-
设计新型混沌系统能够丰富加密系统的候选资源, 是基于混沌加密安全性的重要途径. 离散忆阻器因其固有的非线性特性与电路友好特性, 为构建新型混沌系统提供了有效途径. 然而, 其在复值离散混沌系统中的应用仍有待探索. 为此, 本文构建了一种基于离散忆阻器的复高斯混沌模型, 其中忆阻器由复数模长驱动. 通过李雅普诺夫指数、分岔图和相图等数值仿真分析, 验证了该系统具有增强的混沌特性. 同时, 在FPGA数字平台上实现了该模型的硬件部署, 证明其硬件可行性. 基于该模型生成的复值混沌序列, 本文进一步设计了一种双图像加密方案, 将两幅图像视为复数矩阵的实部和虚部, 通过混沌序列进行置乱和扩散操作. 仿真结果表明, 该加密方案具有高安全性, 能够抵抗多种攻击.The exploration of complex-valued chaos not only provides a feasible approach for practical applications such as image encryption, but also has great potential in simulating wave phenomena and quantum inspired process. In order to bridge it with nonlinear circuit components, we introduce a novel complex-valued chaotic system by embedding a discrete memristor into a complex Gaussian map. The memristor, a component with inherent physical memory, is uniquely driven by the modulus of the complex state variable, which is a key physical quantity often related to energy or amplitude in wave systems. This coupling induces complex nonlinear dynamics, which are physically characterized through Lyapunov exponents and bifurcation analysis, revealing an enhanced and more robust chaotic regime. The physical feasibility of this system is demonstrated by its successful hardware realization on an FPGA platform. To demonstrate its potential applications, we leverage the complex chaotic flows of the system to engineer a dual-image encryption scheme, where the encryption process is explained as a physical diffusion and scrambling of information represented by a complex matrix. Our results verify that this approach not only yields a cryptosystem with high security but also provides a link between complex chaos and information security applications.
[1] 周双, 尹彦力, 王诗雨, 张盈谦 2024 73 210501
Google Scholar
Zhou S, Yin Y L, Wang S Y, Zhang Y Q 2024 Acta Phys. Sin. 73 210501
Google Scholar
[2] Bao H, Wang R M, Tang H G, Chen M, Bao B C 2025 IEEE Internet Things J. 12 20902
Google Scholar
[3] Deng Q L, Wang C H, Sun Y C, Yang G 2025 IEEE Trans. Cybern. 55 3926
Google Scholar
[4] 赖强, 王君, 黄大勋 2025 74 200501
Google Scholar
Lai Q, Wang J, Huang D X 2025 Acta Phys. Sin. 74 200501
Google Scholar
[5] Deng Q L, Wang C H, Yang G, Luo D W 2025 IEEE Internet Things J. 12 25559
Google Scholar
[6] Yu F, He S Q, Yao W, Cai S, Xu Q 2025 IEEE Trans. Comput. Aid. Des. 44 1
Google Scholar
[7] Zhou L L, Lin Z Q, Tan F, Chen P Y 2025 Expert Syst. Appl. 281 127475
Google Scholar
[8] Luo D W, Wang C H, Liang J H, Deng Q L 2025 Nonlinear Dyn. 113 29983
Google Scholar
[9] Chen W, Wang Y C, Shi C, Shen G L, Li M Y, Liu Y, Hei X H 2025 Neural Netw. 191 107799
Google Scholar
[10] Li H D, Min F H 2025 IEEE Int. Things J. 12 29018
Google Scholar
[11] Bao H, Fan Z, Hua Z Y, Zhang Y Z, Xu Q, Bao B C 2025 Expert Syst. Appl. 290 128448
Google Scholar
[12] 王璇, 杜健嵘, 李志军, 马铭磷, 李春来 2024 73 110503
Google Scholar
Wang X, Du J R, Li Z J, Ma M L, Li C L 2024 Acta Phys. Sin. 73 110503
Google Scholar
[13] Yu F, Tan B H, He T, He S Q, Huang Y Y, Cai S, Lin H R 2025 Mathematics 13 726
Google Scholar
[14] Zhang Y X, Hua Z Y, Bao H, Huang H J 2024 IEEE Trans. Circuits Syst. I 71 2783
Google Scholar
[15] Hua Z Y, Yao J H, Zhang Y X, Bao H, Yi S 2025 IEEE Trans. Ind. Inf. 21 85
Google Scholar
[16] Yao J H, Zhang Y X, Bao H, Hua Z Y 2025 Chaos Soliton. Fract. 197 116453
Google Scholar
[17] Rani M, Agarwal R 2009 Chaos Soliton. Fract. 42 447
Google Scholar
[18] Ayubi P, Barani M J, Valandar M Y, Irani B Y, Sadigh R S M 2021 Artif. Intell. Rev. 54 1237
Google Scholar
[19] Yu Y J, Ren S G, Yang L, Li Y, Miao X S 2025 Sci. China Inf. Sci. 68 139402
Google Scholar
[20] Deng Q L, Wang C H, Sun Y C, Xu C, Lin H R, Deng Z K 2025 IEEE Trans. Comput. Aid. Des. 44 4701
Google Scholar
[21] Zhang X, Li C B, Moroz I, Huang K, Liu Z H 2025 Nonlinear Dyn. 113 15487
Google Scholar
[22] Bao H, Fan J H, Hua Z Y, Xu Q, Bao B C 2025 IEEE Internet Things J. 12 31843
Google Scholar
[23] Gao S, Ho-Ching-Iu H, Erkan U, Simsek C, Toktas A, Cao Y H, Wu R, Mou J, Li Q, Wang C P 2025 IEEE Trans. Circuits Syst. Video Technol. 35 7706
Google Scholar
[24] Al Qurashi M, Asif Q U A, Chu Y M, Rashid S, Elagan S K 2023 Results Phys. 51 106627
Google Scholar
[25] Almatroud A O, Grassi G, Khennaoui A A, Abbes A, Ouannas A, Alshammari S, Albosaily S 2024 Alexandria Eng. J. 93 1
Google Scholar
[26] Li H D, Min F H 2025 IEEE Trans. Circuits Syst. I 72 4820
Google Scholar
[27] Wang C H, Li Y F, Yang G, Deng Q L 2025 Mathematics 13 1600
Google Scholar
[28] Yu F, Zhang S K, Su D, Wu Y Y, Yumba Musoya G, Yin H G 2025 Fractal Fractional 9 115
Google Scholar
[29] Deng Q L, Wang C H, Sun Y C, Yang G 2025 IEEE Trans. Circuits Syst. I 72 300
Google Scholar
[30] Luo D W, Wang C H, Deng Q L, Yang G 2025 Nonlinear Dyn. 113 28381
Google Scholar
[31] Fan C L, Ding Q 2025 Chaos Soliton. Fract. 191 115905
Google Scholar
[32] Zhang S, He D Z, Li Y X, Lu D R, Li C B 2025 IEEE Trans. Autom. Sci. Eng. 22 17828
Google Scholar
[33] Yu F, Su D, He S Q, Wu Y Y, Zhang S K, Yin H G 2025 Chin. Phys. B 34 050502
Google Scholar
[34] 张红伟, 付常磊, 潘志鹏, 丁大为, 王金, 杨宗立, 刘涛 2024 73 180501
Google Scholar
Zhang H W, Fu C L, Pan Z P, Ding D W, Wang J, Yang Z L, Liu T 2024 Acta Phys. Sin. 73 180501
Google Scholar
[35] 赖强, 秦铭宏 2025 电子信息学报 47 3262
Google Scholar
Lai Q, Qin M H 2025 J. Electron. Inf. Technol. 47 3262
Google Scholar
[36] 赖强, 秦铭宏 2025 贵州师范大学学报(自然科学版) 43 1
Google Scholar
Lai Q, Qin M H 2025 J. Guizhou Norm. Univ. (Nat. Sci.) 43 1
Google Scholar
[37] 赖强, 王君 2024 73 180503
Google Scholar
Lai Q, Wang J 2024 Acta Phys. Sin. 73 180503
Google Scholar
[38] Yu F, Yumba Musoya G, Guo R, Ying Z, Xu J, Yao W, Jin J, Lin H 2025 Axioms 14 638
Google Scholar
[39] Zhao Q H, Bao H, Zhang X, Wu H G, Bao B C 2024 Chaos Soliton. Fract. 182 114769
Google Scholar
[40] An X L, Liu S Y, Li X, Zhang J G, Li X Y 2024 Expert Syst. Appl. 243 122899
Google Scholar
[41] An T, Gao T, Chen T, Jiang D 2025 Complex Intell. Syst. 11 319
Google Scholar
[42] Zhong Y M, Lai Q, Zhu C K, Qin M H 2026 Comput. Stand. Interfaces 95 104051
Google Scholar
[43] Zhao Y, Zheng M, Zhang Y, Yuan M, Zhou H 2024 Nonlinear Dyn. 112 19515
Google Scholar
-
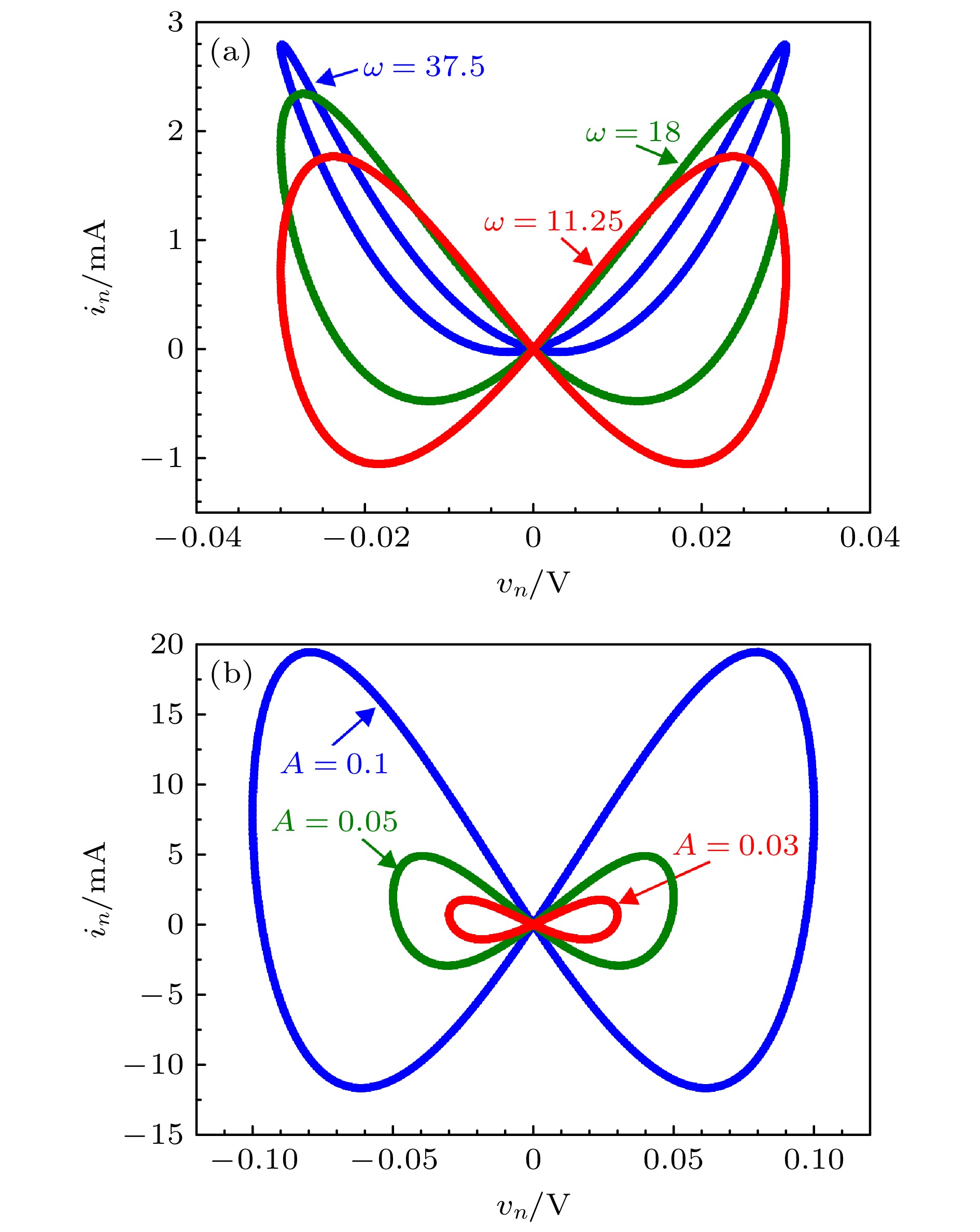
图 1 施加$ v_n=A\sin (\omega n) $时忆阻器的磁滞回线 (a)固定A = 0.03, ω分别取11.25, 18, 37.5; (b) 固定ω = 11.25, A分别取0.03, 0.05, 0.1
Fig. 1. Pinched hysteresis loops of the memristor when applying $ v_n=A\sin (\omega n) $: (a) Fixed A = 0.03, ω selected as 11.25, 18 and 37.5; (b) fixed ω = 11.25, A selected as 0.03, 0.05 and 0.1.
图 4 依赖于耦合参数b的动力学行为仿真 (a1), (a2) 固定$ b_{\mathrm{i}} = 0.1 $, $ b_{\mathrm{r}}\in[0, 1] $; (b1), (b2)固定$ b_{\mathrm{r}} = 0.1 $,$ b_{\mathrm{i}} \in [-0.8, 0.8]$
Fig. 4. The coupling parameter b-dependent dynamical behavior simulations: (a1), (a2) $ b_{\mathrm{r}}\in[0, 1] $ with $ b_{\mathrm{i}}=0.1 $; (b1), (b2) $ b_{\mathrm{i}}\in[-0.8, 0.8] $ with $ b_{\mathrm{r}}=0.1 $
图 5 在$ y{\text{-}}z_{\mathrm{r}} $(红色)和$ y{\text{-}}z_{\mathrm{i}} $(蓝色)平面上的相图 (a) 混沌吸引子, $ b_{\mathrm{r}} $ = 0.1; (b) 周期吸引子, $ b_{\mathrm{r}} $ = 0.3; (c) 混沌吸引子, $ b_{\mathrm{r}} $ = 0.4; (d) 准周期吸引子, $ b_{\mathrm{r}} $ = 0.9
Fig. 5. Phase portrait in $ y \text{-}z_{\mathrm{r}} $ (red) and $ y \text{-}z_{\mathrm{i}} $ (blue) plane: (a) Chaotic attractor with $ b_{\mathrm{r}} $ = 0.1; (b) periodic attractor with $ b_{\mathrm{r}} $ = 0.3; (c) chaotic attractor with $ b_{\mathrm{r}} $ = 0.4; (d) quasi-periodic attractor with $ b_{\mathrm{r}} $ = 0.9
图 11 基于FPGA产生混沌序列与数值仿真之间的误差统计 (a)绝对误差分布; (b)绝对误差累积分布函数; (c)误差指标对比; (d)绝对误差分布直方图
Fig. 11. Error statistics between FPGA-generated chaotic sequence and numerical simulation: (a) Absolute error distribution; (b) cumulative distribution function of absolute errors; (c) comparison of error metrics; (d) histogram of absolute error distribution.
图 15 图像的像素相关性分布 (a1)水平方向, (a2)垂直方向, (a3)对角方向的原始图像; (b1)水平方向, (b2)垂直方向, (b3)对角方向的加密图像
Fig. 15. Distribution of pixel correlations in images: Original image in (a1) horizontal direction, (a2) vertical direction, (a3) diagonal direction; encrypted image in (b1) horizontal direction, (b2) vertical direction, (b3) diagonal direction.
图 16 数据丢失与噪声攻击测试结果 (a1) 图像I1密文遭受30%数据丢失后的图像; (a2) 从数据丢失后的密文恢复出的图像; (b1) 图像I1密文添加强度为30%的椒盐噪声后的图像; (b2) 从被添加噪声后的密文中恢复的图像
Fig. 16. Test results of data loss and noise attacks: (a1) Ciphertext images of I1 with 30% loss; (a2) recovered images from ciphertext after data loss; (b1) ciphertext images of I1 with 30% intensity of pepper and salt noise; (b2) recovered images from the ciphertext after adding noise.
表 1 原始图像和加密图像的相关性系数
Table 1. Correlation coefficients of original and encrypted images
图像 原始图像 密文图像 H V D H V D I1 Cameraman 0.9576 0.9259 0.9147 0.0015 0.0027 –0.0034 House 0.9669 0.9460 0.9779 0.0012 –0.0021 0.0011 I2 Pepper 0.9439 0.9585 0.9106 –0.0092 0.0071 –0.0099 Starfish 0.9630 0.9357 0.8983 –0.0016 0.0037 –0.0055 I3 Butterfly 0.9310 0.9388 0.9017 0.0080 –0.0011 0.0008 Aircraft 0.9037 0.9122 0.8427 0.0023 –0.0088 0.0014 I4 Parrot 0.9406 0.9532 0.9199 0.0037 0.0093 –0.0074 Lena 0.9716 0.9437 0.9240 0.0019 –0.0010 0.0092 表 2 原始图像和加密图像的信息熵
Table 2. Information entropy of original and encrypted images
图像 原始图像 密文图像 I1 Cameraman 7.0875 7.9987 House 6.7152 7.9989 I2 Pepper 7.5498 7.9983 Starfish 7.6959 7.9979 I3 Butterfly 7.6420 7.9991 Aircraft 6.9593 7.9989 I4 Parrot 7.6624 7.9986 Lena 7.6591 7.9979 表 3 与现有加密方案安全性能对比
Table 3. Comparison of security performance with existing encryption schemes
-
[1] 周双, 尹彦力, 王诗雨, 张盈谦 2024 73 210501
Google Scholar
Zhou S, Yin Y L, Wang S Y, Zhang Y Q 2024 Acta Phys. Sin. 73 210501
Google Scholar
[2] Bao H, Wang R M, Tang H G, Chen M, Bao B C 2025 IEEE Internet Things J. 12 20902
Google Scholar
[3] Deng Q L, Wang C H, Sun Y C, Yang G 2025 IEEE Trans. Cybern. 55 3926
Google Scholar
[4] 赖强, 王君, 黄大勋 2025 74 200501
Google Scholar
Lai Q, Wang J, Huang D X 2025 Acta Phys. Sin. 74 200501
Google Scholar
[5] Deng Q L, Wang C H, Yang G, Luo D W 2025 IEEE Internet Things J. 12 25559
Google Scholar
[6] Yu F, He S Q, Yao W, Cai S, Xu Q 2025 IEEE Trans. Comput. Aid. Des. 44 1
Google Scholar
[7] Zhou L L, Lin Z Q, Tan F, Chen P Y 2025 Expert Syst. Appl. 281 127475
Google Scholar
[8] Luo D W, Wang C H, Liang J H, Deng Q L 2025 Nonlinear Dyn. 113 29983
Google Scholar
[9] Chen W, Wang Y C, Shi C, Shen G L, Li M Y, Liu Y, Hei X H 2025 Neural Netw. 191 107799
Google Scholar
[10] Li H D, Min F H 2025 IEEE Int. Things J. 12 29018
Google Scholar
[11] Bao H, Fan Z, Hua Z Y, Zhang Y Z, Xu Q, Bao B C 2025 Expert Syst. Appl. 290 128448
Google Scholar
[12] 王璇, 杜健嵘, 李志军, 马铭磷, 李春来 2024 73 110503
Google Scholar
Wang X, Du J R, Li Z J, Ma M L, Li C L 2024 Acta Phys. Sin. 73 110503
Google Scholar
[13] Yu F, Tan B H, He T, He S Q, Huang Y Y, Cai S, Lin H R 2025 Mathematics 13 726
Google Scholar
[14] Zhang Y X, Hua Z Y, Bao H, Huang H J 2024 IEEE Trans. Circuits Syst. I 71 2783
Google Scholar
[15] Hua Z Y, Yao J H, Zhang Y X, Bao H, Yi S 2025 IEEE Trans. Ind. Inf. 21 85
Google Scholar
[16] Yao J H, Zhang Y X, Bao H, Hua Z Y 2025 Chaos Soliton. Fract. 197 116453
Google Scholar
[17] Rani M, Agarwal R 2009 Chaos Soliton. Fract. 42 447
Google Scholar
[18] Ayubi P, Barani M J, Valandar M Y, Irani B Y, Sadigh R S M 2021 Artif. Intell. Rev. 54 1237
Google Scholar
[19] Yu Y J, Ren S G, Yang L, Li Y, Miao X S 2025 Sci. China Inf. Sci. 68 139402
Google Scholar
[20] Deng Q L, Wang C H, Sun Y C, Xu C, Lin H R, Deng Z K 2025 IEEE Trans. Comput. Aid. Des. 44 4701
Google Scholar
[21] Zhang X, Li C B, Moroz I, Huang K, Liu Z H 2025 Nonlinear Dyn. 113 15487
Google Scholar
[22] Bao H, Fan J H, Hua Z Y, Xu Q, Bao B C 2025 IEEE Internet Things J. 12 31843
Google Scholar
[23] Gao S, Ho-Ching-Iu H, Erkan U, Simsek C, Toktas A, Cao Y H, Wu R, Mou J, Li Q, Wang C P 2025 IEEE Trans. Circuits Syst. Video Technol. 35 7706
Google Scholar
[24] Al Qurashi M, Asif Q U A, Chu Y M, Rashid S, Elagan S K 2023 Results Phys. 51 106627
Google Scholar
[25] Almatroud A O, Grassi G, Khennaoui A A, Abbes A, Ouannas A, Alshammari S, Albosaily S 2024 Alexandria Eng. J. 93 1
Google Scholar
[26] Li H D, Min F H 2025 IEEE Trans. Circuits Syst. I 72 4820
Google Scholar
[27] Wang C H, Li Y F, Yang G, Deng Q L 2025 Mathematics 13 1600
Google Scholar
[28] Yu F, Zhang S K, Su D, Wu Y Y, Yumba Musoya G, Yin H G 2025 Fractal Fractional 9 115
Google Scholar
[29] Deng Q L, Wang C H, Sun Y C, Yang G 2025 IEEE Trans. Circuits Syst. I 72 300
Google Scholar
[30] Luo D W, Wang C H, Deng Q L, Yang G 2025 Nonlinear Dyn. 113 28381
Google Scholar
[31] Fan C L, Ding Q 2025 Chaos Soliton. Fract. 191 115905
Google Scholar
[32] Zhang S, He D Z, Li Y X, Lu D R, Li C B 2025 IEEE Trans. Autom. Sci. Eng. 22 17828
Google Scholar
[33] Yu F, Su D, He S Q, Wu Y Y, Zhang S K, Yin H G 2025 Chin. Phys. B 34 050502
Google Scholar
[34] 张红伟, 付常磊, 潘志鹏, 丁大为, 王金, 杨宗立, 刘涛 2024 73 180501
Google Scholar
Zhang H W, Fu C L, Pan Z P, Ding D W, Wang J, Yang Z L, Liu T 2024 Acta Phys. Sin. 73 180501
Google Scholar
[35] 赖强, 秦铭宏 2025 电子信息学报 47 3262
Google Scholar
Lai Q, Qin M H 2025 J. Electron. Inf. Technol. 47 3262
Google Scholar
[36] 赖强, 秦铭宏 2025 贵州师范大学学报(自然科学版) 43 1
Google Scholar
Lai Q, Qin M H 2025 J. Guizhou Norm. Univ. (Nat. Sci.) 43 1
Google Scholar
[37] 赖强, 王君 2024 73 180503
Google Scholar
Lai Q, Wang J 2024 Acta Phys. Sin. 73 180503
Google Scholar
[38] Yu F, Yumba Musoya G, Guo R, Ying Z, Xu J, Yao W, Jin J, Lin H 2025 Axioms 14 638
Google Scholar
[39] Zhao Q H, Bao H, Zhang X, Wu H G, Bao B C 2024 Chaos Soliton. Fract. 182 114769
Google Scholar
[40] An X L, Liu S Y, Li X, Zhang J G, Li X Y 2024 Expert Syst. Appl. 243 122899
Google Scholar
[41] An T, Gao T, Chen T, Jiang D 2025 Complex Intell. Syst. 11 319
Google Scholar
[42] Zhong Y M, Lai Q, Zhu C K, Qin M H 2026 Comput. Stand. Interfaces 95 104051
Google Scholar
[43] Zhao Y, Zheng M, Zhang Y, Yuan M, Zhou H 2024 Nonlinear Dyn. 112 19515
Google Scholar
计量
- 文章访问数: 417
- PDF下载量: 7
- 被引次数: 0








下载: