaust gas and the hot side of the TRD decrease with the increase of unit number and also decreases with the increase of current at the same unit position. In contrast, the cold side of the TRD and the ambient temperature rise due to heat accumulation and cascading heating effects, and further increase with current rising, reflecting the coupling between electrical output and thermal processes. Increasing the voltage suppresses radiative recombination, leading to reduced current, while the electrical power reaches a maximum at a specific operating point. The total heat flux is reduced as voltage increases. Because of the nonlinear relationship between electrical power and heat flux, efficiency attains an optimum value at a specific voltage, achieving a balance between electrical output and heat dissipation. This study demonstrates that the locally optimal power reaches a global maximum value of 170.45 W at a bandgap of 0.06 eV, whereas the locally optimal efficiency increases monotonically with the increase of bandgap before saturating gradually. To address the inherent trade-off between power and efficiency, a target function Z defined as the product of locally optimal power and efficiency is introduced. Numerical analysis reveals that Z attains its maximum value of 49.74 W at a bandgap of 0.105 eV, effectively balancing the competing objectives of power output and energy conversion efficiency. This study provides a new method for optimizing the performance of thermoelectric systems.
-
Keywords:
- thermoradiative devices /
- waste heat recovery /
- energy conversion /
- semiconductor band-gap /
- electrical-thermal coupling
-
图 1 (a) TRDs的结构图和(b)单个TRD的能带图[4]
Fig. 1. (a) Structure diagram of TRDs and (b) energy band diagram of a single TRD.
表 1 系统参数取值
Table 1. parametric selections of the system.
参数 取值 $ {C}_{\text{p,gas}} $/(J·kg–1·K–1)[31] 841 $ {C}_{\text{p,air}} $/(J·kg–1·K–1) [32] 1003 $ {\overline{M}}_{\text{air}} $/(kg·mol–1) [33] 2.89×10–2 Do/mm 54 Di/mm 50 L/m 1 μ/(Pa·s)[22] 3.01×10–⁵ κgas/(W·m–1·K–1)[34] 0.0472 $ {A}_{\text{air}} $/m2 3×10–3 $ {A}_{{j}} $/m2 0.01 $ {T}_{\text{g,in},j=1} $/K 600 $ {v}_{\text{gas}} $/(m·s–1)[35] 12 $ {v}_{\text{air}} $/(m·s–1) [35] 10 -
[1] 吴限量, 张德贤, 蔡宏琨, 周严, 倪牮, 张建军 2015 64 096102
Google Scholar
Wu X L, Zhang D X, Cai H K, Zhou Y, Ni J, Zhang J J 2015 Acta Phys. Sin. 64 096102
Google Scholar
[2] 熊家骋, 黄哲群, 张恒, 王启祥, 崔可航 2024 73 144402
Google Scholar
Xiong J C, Huang Z Q, Zhang H, Wang Q X, Cui K H 2024 Acta Phys. Sin. 73 144402
Google Scholar
[3] Strandberg R 2015 J. Appl. Phys. 117 055105
Google Scholar
[4] Nielsen M P, Pusch A, Pearce P M, Sazzad M H, Reece P J, Green M A, Ekins-Daukes N J 2024 Nat. Photonics 18 1137
Google Scholar
[5] Santhanam P, Fan S 2016 Phys. Rev. B 13 161410
[6] 吴小虎, 张纪红, 张欣 2025 光电工程 52 250069
Wu X H, Zhang J H, Zhang X 2025 Opto-Electron Eng. 52 250069
[7] Lin C W, Wang B N, Teo K H, Zhang Z M 2017 J. Appl. Phys. 122 243103
Google Scholar
[8] Callahan W A, Feng D, Zhang Z M, Toberer E S, Ferguson A J, Tervo E J 2021 Phys. Rev. Appl. 15 054035
Google Scholar
[9] Ono M, Santhanam P, Li W, Zhao B, Fan S 2019 Appl. Phys. Lett. 114 161102
Google Scholar
[10] Fernández J J 2017 IEEE Trans. Electron Devices 64 250
Google Scholar
[11] Feng D D, Ruan X L 2025 ACS Nano 19 17357
Google Scholar
[12] 张学志, 李炜 2025 发光学报 46 1129
Zhang X Z, Li W 2025 Chin. J. Lumin. 46 1129
[13] Harada Y, Nishii F, Kita T 2025 Sci. Rep. 15 7452
Google Scholar
[14] Bohm P, Menon A K, Zhang Z M 2025 J. Appl. Phys. 137 225001
Google Scholar
[15] https://www.nasa.gov/directorates/stmd/niac/niac-studies/radioisotope-thermoradiative-cell-power-generator-2/
[16] Zhang X, Li J, Xiong Y, Ang Y S 2022 Energy 258 124940
Google Scholar
[17] Zhang X, Du J Y, Ang Y S, Chen J C, Ang L K 2019 Energy Convers. Manage. 198 111842
Google Scholar
[18] Bao Z J, Huang Y W, Chen X G, Zou Y F 2023 Int. J. Hydrogen Energy 48 31708
Google Scholar
[19] Liao T J, Dai Y W, Cheng C, He Q J, Li Z, Ni M 2021 J. Power Sources 512 230538
Google Scholar
[20] Peng W L, Li H W, Gonzalez-Ayala J, Mohtaram S, Zhang J, Sheng X M, Chen J C 2025 Appl. Thermal Eng. 279 128049
Google Scholar
[21] Wang Y C, Dai C S, Wang S X 2013 Appl. Energy 112 1171
Google Scholar
[22] Luo D, Wang R C, Yu W, Zhou W Q 2020 Appl. Energy 270 115181
Google Scholar
[23] Liao T J, Xiao J J, Xu Y T, Lin B H 2021 Thermal Sci. Eng. Prog. 25 101040
Google Scholar
[24] Yang Z M, Zhang Y C, Dong Q C, Lin J, Lin G X, Chen J C 2018 Renew. Energy 121 28
Google Scholar
[25] Zhang Z W, Huang Y W, Sun W C 2024 Appl. Thermal Eng. 236 121899
Google Scholar
[26] Zhang X, Peng W L, Lin J, Chen X H, Chen J C 2017 J. Appl. Phys. 122 174505
Google Scholar
[27] Liao T J, Zhang X, Chen X H, Lin B H, Chen J C 2017 Opt. Lett. 42 3236
Google Scholar
[28] 廖天军, 韩冬冰, 杨智敏 2025 光学学报 45 1125002
Google Scholar
Liao T J, Han D B, Yang Z M 2025 Acta Opt. Sin. 45 1125002
Google Scholar
[29] 廖天军, 吕贻祥 2020 69 057202
Google Scholar
Liao T J, Lü Y X 2020 Acta Phys. Sin. 69 057202
Google Scholar
[30] Liao T J, Yang Z M, Chen X H, Chen J C, 2019 IEEE Trans. Electron Devices 66 1386
Google Scholar
[31] Abbasi H R, Yavarinasab A, Roohbakhsh S 2021 Journal of CO2 Utilization 51 101630
[32] 张学镭, 王松岭, 陈海平 2006 汽轮机技术 48 179
Zhang X L, Wang S L, Chen H P 2006 Turbine Technol. 48 179
[33] 梁继, 王建, 谭俊磊, 李红星, 刘艳, 夏诗婷 2019 遥感学报 23 476
Liang J, Wang J, Tan J L, Li H X, Liu Y, Xia S T 2019 J. Remote Sens. 23 476
[34] 何欣欣, 裴东升, 陈会勇, 薛志恒, 张朋飞, 程福宁 2021 热力发电 50 27
He X X, Pei D S, Chen H Y, Xue Z H, Zhang P F, Cheng F N 2021 Thermal Power Generat. 50 27
[35] 袁志群, 谷正气, 何忆斌, 汪怡平, 陈细军 2010 系统仿真学报 22 1832
Yuan Z Q, Gu Z Q, He Y B, Wang Y P, Chen X J 2010 J. Syst. Simulat. 22 1832
[36] Vurgaftman I, Meyer J R 2023 APL Energy 1 036111
Google Scholar
计量
- 文章访问数: 176
- PDF下载量: 2
- 被引次数: 0








下载: