-
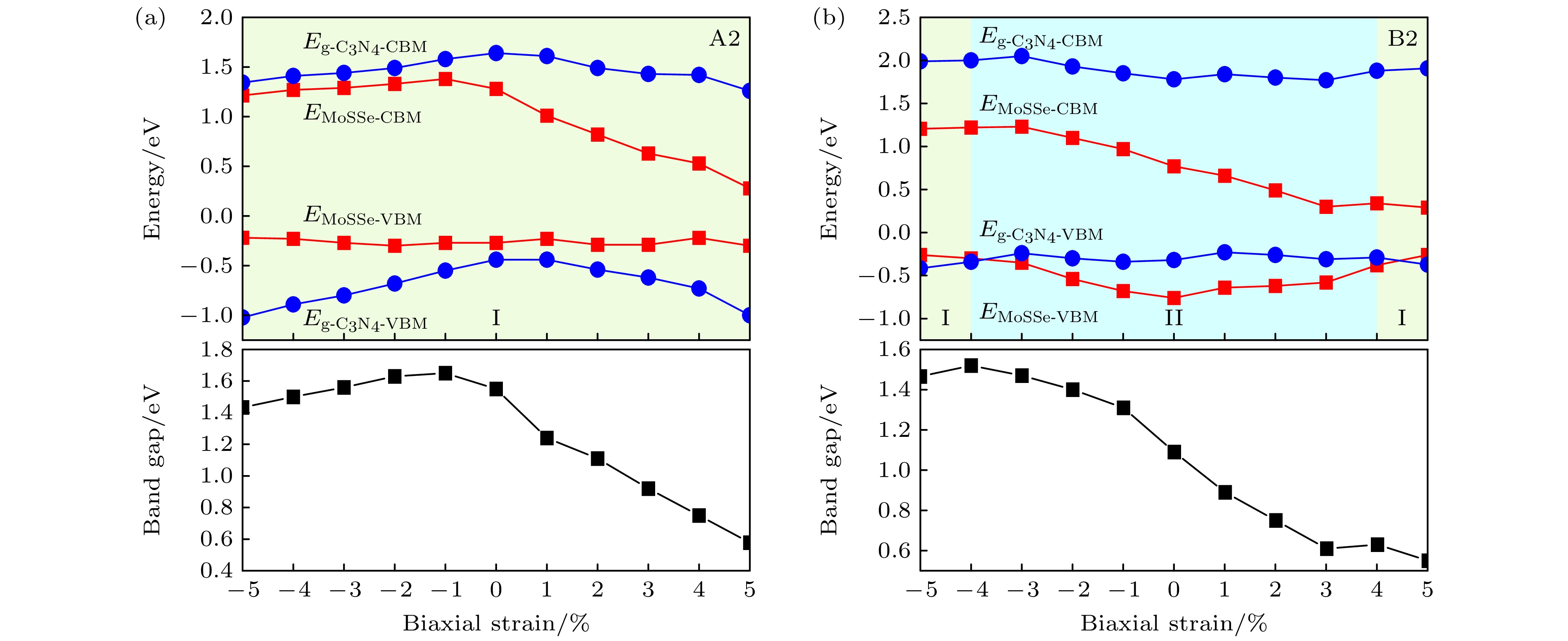
构建范德瓦耳斯异质结是丰富二维材料物性并增强其光电等性能的有效策略. 本文基于第一性原理模拟, 系统地研究了两种不同界面结构的Janus MoSSe/g-C3N4异质结(即SMoSe/g-C3N4和SeMoS/g-C3N4)的电子性质及其双轴应变调控规律. 结果表明, 针对SMoSe/g-C3N4异质结构, MoSSe本征偶极场与界面电场方向一致, 相互叠加形成由g-C3N4指向MoSSe的增强电场, 体系呈现I型能带排列特征; 而在SeMoS/g-C3N4异质结构中, 两者方向相反, 部分相互抵消后形成由MoSSe指向g-C3N4的净电场, 呈现II型能带排列特征, 可促进载流子的分离从而有效提升其光催化分解水活性. 进一步研究发现, 施加双轴应变可有效地调节两种异质结构的电子能带, 尤其在SeMoS/g-C3N4中可实现I型与II型能带结构的可逆转变. 本研究为Janus MoSSe/g-C3N4异质结在光催化与光电器件领域的应用提供了理论依据.Constructing van der Waals (vdW) heterostructures has emerged as an effective strategy for enriching the physical properties of two-dimensional materials and optimizing their optoelectronic performance. In this work, we systematically investigate the electronic properties and biaxial strain modulation of Janus MoSSe/g-C3N4 heterostructures with two distinct interfacial configurations—SMoSe/g-C3N4 and SeMoS/g-C3N4—by means of first-principles simulations. Binding energy comparisons and AIMD simulations are performed to determine the most stable stacking pattern of each type of the heterostructure. The analyses of the electrostatic potential and work function reveal that the intrinsic dipole of MoSSe layer and the interfacial electric field in the SMoSe/g-C3N4 heterostructure undergo a constructive superposition. This enhances the overall built-in electric field, which points from g-C3N4 layer to MoSSe layer, resulting in a type-I band alignment. In contrast, in the SeMoS/g-C3N4 configuration, the two fields oppose each other, leading to a net electric field directed from MoSSe to g-C3N4 layer. This leads to a type-II band alignment, which facilitates spatial carrier separation and significantly enhances photocatalytic water-splitting activity. Furthermore, this study also demonstrates that biaxial strain can effectively modulate the electronic band structures of both types of heterostructures. In particular, the SeMoS/g-C3N4 system exhibits a reversible transition between type-I and type-II band alignments under specific compressive (–4%) and tensile (+5%) strain states. The underlying mechanism is elucidated by the difference charge density calculations. This study provides theoretical insights into the role of interfacial and intrinsic dipoles combined with strain engineering, offering a viable route for designing efficient MoSSe/g-C3N4-based photocatalysts and optoelectronic devices.
-
Keywords:
- heterostructure /
- electronic band structure /
- strain engineering /
- first-principles simulations
[1] Novoselov K S, Geim A K, Morozov S V, Jiang D, Zhang Y, Dubonos S V, Grigorieva I V, Firsov A A 2004 Science 306 666
Google Scholar
[2] Tománek D 2020 Phys. Rev. Mater 4 030001
Google Scholar
[3] Tian H, Chin M L, Najmaei S, Guo Q S, Xia F N, Wang H, Dubey M 2016 Nano Res. 9 1543
Google Scholar
[4] 张浩哲, 徐春燕, 南海燕, 肖少庆, 顾晓峰 2020 69 246101
Google Scholar
Zhang H Z, Xu C Y, Nan H Y, Xiao S Q, Gu X F 2020 Acta Phys. Sin. 69 246101
Google Scholar
[5] 贾亮广, 刘猛, 陈瑶瑶, 张钰, 王业亮 2022 71 127308
Google Scholar
Jia L G, Liu M, Chen Y Y, Zhang Y, Wang Y L 2022 Acta Phys. Sin. 71 127308
Google Scholar
[6] Zhang J, Jia S, Kholmanov I, Dong L, Er D, Chen W, Ruoff R S 2017 ACS Nano 11 8192
Google Scholar
[7] Lu A Y, Zhu H, Xiao J, Chuu C P, Han Y, Chiu M H, Li L J 2017 Nat. Nanotechnol. 12 744
Google Scholar
[8] Yao Q F, Cai J, Tong W Y, Gong S J, Wang J Q, Wan X, Duan C G, Chu J 2017 Phys. Rev. B 95 165401
Google Scholar
[9] Hu T, Jia F, Zhao G, Wu J, Stroppa A, Ren W 2018 Phys. Rev. B 97 235404
Google Scholar
[10] Cheng Y C, Zhu Z Y, Tahir M, Schwingenschlogl U 2013 Europhys. Lett. 102 57001
Google Scholar
[11] Xia C X, Xiong W Q, Du J, Wang T X, Peng Y T, Li J B 2018 Phys. Rev. B 98 165424
Google Scholar
[12] 张宇航, 李孝宝, 詹春晓, 王美芹, 浦玉学 2023 72 046201
Google Scholar
Zhang Y H, Li X B, Zhan C X, Wang M Q, Pu Y X 2023 Acta Phys. Sin. 72 046201
Google Scholar
[13] Dong L, Lou J, Shenoy V B 2017 ACS Nano 11 8242
Google Scholar
[14] Er D Q, Ye H, Frey N C, Kumar H, Lou J, Shenoy V B 2018 Nano Lett. 18 3943
Google Scholar
[15] Guan Z, Luo N, Ni S, Hu S 2020 Mater. Adv. 1 244
Google Scholar
[16] Tao S, Xu B, Shi J, Zhong S, Lei X, Liu G, Wu M 2019 J. Phys. Chem. C 123 9059
Google Scholar
[17] Zhao H, Chen X, Jia C, Zhou T, Qu X, Jian J, Xu Y, Zhou T 2005 Mater. Sci. Eng. B 122 90
Google Scholar
[18] Bojdys M J, Müller J O, Antonietti M, Thomas A 2008 Chem. Eur. J. 14 8177
Google Scholar
[19] Tsang A C H, Kwok H Y H, Leung D Y C 2017 Solid State Sci. 67 A1
Google Scholar
[20] Coros M, Pogacean F, Magerusan L, Socaci C, Pruneanu S 2019 Mater. Sci. 13 23
Google Scholar
[21] Feng S N, Mi W B 2018 Appl. Surf. Sci. 458 191
Google Scholar
[22] Chen H Y, Zhang S H, Jiang W, Zhang C X, Guo H, Liu Z, Wang Z M, Liu F, Niu X B 2018 J. Mater. Chem. A 6 11252
Google Scholar
[23] Wang X, Ma J, Fan H 2023 J. Chem. Inf. Model. 63 4708
Google Scholar
[24] Yuan Y J, Shen Z, Wu S, Su Y, Pei L, Ji Z, Zou Z 2019 Appl. Catal. , B 246 120
Google Scholar
[25] Zhu B C, Zhang L Y, Cheng B, Yu Y, Yu J G 2021 Chin. J. Catal. 42 115
Google Scholar
[26] Wu Z S, He X F, Xue Y T, Yang X, Li Y F, Li Q B, Yu B 2020 Chem. Eng. J. 399 125747
Google Scholar
[27] Zhang X, Tian F, Lan X, Liu Y, Yang W, Zhang J, Yu Y 2022 Chem. Eng. J. 429 132588
Google Scholar
[28] Wang J, Lu Q, Zhao S 2019 Appl. Surf. Sci. 470 150
Google Scholar
[29] Zhang M, Xu J, Zong R, Zhu Y 2014 Appl. Catal. , B 147 229
Google Scholar
[30] Ma X, Lv Y, Xu J, Liu Y, Zhu Y 2012 J. Phys. Chem. C 116 23485
Google Scholar
[31] Liu J, Li Y B, Arumugam S, Jin X 2016 Appl. Surf. Sci. 364 694
Google Scholar
[32] Yao W Q, Sun J Z, Chen J Y, Guo Y L, Wu B, Liu Y Q 2021 Acta Phys. Sin. 70 027901 [姚文乾, 孙健哲, 陈建毅, 郭云龙, 武斌, 刘云圻 2021 70 027901]
Google Scholar
Yao W Q, Sun J Z, Chen J Y, Guo Y L, Wu B, Liu Y Q 2021 Acta Phys. Sin. 70 027901
Google Scholar
[33] 廖玉民, 陈许敏, 徐黄雷, 易水生, 王辉, 霍德璇 2025 74 097101
Google Scholar
Liao Y M, Chen X M, Xu H L, Yi S S, Wang H, Huo D X 2025 Acta Phys. Sin. 74 097101
Google Scholar
[34] Geim A K, Grigorieva I V 2013 Nature 499 419
Google Scholar
[35] Withers F, Del Pozo-Zamudio O, Mishchenko A, Rooney A P, Novoselov K S 2015 Nat. Mater. 14 301
Google Scholar
[36] Massicotte M, Schmidt P, Vialla F, Schädler K G, Koppens F H L 2016 Nat. Nanotechnol. 11 42
Google Scholar
[37] Yan X, Liu C, Li C, Bao W, Ding S, Zhang D W, Zhou P 2017 Small 13 1701478
Google Scholar
[38] Sarkar D, Xie X, Liu W, Cao W, Kang J, Gong Y, Kraemer S, Ajayan P M, Banerjee K 2015 Nature 526 91
Google Scholar
[39] Ye J, Liu J, An Y 2020 Appl. Surf. Sci. 501 144262
Google Scholar
[40] Liu H D, Yang L, Wang T Y, Wei X B, Sun S H, Zhao Y S 2025 Physica B 700 416941
Google Scholar
[41] Kresse G, Furthmüller J 1996 Phys. Rev. B 54 11169
Google Scholar
[42] Blöchl P E 1994 Phys. Rev. B 50 17953
Google Scholar
[43] Perdew J P, Burke K, Ernzerhof M 1996 Phys. Rev. Lett. 77 3865
Google Scholar
[44] Grimme S, Antony J, Ehrlich S, Krieg H 2010 J. Chem. Phys. 132 154104
Google Scholar
[45] Pei S 2024 New J. Phys. 26 043014
Google Scholar
[46] Baroni S, de Gironcoli S, Corso A D, Giannozzi P 2001 Rev. Mod. Phys. 73 515
Google Scholar
[47] Deng D W, Si R T, Wen B, Seriani N, Wei X L, Yin W J 2023 J. Mater. Chem. A 11 22360
Google Scholar
[48] Liu C X, Dai Z H, Hou J, Liu W G, Ren X B, Gu S T 2024 J. Phys. Chem. Solids 185 111782
Google Scholar
[49] Xu X, Jiang X, Gao Q, Yang L, Sun X, Wang Z, Liu D 2022 Phys. Chem. Chem. Phys. 24 29882
Google Scholar
[50] Heyd J, Scuseria G E, Ernzerhof M 2003 J. Chem. Phys. 118 8207
Google Scholar
-
图 1 (a) 单层MoSSe和(b) g-C3N4的俯视图和侧视图. 黑色框为MoSSe和g-C3N4的单胞结构; (c) SMoSe/g-C3N4 (A1—A6)和SeMoS/g-C3N4 (B1—B6)不同堆叠构型的俯视图和侧视图, 其中A2—A6, B2—B6分别由A1, B1以60°间隔依次顺时针旋转MoSSe层得到的异质结构(黑色虚线框内为最小超胞, A2和B2上的阴影突出了结合能最低的堆叠构型); (d) A2与(e) B2异质结构声子谱; (f) A2与(g) B2异质结构AIMD模拟的能量变化
Fig. 1. (a) Top and side views of single-layer MoSSe and (b) g-C3N4. The black box indicates the unit-cell structure of MoSSe and g-C3N4; (c) top view and side view of different stacking configurations of SMoSe/g-C3N4 (A1–A6) and SeMoS/g-C3N4 (B1–B6). Among them, A2–A6 and B2–B6 are heterostructures obtained by rotating the MoSSe layers of A1 and B1 clockwise by 60° respectively (the smallest computational supercell is indicated by the black dashed box, and the shadows on A2 and B2 highlight the stacked configuration with the lowest binding energy); Phonon spectrum of (d) A2 and (e) B2 heterostructure; AIMD simulation results for (f) the A2 and (g) B2 heterostructure.
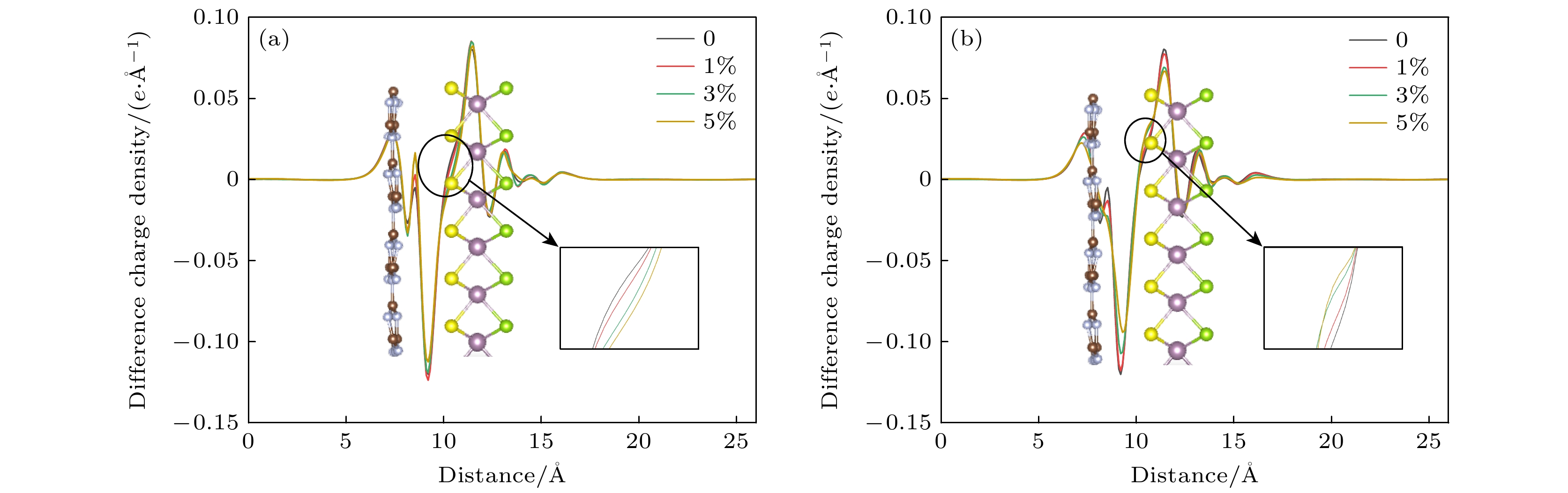
图 3 (a), (c) A2差分电荷密度俯视图和侧视图; (b), (d) B2差分电荷密度俯视图和侧视图(黄色为正, 代表电子积聚; 蓝色为负, 代表电子消耗); (e), (f) 单层 MoSSe和g-C3N4的静电势; (g), (h) A2和B2的静电势
Fig. 3. (a), (c) Differential charge density diagrams for top view and side view of A2; (b), (d) differential charge density diagrams for top view and side view of B2 (yellow indicates positive, representing electron accumulation; blue indicates negative, representing electron consumption); (e), (f) the electrostatic potential of the single-layer MoSSe and g-C3N4; (g), (h) the electrostatic potentials of A2 and B2.
表 1 SMoSe/g-C3N4 (A1—A6)和SeMoS/g-C3N4 (B1—B6)不同堆叠构型的黏附功
Table 1. Adhesion energies for different stacking configurations of SMoSe/g-C3N4 (A1–A6) and SeMoS/g-C3N4 (B1–B6).
堆叠类型 A1 A2 A3 A4 A5 A6 黏附功/(J·m–2) 0.135213 0.135218 0.135108 0.135205 0.134514 0.134329 堆叠类型 B1 B2 B3 B4 B5 B6 黏附功/(J·m–2) 0.167633 0.167926 0.167737 0.167705 0.167188 0.167301 -
[1] Novoselov K S, Geim A K, Morozov S V, Jiang D, Zhang Y, Dubonos S V, Grigorieva I V, Firsov A A 2004 Science 306 666
Google Scholar
[2] Tománek D 2020 Phys. Rev. Mater 4 030001
Google Scholar
[3] Tian H, Chin M L, Najmaei S, Guo Q S, Xia F N, Wang H, Dubey M 2016 Nano Res. 9 1543
Google Scholar
[4] 张浩哲, 徐春燕, 南海燕, 肖少庆, 顾晓峰 2020 69 246101
Google Scholar
Zhang H Z, Xu C Y, Nan H Y, Xiao S Q, Gu X F 2020 Acta Phys. Sin. 69 246101
Google Scholar
[5] 贾亮广, 刘猛, 陈瑶瑶, 张钰, 王业亮 2022 71 127308
Google Scholar
Jia L G, Liu M, Chen Y Y, Zhang Y, Wang Y L 2022 Acta Phys. Sin. 71 127308
Google Scholar
[6] Zhang J, Jia S, Kholmanov I, Dong L, Er D, Chen W, Ruoff R S 2017 ACS Nano 11 8192
Google Scholar
[7] Lu A Y, Zhu H, Xiao J, Chuu C P, Han Y, Chiu M H, Li L J 2017 Nat. Nanotechnol. 12 744
Google Scholar
[8] Yao Q F, Cai J, Tong W Y, Gong S J, Wang J Q, Wan X, Duan C G, Chu J 2017 Phys. Rev. B 95 165401
Google Scholar
[9] Hu T, Jia F, Zhao G, Wu J, Stroppa A, Ren W 2018 Phys. Rev. B 97 235404
Google Scholar
[10] Cheng Y C, Zhu Z Y, Tahir M, Schwingenschlogl U 2013 Europhys. Lett. 102 57001
Google Scholar
[11] Xia C X, Xiong W Q, Du J, Wang T X, Peng Y T, Li J B 2018 Phys. Rev. B 98 165424
Google Scholar
[12] 张宇航, 李孝宝, 詹春晓, 王美芹, 浦玉学 2023 72 046201
Google Scholar
Zhang Y H, Li X B, Zhan C X, Wang M Q, Pu Y X 2023 Acta Phys. Sin. 72 046201
Google Scholar
[13] Dong L, Lou J, Shenoy V B 2017 ACS Nano 11 8242
Google Scholar
[14] Er D Q, Ye H, Frey N C, Kumar H, Lou J, Shenoy V B 2018 Nano Lett. 18 3943
Google Scholar
[15] Guan Z, Luo N, Ni S, Hu S 2020 Mater. Adv. 1 244
Google Scholar
[16] Tao S, Xu B, Shi J, Zhong S, Lei X, Liu G, Wu M 2019 J. Phys. Chem. C 123 9059
Google Scholar
[17] Zhao H, Chen X, Jia C, Zhou T, Qu X, Jian J, Xu Y, Zhou T 2005 Mater. Sci. Eng. B 122 90
Google Scholar
[18] Bojdys M J, Müller J O, Antonietti M, Thomas A 2008 Chem. Eur. J. 14 8177
Google Scholar
[19] Tsang A C H, Kwok H Y H, Leung D Y C 2017 Solid State Sci. 67 A1
Google Scholar
[20] Coros M, Pogacean F, Magerusan L, Socaci C, Pruneanu S 2019 Mater. Sci. 13 23
Google Scholar
[21] Feng S N, Mi W B 2018 Appl. Surf. Sci. 458 191
Google Scholar
[22] Chen H Y, Zhang S H, Jiang W, Zhang C X, Guo H, Liu Z, Wang Z M, Liu F, Niu X B 2018 J. Mater. Chem. A 6 11252
Google Scholar
[23] Wang X, Ma J, Fan H 2023 J. Chem. Inf. Model. 63 4708
Google Scholar
[24] Yuan Y J, Shen Z, Wu S, Su Y, Pei L, Ji Z, Zou Z 2019 Appl. Catal. , B 246 120
Google Scholar
[25] Zhu B C, Zhang L Y, Cheng B, Yu Y, Yu J G 2021 Chin. J. Catal. 42 115
Google Scholar
[26] Wu Z S, He X F, Xue Y T, Yang X, Li Y F, Li Q B, Yu B 2020 Chem. Eng. J. 399 125747
Google Scholar
[27] Zhang X, Tian F, Lan X, Liu Y, Yang W, Zhang J, Yu Y 2022 Chem. Eng. J. 429 132588
Google Scholar
[28] Wang J, Lu Q, Zhao S 2019 Appl. Surf. Sci. 470 150
Google Scholar
[29] Zhang M, Xu J, Zong R, Zhu Y 2014 Appl. Catal. , B 147 229
Google Scholar
[30] Ma X, Lv Y, Xu J, Liu Y, Zhu Y 2012 J. Phys. Chem. C 116 23485
Google Scholar
[31] Liu J, Li Y B, Arumugam S, Jin X 2016 Appl. Surf. Sci. 364 694
Google Scholar
[32] Yao W Q, Sun J Z, Chen J Y, Guo Y L, Wu B, Liu Y Q 2021 Acta Phys. Sin. 70 027901 [姚文乾, 孙健哲, 陈建毅, 郭云龙, 武斌, 刘云圻 2021 70 027901]
Google Scholar
Yao W Q, Sun J Z, Chen J Y, Guo Y L, Wu B, Liu Y Q 2021 Acta Phys. Sin. 70 027901
Google Scholar
[33] 廖玉民, 陈许敏, 徐黄雷, 易水生, 王辉, 霍德璇 2025 74 097101
Google Scholar
Liao Y M, Chen X M, Xu H L, Yi S S, Wang H, Huo D X 2025 Acta Phys. Sin. 74 097101
Google Scholar
[34] Geim A K, Grigorieva I V 2013 Nature 499 419
Google Scholar
[35] Withers F, Del Pozo-Zamudio O, Mishchenko A, Rooney A P, Novoselov K S 2015 Nat. Mater. 14 301
Google Scholar
[36] Massicotte M, Schmidt P, Vialla F, Schädler K G, Koppens F H L 2016 Nat. Nanotechnol. 11 42
Google Scholar
[37] Yan X, Liu C, Li C, Bao W, Ding S, Zhang D W, Zhou P 2017 Small 13 1701478
Google Scholar
[38] Sarkar D, Xie X, Liu W, Cao W, Kang J, Gong Y, Kraemer S, Ajayan P M, Banerjee K 2015 Nature 526 91
Google Scholar
[39] Ye J, Liu J, An Y 2020 Appl. Surf. Sci. 501 144262
Google Scholar
[40] Liu H D, Yang L, Wang T Y, Wei X B, Sun S H, Zhao Y S 2025 Physica B 700 416941
Google Scholar
[41] Kresse G, Furthmüller J 1996 Phys. Rev. B 54 11169
Google Scholar
[42] Blöchl P E 1994 Phys. Rev. B 50 17953
Google Scholar
[43] Perdew J P, Burke K, Ernzerhof M 1996 Phys. Rev. Lett. 77 3865
Google Scholar
[44] Grimme S, Antony J, Ehrlich S, Krieg H 2010 J. Chem. Phys. 132 154104
Google Scholar
[45] Pei S 2024 New J. Phys. 26 043014
Google Scholar
[46] Baroni S, de Gironcoli S, Corso A D, Giannozzi P 2001 Rev. Mod. Phys. 73 515
Google Scholar
[47] Deng D W, Si R T, Wen B, Seriani N, Wei X L, Yin W J 2023 J. Mater. Chem. A 11 22360
Google Scholar
[48] Liu C X, Dai Z H, Hou J, Liu W G, Ren X B, Gu S T 2024 J. Phys. Chem. Solids 185 111782
Google Scholar
[49] Xu X, Jiang X, Gao Q, Yang L, Sun X, Wang Z, Liu D 2022 Phys. Chem. Chem. Phys. 24 29882
Google Scholar
[50] Heyd J, Scuseria G E, Ernzerhof M 2003 J. Chem. Phys. 118 8207
Google Scholar
计量
- 文章访问数: 341
- PDF下载量: 7
- 被引次数: 0








下载: