-
作为新一代的纤锌矿铁电材料, Al1–xScxN具有高的剩余极化强度、理想的矩形电滞回线、与CMOS后道工艺兼容、稳定的铁电相等优点. 作为近几年铁电领域的热点材料, 国内外科研人员进行了深入研究. 本文对Al1–xScxN铁电薄膜的研究进展进行了全面的综述. 在Al1–xScxN铁电性的影响因素方面, 讨论了Sc含量、衬底类型、沉积条件、薄膜厚度、测试频率及温度等因素对薄膜的作用. 在极化翻转机制方面, 详细阐述Al1–xScxN电畴特性、翻转动力学、形核位置等微观物理机制. 在应用前景上, Al1–xScxN薄膜在铁电随机存储器、铁电场效应管和铁电隧道结等铁电存储器中表现出巨大潜力, 为新一代高密度、低功耗铁电存储器及纳米电子器件的发展提供有力支持.
-
关键词:
- Al1–xScxN薄膜 /
- 铁电性 /
- 电畴翻转机制 /
- 铁电存储器
Al1–xScxN, as a new generation of wurtzite-type ferroelectric material, has become a focal point in ferroelectric materials research in recent years, due to its high remnant polarization, nearly ideal rectangular polarization-electric field hysteresis loops, inherent compatibility with back-end-of-line (BEOL) CMOS processes, and stable ferroelectric phase structure. The systematic and in-depth studies on the preparation, property modulation, and device applications of this material have been conducted. This paper provides a comprehensive review of the research progress of Al1–xScxN ferroelectric thin films. Regarding the factors influencing ferroelectric properties, it emphasizes the regulatory effects of Sc doping concentration on phase transition and coercive field, explores the influences of substrate (such as Si and Al2O3) and bottom electrode (such as Pt, Mo, and HfN0.4) on thin-film orientation, stress, and interface quality, and systematically summarizes the influences of deposition conditions, film thickness, testing frequency, and temperature on ferroelectric performance. At the level of physical mechanisms governing polarization switching, this review elaborates on the domain structure, domain wall motion dynamics, nucleation sites and growth mechanisms in the Al1–xScxN switching process, revealing its microscopic response behavior under external electric fields and the mechanisms underlying fatigue failure. In terms of application prospects, Al1–xScxN thin films show significant advantages in memory devices such as ferroelectric random-access memory (FeRAM), ferroelectric field-effect transistors (FeFETs), and ferroelectric tunnel junctions (FTJs). Their high performance and integration compatibility provide strong technical support for developing next-generation, high-density, low-power ferroelectric memory and nanoelectronic devices.-
Keywords:
- Al1–xScxN film /
- ferroelectricity /
- domain reversal mechanism /
- ferroelectric memory
-
图 2 (a), (b) Pr, Ec与Sc含量关系图[16]; (c) 不同Sc含量AlScN薄膜的XRD图谱[16]; (d) 不同Sc含量AlScN薄膜的XRD图谱[28]; (e) 纤锌矿转变为岩盐矿结构的Sc含量边界[16,23,28]
Fig. 2. (a), (b) Plots of Pr, Ec and Sc content[24]; (c) XRD patterns of AlScN thin films with varying Sc content[16]; (d) XRD patterns of AlScN thin films with varying Sc content[28]; (e) the critical Sc content boundary for the phase transition from the wurtzite to the rocksalt structure[16,23,28].
图 3 (a) 衬底示意图[34]; (b) 内部参数u、矫顽场Ec与衬底热膨胀系数之间的关系[34]; (c) 不同底电极沉积的不同Sc含量的AlScN薄膜的瞬态电流曲线[37]
Fig. 3. (a) Schematic diagram of the substrate[34]; (b) relationship between the internal parameter u, the coercive field Ec, and the thermal expansion coefficient of the substrate[34]; (c) I-V diagrams of AlScN thin films deposited on different bottom electrodes with different Sc contents[37].
图 4 不同工作气压下Al0.65Sc0.35N薄膜的表面形貌[40] (a) 0.32 Pa; (b) 0.52 Pa; (c) 0.70 Pa; (d) 0.90 Pa; (e), (f) 相应Al0.65Sc0.35N的漏电流及瞬态电流结果
Fig. 4. Surface morphology of Al0.65Sc0.35N films at different operating pressure[40]: (a) 0.32 Pa; (b) 0.52 Pa; (c) 0.70 Pa; (d) 0.90 Pa; (e), (f) leakage currents as well as I-E plots of the corresponding Al0.65Sc0.35N.
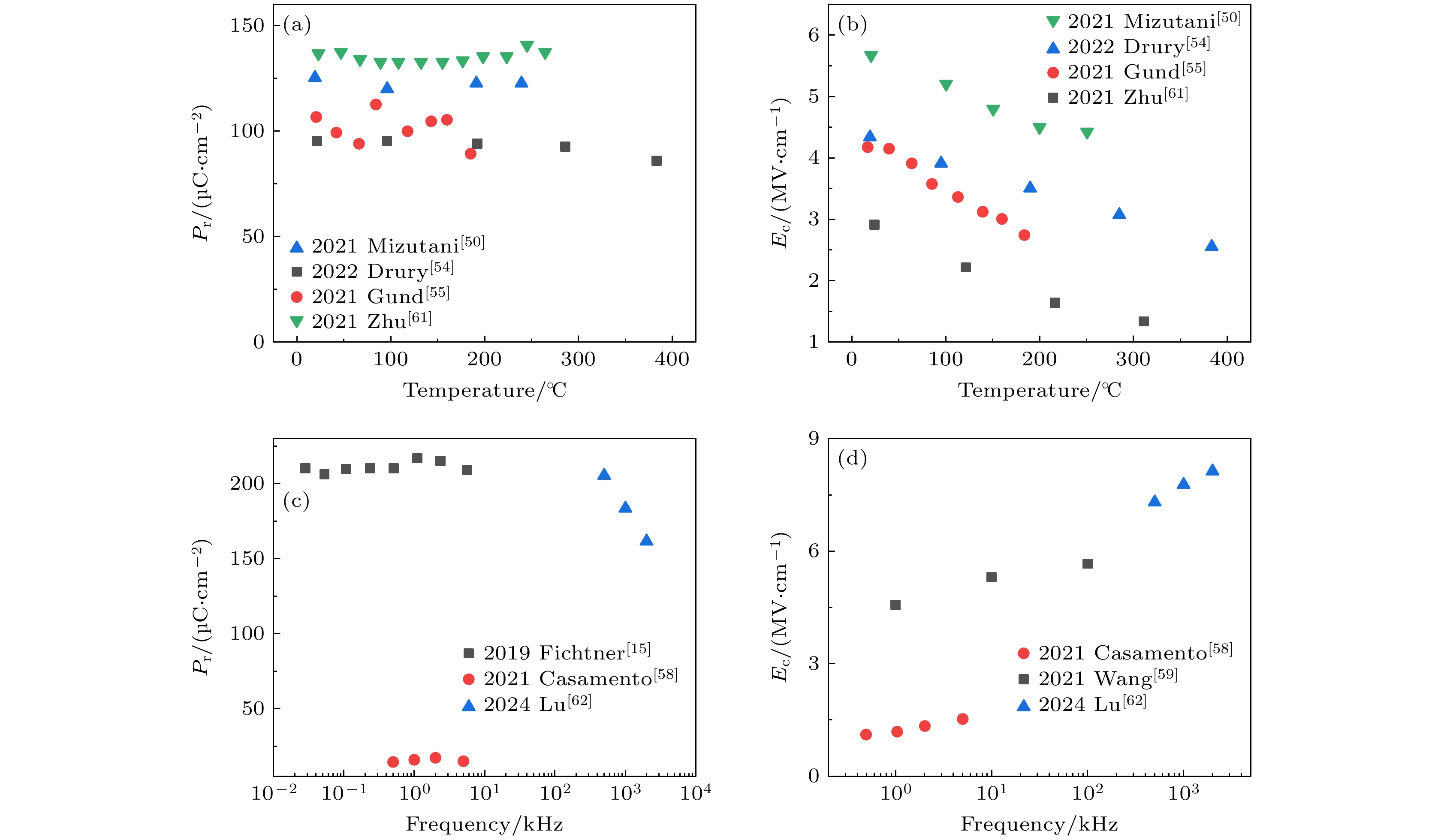
图 5 (a) Al0.64Sc0.36N薄膜的HRTEM图像, 插图为其原子分辨率TEM图像[44]; (b) 对应于图(a)中的彩色线条的原子平面上的强度-距离线剖面图, 用于计算平均晶面间距[44]; (c) 薄膜晶面间距增加的示意图[44]; (d)—(f) AlScN薄膜的Pr, Ec, c/a晶格常数与薄膜厚度的关系[19,21,22,46,47,49–51]
Fig. 5. (a) HRTEM image of Al0.64Sc0.36N film with its atomic resolution TEM image in the inset[44]; (b) intensity-distance line profiles on the atomic planes corresponding to the colored lines in panel (a) for calculating the average lattice spacing[44]; (c) schematic representation of the increase in lattice spacing of the films [44]; (d)–(f) AlScN film’s Pr, Ec, and c/a lattice constants versus film thickness[19,21,22,46,47,49–51].
图 7 (a) MOCVD生长的Al0.85Sc0.15N薄膜的ABF-STEM(中间图). 电容器下方的AlScN薄膜从底部界面(左图)到顶部电极(右图)完全呈现金属极性[63]. (b) PVD生长的Al0.72Sc0.28N薄膜的柱状晶粒结构以及以及n-GaN单晶衬底的缺陷的ABF-STEM. 插图展示了氮化镓为金属极性[51]. (c) 在n-GaN衬底上分别通过MOCVD和PVD沉积的AlScN薄膜的翻转电流和漏电流的比较[63]
Fig. 7. (a) ABF-STEM investigation of the MOCVD-grown Al0.85Sc0.15N film (center image). The atomic polarization of the AlScN film under the capacitor is identified to grow completely M-polar from the bottom interface (left image) toward the top electrode (right image)[63]. (b) ABF-STEM image showing the columnar grain structure of the PVD-grown Al0.72Sc0.28N film and defects in the single-crystalline n-GaN substrate. The inset illustrates the metal polarity of the GaN[51]. (c) Comparison of the switching and leakage current for AlScN films deposited on n-GaN substrates by MOCVD and PVD[63].
图 8 (a), (b) 400 ℃氮气退火前后Al0.7Sc0.3N薄膜的漏电流和P-E/J-E图[64]; (c), (d) 不同Al1–xScxN薄膜叠层示意图以及对应的Pr和Ec随着平均Sc含量变化图[65]
Fig. 8. (a), (b) Leakage current and P-E/J-E plots of Al0.7Sc0.3N thin films before and after nitrogen annealing at 400 ℃[64]; (c), (d) schematic diagrams of the stacking layers of different Al1–xScxN films and the corresponding plots of the variation of Pr and Ec versus the average Sc content[65].
图 9 (a) 在[11$ \bar{2} $0]轴上的Al0.72Sc0.28N/GaN外延结构的STEM图, 该结构在界面处为Al极性, 靠近表面处为N极性[51]; (b), (c) 不同厚度的Al2O3薄膜上HfZrO2与Al0.7Sc0.3N薄膜的极化损失Ploss与延迟时间的关系[70]; (d) Al2O3/HfZrO2和Al2O3/Al0.7Sc0.3N结构示意图[70]
Fig. 9. (a) STEM image of Al0.72Sc0.28N/GaN epitaxial structure on the [11$ \bar{2} $0] axis, which is Al-polar at the interface and N-polar close to the surface[51]; (b) and (c) Ploss versus delay time for HfZrO2 and Al0.7Sc0.3N films on Al2O3 films of different thicknesses[70]; (d) schematic diagrams of Al2O3/HfZrO2 and Al2O3/Al0.7Sc0.3N structures[70].
图 10 (a) 瞬态电流测量过程中使用的脉冲序列[62]; (b) 在不同脉冲电压下通过改变脉冲宽度(时间)得到的Al0.72Sc0.28N薄膜的极化强度以及通过KAI和NLS模型公式的拟合情况[62]; (c) 不同模型(KAI, NLS, SNNG)的电畴形核及生长示意图[74]
Fig. 10. (a) Pulse sequence used during transient current measurement, tdelay is the delay time between pulses and twidth is the pulse width[62]; (b) polarization of Al0.72Sc0.28N films obtained by varying the pulse width (time) at different pulse voltages and the fit through the KAI and NLS model equations [62]; (c) schematic diagrams of the nucleation and growth of domains for the different models (KAI, NLS, and SNNG)[74].
图 11 (a), (b) 在室温下对Al0.7Sc0.3N薄膜进行双极循环得到不同次数循环下的P-E电滞回线和静态漏电流曲线[79]; (c) 由图(b)得到的ln(J/E)-E0.5关系, 并根据Poole-Frenkel发射模型进行拟合[79]; (d)—(f) 通过施加小于Ec的双极脉冲或大于|Ec|的单极正/负脉冲得到的不同次数循环下的P-E电滞回线[79]; (h) Al0.7Sc0.3N完美晶胞的能带结构, 费米能级设为零, 并用水平虚线表示[79]; (i) 不同空位类型(VN, VSc和VAl)的Al0.7Sc0.3N的缺陷形成能随费米能级的变化关系, 其中EF = 0对应于价带底[79]
Fig. 11. (a), (b) P-E hysteresis loops and static leakage current curves obtained from bipolar cycling of Al0.7Sc0.3N film at room temperature for different numbers of cycles[79]; (c) ln(J/E)-E0.5 relationship obtained from panel (b) and fitted with the Poole-Frenkel emission model[79]; (d)—(f) P-E hysteresis loops obtained from applying either bipolar pulses less than Ec or the unipolar positive/negative pulses greater than |Ec|[79]; (h) the band structure of the perfect cell of Al0.7Sc0.3N model. The Fermi level is set to zero and represented by the horizontal dashed line[79]; (i) defect formation energies of Al0.7Sc0.3N models with different types of vacancy VN, VSc, and VAl in the relaxed configurations as a function of Fermi level. EF = 0 corresponds to VBM[79].
图 13 (a) Al/Al0.68Sc0.32N/Al铁电电容器在Al衬底上的横截面TEM结果以及Al0.68Sc0.32N在底/顶部界面的高分辨率TEM[87]; (b) Al/Al0.68Sc0.32N/Al电容器在1, 10和100 kHz下的J-E图[87]; (c), (d) PUND测试得到的极化强度以及计算得到的Al0.68Sc0.32N的剩余极化强度[87]; (e), (f) 通过PUND测试得到膜厚为5 nm的Al0.74Sc0.26N薄膜的J-V和C-V曲线[47]; (g) Al0.74Sc0.26N的Ec与膜厚的关系[47]
Fig. 13. (a) Cross-sectional TEM results of Al/Al0.68Sc0.32N/Al ferroelectricity capacitor on Al substrate and high-resolution TEM of Al0.68Sc0.32N at the bottom/top interface[87]; (b) J-E plots of Al/Al0.68Sc0.32N/Al capacitor at 1, 10 and 100 kHz[87]; (c), (d) polarization obtained from PUND tests and the calculated remnant polarization intensity of Al0.68Sc0.32N[87]; (e), (f) J-V and C-V curves of Al0.74Sc0.26N films with a film thickness of 5 nm by PUND tests[47]; (g) Ec versus film thickness of Al0.74 Sc0.26N [47].
图 14 (a) Al0.71Sc0.29N/多层MoS2组成的FeFET示意图[92]; (b) Al0.71Sc0.29N/MoS2基FeFET的室温PUND结果[92]; (c) FeFET在正向(红色)和反向(蓝色)扫描下的转移特性[93]; (d) FeFET在开/关状态下的耐久性测试[93]
Fig. 14. (a) Schematic diagram of FeFET composed of Al0.71Sc0.29N /multilayer MoS2[92]; (b) PUND results at room temperature of Al0.71Sc0.29N/MoS2-based FeFET[92]; (c) transfer characteristics of FeFET under forward (red) and reverse (blue) scans[93]; (d) endurance testing of FeFET in the on/off condition[93].
-
[1] Mikolajick T, Schroeder U, Slesazeck S 2020 IEEE Trans. Electron Devices 7 1434
[2] Martin L W, Rappe A M 2016 Nat. Rev. Mater. 2 16087
Google Scholar
[3] Amanuma K, Hase T, Miyasaka Y 1995 Appl. Phys. Lett. 66 221
Google Scholar
[4] Li A D, Ling H Q, Wu D, Yu T, Liu Z G, Ming N B 2003 Solid State Commun. 125 469
Google Scholar
[5] Fu Z, Chen X, Li Z, Hu T, Zhang L, Lu P, Zhang S, Wang G, Dong X, Xu F 2020 Nat. Commun. 11 3809
Google Scholar
[6] Nishino R, Fujita T C, Kagawa F, Kawasaki M 2020 Sci. Rep. 10 10864
Google Scholar
[7] Park M H, Kwon D, Schroeder U, Mikolajick T 2021 MRS Bull. 46 1071
Google Scholar
[8] Böscke T S, Müller J, Bräuhaus D, Schröder U, Böttger U 2011 Appl. Phys. Lett. 99 102903
Google Scholar
[9] Schroeder U, Park M H, Mikolajick T, Hwang C S 2022 Nat. Rev. Mater. 7 653
Google Scholar
[10] Park J, Kim T H, Kwon O, Ismail M, Mahata C, Kim Y, Kim S, Kim S 2022 Nano Energy. 104 107886
Google Scholar
[11] Johnson B, Jones J L 2019 Ferroelectr. Doped Hafnium Oxide Mater. Prop. Devices. 2019 25
[12] Park M H, Chung C C, Schenk T, Richter C, Opsomer K, Detavernier C, Adelmann C, Jones J L, Mikolajick T, Schroeder U 2018 Adv. Electron. Mater. 4 1800091
Google Scholar
[13] Goh Y, Hwang J, Lee Y, Kim M, Jeon S 2024 Appl. Phys. Lett. 117 242901
[14] Mikolajick T, Slesazeck S, Mulaosmanovic H, Park M H, Fichtner S, Lomenzo P D, Hoffmann M, Schroeder U 2021 J. Appl. Phys. 129 100901
Google Scholar
[15] Fichtner S, Wolff N, Lofink F, Kienle L, Wagner B 2019 J. Appl. Phys. 125 114103
Google Scholar
[16] Yazawa K, Mangum J S, Gorai P, Brennecka G L, Zakutayev A 2022 J. Mater. Chem. C. 10 17557
Google Scholar
[17] Tasnádi F, Alling B, H?glund C, Wingqvist G, Birch J, Hultman L, Abrikosov I A 2010 Phys. Rev. Lett. 104 137601
Google Scholar
[18] Lee C W, Yazawa K, Zakutayev A, Brennecka G L, Gorai P 2024 Sci. Adv. 10 eadl0848
Google Scholar
[19] Yasuoka S, Shimizu T, Tateyama A, Uehara M, Yamada H, Akiyama M, Hiranaga Y, Cho Y, Funakubo H 2020 J. Appl. Phys. 128 114103
Google Scholar
[20] Pradhan D K, Moore D C, Kim G, He Y, Musavigharavi P, Kim K H, Sharma N, Han Z, Du X, Puli V S, Stach E A, Joshua Kennedy W, Glavin N R, Olsson R H, Jariwala D 2024 Nat. Electron. 7 348
Google Scholar
[21] Fichtner S, Lofink F, Wagner B, Schonweger G, Kreutzer T N, Petraru A, Kohlstedt H 2020 Jt. Conf. IEEE Int. Freq. Control Symp. Int. Symp. Appl. Ferroelectr (IFCS-ISAF) Electric Network 2020 1
[22] Yasuoka S, Mizutani R, Ota R, Shiraishi T, Shimizu T, Yasui S, Ehara Y, Nishida K, Uehara M, Yamada H, Akiyama M, Imai Y, Sakata O, Funakubo H 2022 J. Ceram. Soc. Jpn. 130 436
Google Scholar
[23] Satoh S, Ohtaka K, Shimatsu T, Tanaka S 2022 J. Appl. Phys. 132 025103
Google Scholar
[24] Ye K H, Han G, Yeu I W, Hwang C S, Choi J H 2021 Phys. Status Solidi RRL 15 2100009
Google Scholar
[25] Hasegawa K, Shimizu T, Ohsawa T, Sakaguchi I, Ohashi N 2023 Appl. Phys. Lett. 123 192903
Google Scholar
[26] Xi J, Zhou D, Lü T, Tong Y, Kou Q, Zhao Y 2024 Mater. Today Commun. 39 108966
Google Scholar
[27] Biswas B, Saha B 2019 Phys. Rev. Mater. 3 020301
Google Scholar
[28] Zhao Y, Sui J, Zhou D, Tong Y, Kou Q, Xi J 2025 Ceram. Int. 51 5038
Google Scholar
[29] Shao S, Luo Z, Lu Y, Mazzalai A, Tosi C, Wu T 2022 J. Microelectromech. Syst. 31 328
Google Scholar
[30] Nie R, Shao S, Luo Z, Kang X, Wu T 2022 Micromachines 13 1629
Google Scholar
[31] Sandu C S, Parsapour F, Mertin S, Pashchenko V, Matloub R, LaGrange T, Heinz B, Muralt P 2019 Phys Status Solidi A 216 1800569
Google Scholar
[32] Hayden J, Hossain M D, Xiong Y, Ferri K, Zhu W, Imperatore M V, Giebink N, Trolier-McKinstry S, Dabo I, Maria J P 2021 Phys. Rev. Mater. 5 044412
Google Scholar
[33] Baeumler M, Lu Y, Kurz N, Kirste L, Prescher M, Christoph T, Wagner J, Žukauskaitė A, Ambacher O 2019 J. Appl. Phys. 126 045715
Google Scholar
[34] Yasuoka S, Mizutani R, Ota R, Shiraishi T, Shimizu T, Uehara M, Yamada H, Akiyama M, Funakubo H 2022 ACS Appl. Electron. Mater. 4 5165
Google Scholar
[35] Wang L M 2006 25th Int. Conf. Microelectron. Belgrade, Serbia Monteneg, May 14-17, 2006 615
[36] Jafari H, Ravan B A, Faghihnasiri M 2018 Solid State Commun. 282 21
Google Scholar
[37] McMitchell S R C, Walke A M, Banerjee K, Mertens S, Piao X, Mao M, Katcko K, Vellianitis G, Van Dal M, Lin Y M, Van Den Bosch G, Delhougne R, Kar G S 2023 ACS Appl. Electron. Mater. 5 858
Google Scholar
[38] Islam M R, Schönweger G, Wolff N, Petraru A, Kohlstedt H, Fichtner S, Kienle L 2023 ACS Appl. Mater. Interfaces 15 41606
Google Scholar
[39] Khánh N Q, Horváth Z E, Zolnai Z, Petrik P, Pósa L, Volk J 2024 Mater. Sci. Semicond. Process. 169 107902
Google Scholar
[40] Xi J, Zhou D, Tong Y, Zhao Y, Lü T 2024 Mater. Today Commun. 41 110834
Google Scholar
[41] Wang R, Yao D, Zhou J, Li Y, Jiang Z, Chen D, Ran X, Gao Y, Cheng Z, Wang Y, Liu Y, Hao Y, Han G 2024 ArXiv 2404.04863 [cond-mat. mtrl-sci]
[42] Chen S M, Hoshii T, Wakabayashi H, Tsutsui K, Chang E Y, Kakushima K 2024 Jpn. J. Appl. Phys. 63 03SP45
Google Scholar
[43] Kim K, Lee S 2006 J. Appl. Phys. 100 051604
Google Scholar
[44] Musavigharavi P, Meng A C, Wang D, Zheng J, Foucher A C, Olsson R H I, Stach E A 2021 J. Phys. Chem. C. 125 14394
Google Scholar
[45] Tsai S L, Hoshii T, Wakabayashi H, Tsutsui K, Chung T K, Chang E Y, Kakushima K 2021 Jpn. J. Appl. Phys. 60 SBBA05
Google Scholar
[46] Wang D, Wang P, Mondal S, Hu M, Wang D, Wu Y, Ma T, Mi Z 2023 Appl. Phys. Lett. 122 052101
Google Scholar
[47] Schönweger G, Wolff N, Islam M R, Gremmel M, Petraru A, Kienle L, Kohlstedt H, Fichtner S 2023 Adv. Sci. 10 2302296
Google Scholar
[48] Ryoo S K, Kim K D, Choi W, Sriboriboon P, Heo S, Seo H, Jang Y H, Jeon J W, Yeom M K, Lee S H, Park H S, Kim Y, Hwang C S 2025 Adv. Mater. 37 2413295
Google Scholar
[49] Schönweger G, Islam M R, Wolff N, Petraru A, Kienle L, Kohlstedt H, Fichtner S 2023 Phys. Status Solidi RRL 17 2200312
Google Scholar
[50] Mizutani R, Yasuoka S, Shiraishi T, Shimizu T, Uehara M, Yamada H, Akiyama M, Sakata O, Funakubo H 2021 Appl. Phys. Express. 14 105501
Google Scholar
[51] Schönweger G, Petraru A, Islam M R, Wolff N, Haas B, Hammud A, Koch C, Kienle L, Kohlstedt H, Fichtner S 2022 Adv. Funct. Mater. 32 2109632
Google Scholar
[52] Mueller S, Muller J, Schroeder U, Mikolajick T 2013 IEEE Trans. Device Mater. Reliab. 13 93
Google Scholar
[53] Stolichnov I, Tagantsev A K, Colla E, Setter N, Cross J S 2005 J. Appl. Phys. 98 084106
Google Scholar
[54] Drury D, Yazawa K, Zakutayev A, Hanrahan B, Brennecka G 2022 Micromachines 13 887
Google Scholar
[55] Gund V, Davaji B, Lee H, Asadi M J, Casamento J, Xing H G, Jena D, Lal A 2021 IEEE Int. Symp. Appl. Ferroelectr (ISAF). 2021 1
[56] Wang J, Park M, Ansari A 2022 J. Microelectromechanical Syst. 31 234
Google Scholar
[57] Islam Md R, Wolff N, Yassine M, Schönweger G, Christian B, Kohlstedt H, Ambacher O, Lofink F, Kienle L, Fichtner S 2021 Appl. Phys. Lett. 118 232905
Google Scholar
[58] Casamento J, Gund V, Lee H, Nomoto K, Maeda T, Davaji B, Asadi M J, Wright J, Shao Y T, Muller D A, Lal A, Huili, Xing, Jena D 2021 ArXiv 10114 [cond-mat. mtrl-sci]
[59] Wang D, Musavigharavi P, Zheng J, Esteves G, Liu X, Fiagbenu M M A, Stach E A, Jariwala D, Olsson R H 2021 Phys. Status Solidi RRL 15 2000575
Google Scholar
[60] Ishibashi Y, Orihara H 1995 Integr. Ferroelectr. 9 57
Google Scholar
[61] Zhu W, Hayden J, He F, Yang J I, Tipsawat P, Hossain M D, Maria J P, Trolier-McKinstry S 2021 Appl. Phys. Lett. 119 062901
Google Scholar
[62] Lu H, Schönweger G, Petraru A, Kohlstedt H, Fichtner S, Gruverman A 2024 Adv. Funct. Mater. 34 2315169
Google Scholar
[63] Wolff N, Schönweger G, Streicher I, Islam M R, Braun N, Straňák P, Kirste L, Prescher M, Lotnyk A, Kohlstedt H, Leone S, Kienle L, Fichtner S 2024 Adv. Phys. Res. 3 2300113
Google Scholar
[64] Liu M, Zang H, Jia Y, Jiang K, Ben J, Lü S, Li D, Sun X, Li D 2024 ACS Appl. Mater. Interfaces 16 16427
Google Scholar
[65] Yasuoka S, Shimizu T, Okamoto K, Sun N, Doko S, Matsui N, Irisawa T, Tsunekawa K, Gruverman A, Funakubo H 2024 Adv. Mater. Interfaces 12 2400627
[66] Skidmore C H, Spurling R J, Hayden J, Baksa S M, Behrendt D, Goodling D, Nordlander J L, Suceava A, Casamento J, Akkopru-Akgun B, Calderon S, Dabo I, Gopalan V, Kelley K P, Rappe A M, Trolier-McKinstry S, Dickey E C, Maria J P 2025 Nature 637 574
Google Scholar
[67] Seidel J, Martin L W, He Q, Zhan Q, Chu Y H, Rother A, Hawkridge M E, Maksymovych P, Yu P, Gajek M, Balke N, Kalinin S V, Gemming S, Wang F, Catalan G, Scott J F, Spaldin N A, Orenstein J, Ramesh R 2009 Nat. Mater. 8 229
Google Scholar
[68] Kim K D, Lee Y B, Lee S H, Lee I S, Ryoo S K, Byun S, Lee J H, Kim H, Park H W, Hwang C S 2023 Adv. Electron. Mater. 9 2201142
Google Scholar
[69] Wolff N, Fichtner S, Haas B, Islam M R, Niekiel F, Kessel M, Ambacher O, Koch C, Wagner B, Lofink F, Kienle L 2021 J. Appl. Phys. 129 034103
Google Scholar
[70] Kim K D, Ryoo S K, Park H S, Choi S, Park T W, Yeom M K, Hwang C S 2024 J. Appl. Phys. 136 024101
Google Scholar
[71] Masashi Suzuki; Takahiko Yanagitani; Hiroyuki Odagawa 2014 Appl. Phys. Lett. 104 172905
Google Scholar
[72] S. A. Anggraini, M. Uehara, K. Hirata, H. Yamada, M. Akiyama 2020 Sci. Rep. 10 4369
Google Scholar
[73] M. R. Islam, N. Wolff, G. Sch?nweger, T. -N. Kreutzer, M. Brown, M. Gremmel, E. S. Ollanescu-Orendi, P. Straňák, L. Kirste, G. L. Brennecka, S. Fichtner, L. Kienle 2025 Adv. Electron. Mater. 11 2400874
[74] Yazawa K, Hayden J, Maria J P, Zhu W, Trolier-McKinstry S, Zakutayev A, Brennecka G L 2023 Mater. Horiz. 10 2936
Google Scholar
[75] Krishnamoorthy A, Tiwari S C, Nakano A, Kalia R K, Vashishta P 2021 Nanotechnology 32 49LT02
Google Scholar
[76] Calderon S, Hayden J, Baksa S M, Tzou W, Trolier-McKinstry S, Dabo I, Maria J P, Dickey E C 2023 Science 380 1034
Google Scholar
[77] Gremmel M, Fichtner S 2024 J. Appl. Phys. 135 204101
Google Scholar
[78] Wolff N, Grieb T, Sch?nweger G, Krause F F, Streicher I, Leone S, Rosenauer A, Fichtner S, Kienle L 2025 J. Appl. Phys. 137 084101
Google Scholar
[79] Chen L, Wang Q, Liu C, Li M, Song W, Wang W, Loke D K, Zhu Y 2024 Materials 17 397
Google Scholar
[80] Kataoka J, Tsai S L, Hoshii T, Wakabayashi H, Tsutsui K, Kakushima K 2021 Jpn. J. Appl. Phys. 60 030907
Google Scholar
[81] Wang D, Wang D, Molla M, Liu Y, Yang S, Yuan S, Liu J, Hu M, Wu Y, Ma T, Sun K, Guo H, Kioupakis E, Mi Z 2025 Nature 641 76
Google Scholar
[82] Kim K D, Lee Y B, Lee S H, Lee I S, Ryoo S K, Byun S Y, Lee J H, Hwang C S 2023 Nanoscale 15 16390
Google Scholar
[83] Lyu X, Si M, Shrestha P R, Cheung K P, Ye P D 2019 Int. Electron Devices Meet (IEDM). 2019 15.12. 11
[84] Schenk T, Pešić M, Slesazeck S, Schroeder U, Mikolajick T 2020 Rep. Prog. Phys. 83 086501
Google Scholar
[85] Deng S, Zhao Z, Kurinec S, Ni K, Xiao Y, Yu T, Narayanan V 2021 Proc. 2021 Gt. Lakes Symp. VLSI New. 2021 473
[86] Lanza M, Sebastian A, Lu W D, Le Gallo M, Chang M F, Akinwande D, Puglisi F M, Alshareef H N, Liu M, Roldan J B 2022 Science 376 eabj9979
Google Scholar
[87] Wang D, Musavigharavi P, Zheng J, Esteves G, Liu X, Fiagbenu M M A, Stach E A, Jariwala D, Olsson R H 2021 Phys. Status Solidi RRL 15 2000575
Google Scholar
[88] Zhao X, Yu J, Li Y, Wang Y, Cao F, Cheng Y, Wei Y, Jiang H, Liu Q, Liu M 2025 Symposium on VLSI Technology and Circuits (VLSI Technology and Circuits). 2025 1
[89] Park M H, Kwon D, Schroeder U, Mikolajick T 2021 MRS Bull. 46 1071
Google Scholar
[90] Lee D H, Lee Y, Cho Y H, Choi H, Kim S H, Park M H 2023 Adv. Funct. Mater. 33 2303956
Google Scholar
[91] Beyer S, Dunkel S, Trentzsch M, Muller J, Hellmich A, Utess D, Paul J, Kleimaier D, Pellerin J, Muller S, Ocker J, Benoist A, Zhou H, Mennenga M, Schuster M, Tassan F, Noack M, Pourkeramati A, Muller F, Lederer M, Ali T, Hoffmann R, Kampfe T, Seidel K, Mulaosmanovic H, Breyer E T, Mikolajick T, Slesazeck S 2020 IEEE Int. Mem. Workshop (IMW). 2020 1
[92] Liu X, Wang D, Kim K H, Katti K, Zheng J, Musavigharavi P, Miao J, Stach E A, Olsson R H, Jariwala D 2021 Nano Lett. 21 3753
Google Scholar
[93] Kim K H, Oh S, Fiagbenu M M A, Zheng J, Musavigharavi P, Kumar P, Trainor N, Aljarb A, Wan Y, Kim H M, Katti K, Song S, Kim G, Tang Z, Fu J H, Hakami M, Tung V, Redwing J M, Stach E A, Olsson R H, Jariwala D 2023 Nat. Nanotechnol. 18 1044
Google Scholar
[94] Setter N, Damjanovic D, Eng L, Fox G, Gevorgian S, Hong S, Kingon A, Kohlstedt H, Park N Y, Stephenson G B, Stolitchnov I, Taganstev A K, Taylor D V, Yamada T, Streiffer S 2006 J. Appl. Phys. 100 051606
Google Scholar
[95] Hwang J, Goh Y, Jeon S 2020 IEEE Electron Device Lett. 41 1193
Google Scholar
[96] Kobayashi M, Tagawa Y, Mo F, Saraya T, Hiramoto T 2019 IEEE J. Electron Devices Soc. 7 134
Google Scholar
[97] Shekhawat A, Walters G, Yang N, Guo J, Nishida T, Moghaddam S 2020 Nanotechnology 31 39LT01
Google Scholar
[98] Mikolajick T, Slesazeck S, Schroeder U, Lomenzo P D, Breyer E T, Mulaosmanovic H, Hoffmann M, Mittmann T, Mehmood F, Max B 2019 IEEE Int. Electron Devices Meet. 2019 15.5. 1
[99] Liu X, Zheng J, Wang D, Musavigharavi P, Stach E A, Olsson R, Jariwala D 2021 Appl. Phys. Lett. 118 202901
Google Scholar
[100] Lou X J, Zhang M, Redfern S A T, Scott J F 2007 Phys. Rev. B. 75 224104
Google Scholar
[101] Pan X, Ma T P 2011 Appl. Phys. Lett. 99 013505
Google Scholar
[102] Liu M, Li D, Liu Z, Gao Y, Zang H, Shi Z, Ben J, Jiang K, Lai B, Zhang W, Wang S, Lü W, Sun X, Tian H, Li D 2025 Adv. Mater. 37 2505988
Google Scholar
[103] Guido R, Mikolajick T, Schroeder U, Lomenzo P D 2023 Nano Lett. 23 7213
Google Scholar
[104] Rayner G, O’Toole N, Nelson N, Liu B, Shallenberger J, Muha G, Behera P, Cheema S, Johs B, Moshirfatemi N, Drury D, Hanrahan B, Strnad N 2025 PREPRINT (Version 1) available at Research Square [cond-mat. mtrl-sci]
计量
- 文章访问数: 417
- PDF下载量: 4
- 被引次数: 0








下载: