-
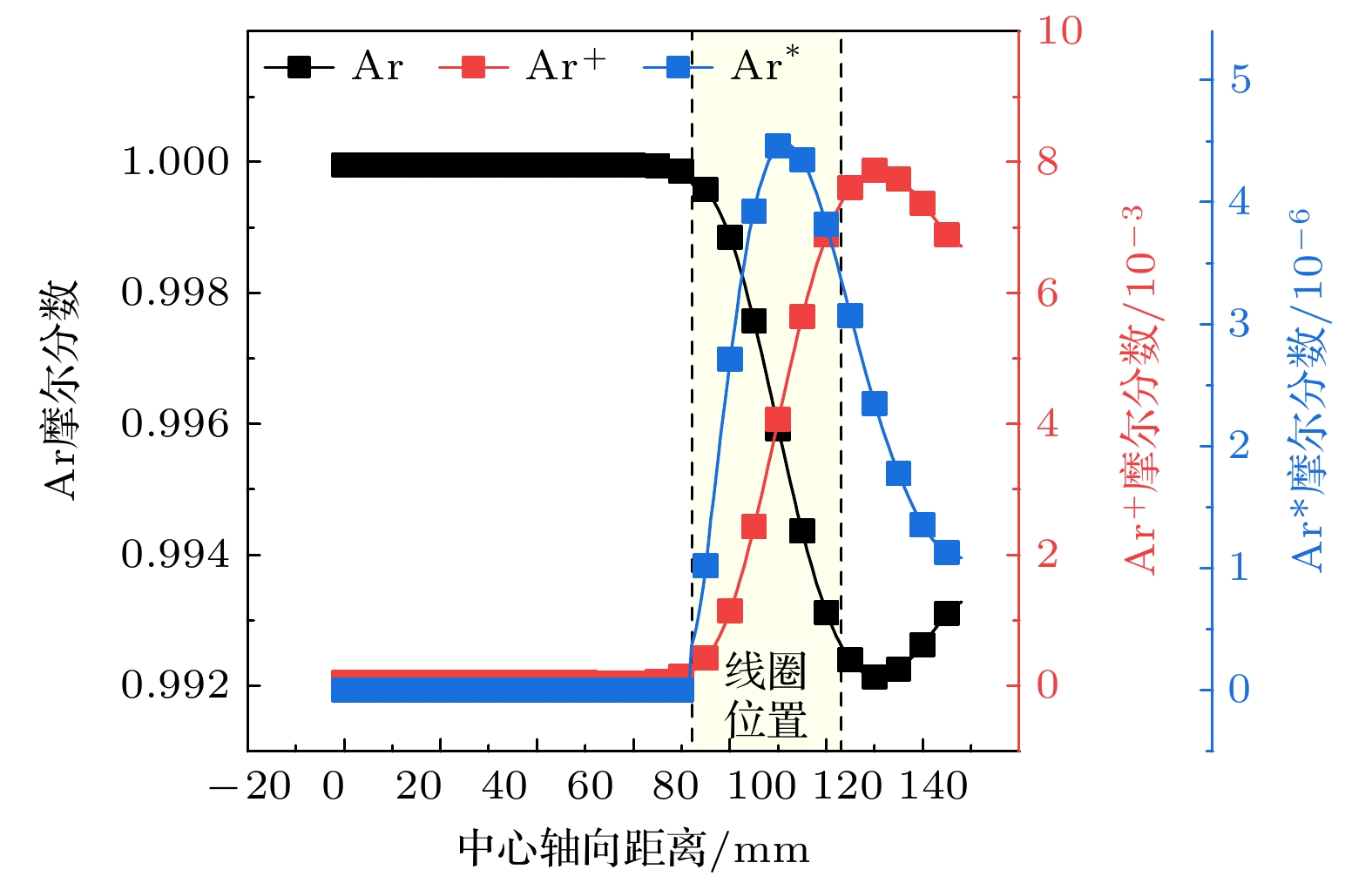
受制于感应耦合等离子体(ICP)发生器内极高温度、有限空间以及电磁场与化学反应的复杂耦合, 实验方法在揭示发生器内电磁场与流场的相互作用及放电特性方面存在较大局限, 数值模拟因而成为研究该类问题的重要手段. 本研究以氩气ICP为研究对象, 利用COMSOL在平衡态(LTE)与非平衡态(NLTE)假设下建立二维模型, 比较两者在温度场与能量耦合特性上的差异. 结果表明, 在千帕级压力下, LTE下温度峰值约8200 K, 高温区范围更大且集中于线圈区域. 而NLTE最高温度仅约5990 K, 且分布偏移至下游; 同时, 轴心区域以基态氩为主, 线圈附近激发态与离子分数升高, 表明能量沉积与粒子转化主要集中在趋肤层. 进一步分析不同压力下中心线分布发现, 随压力降低, 电子与气体温度差值增大, 体系热非平衡特征显著增强. 研究揭示了千帕级压力下ICP放电过程中的电磁-热-流动耦合机制及其非平衡特征. 结果表明, 在千帕级压力模拟中, NLTE模型能更准确地捕捉能量耦合与温度分布的关键特征, 为高焓风洞等应用中的ICP数值模拟提供了模型选择依据.Inductively coupled plasma (ICP) generators involve complex interactions between electromagnetic, thermal, and chemical processes, which makes direct diagnostics difficult. To clarify these coupling mechanisms, a two-dimensional axisymmetric model of an argon ICP torch operating at kilopascal pressure is developed using COMSOL Multiphysics under local thermodynamic equilibrium (LTE) and non-equilibrium (NLTE) assumptions. A two-dimensional axisymmetric magnetohydrodynamic (MHD) model is established, which combines electromagnetic induction, convective-radiative heat transfer, and a seven-reaction argon plasma chemistry mechanism. The LTE model assumes that the temperature of all species is uniform, while the NLTE model independently solves for the electron temperature (Te) and gas temperature (Tg), thereby accounting for incomplete energy exchange between electrons and heavy particles. At a discharge power of 1000 W and a working pressure of 10 kPa, the LTE model predicts a peak temperature of approximately 8200 K, concentrated around the induction coils. In contrast, the NLTE model yields a maximum gas temperature of about 5990 K, with the hot zone shifted downstream. The NLTE model reveals a clear two-temperature structure: Te peaks near the coil wall (~0.93 eV), while Tg reaches its maximum downstream, indicating a pronounced thermal non-equilibrium state where electrons are preferentially heated by the induced field. The calculated skin depth (~11.3 mm) coincides with the region of strongest electromagnetic energy deposition. Species analysis shows that the plasma core is dominated by ground-state argon (Ar) (>99%), while excited argon (Ar*) and argon ions (Ar+) increase notably near the coil region, confirming that excitation and ionization processes are localized within the skin layer. Furthermore, comparison between the 5 kPa and 10 kPa cases shows that as pressure decreases, the difference between Te and Tg increases, indicating enhanced thermal non-equilibrium due to reduced collisional coupling. Overall, the results highlight that LTE and NLTE assumptions lead to markedly different predictions of temperature and energy coupling at kilopascal pressures. The NLTE model more realistically captures delayed energy transfer and spatial temperature decoupling, offering new insights into the electromagnetic-thermal-flow interactions of ICP discharges and providing a modeling reference for designing ICP-based high-enthalpy plasma wind tunnel and realizing related aerospace applications.
[1] 詹志华, 王春华, 周秋娇, 刘成周, 赵鹏 2022 电工技术学报 37 2725
Google Scholar
Zhan Z H, Wang C H, Zhou Q J, Liu C Z, Zhao P 2022 Trans. China Electrotech. Soc. 37 2725
Google Scholar
[2] Bottin A, Carbonaro M, Haegen V V, Paris S 1999 ESA Publications Division 462 553
[3] Panerai F, Chazot O 2012 Mater. Chem. Phys. 134 597
Google Scholar
[4] Ito T, Ishida K, Mizuno M, Sumi T, Matsuzaki T, Nagai J, Murata H 2005 43rd AIAA Aerospace Science Meeting and Exhibit Reno, Nevada, January 10−13, 2005 pp10−13
[5] 林烈, 吴彬, 吴承康 2001 空气动力学学报 19 407
Lin L, Wu B, Wu C K 2001 Acta Aerodyn. Sin. 19 407
[6] 刘丽萍, 王国林, 王一光, 张军, 罗磊 2017 航空学报 39 421696
Google Scholar
Liu L P, Wang G L, Wang Y G, Zhang J, Luo L 2017 Acta Aeronaut. Astronaut. Sin. 39 421696
Google Scholar
[7] Luo L, Wang Y, Liu L, Duan L, Wang G, Lu Y 2016 Carbon 103 73
Google Scholar
[8] 张晓宁, 李和平, Murphy A B, 夏维东 2013 高电压技术 39 1640
Google Scholar
Zhang X N, Li H P, Murphy A B, Xia W D 2013 High Volt. Eng. 39 1640
Google Scholar
[9] Fujino T, Ito S, Okuno Y 2021 IEEE Trans. Plasma Sci. 49 2954
Google Scholar
[10] Al-Mamun S A, Tanaka Y, Uesugi Y 2010 Plasma Chem. Plasma Process. 30 141
Google Scholar
[11] Fujita K, Suzuki T, Mizuno M, Fujii K 2009 J. Thermophys. Heat Transf. 23 840
Google Scholar
[12] Tanaka Y, Sakuta T 2002 J. Phys. D: Appl. Phys. 35 2149
Google Scholar
[13] Degrez G, Abeele D V, Barbante P, Bottin B 2004 Int. J. Numer. Methods Heat Fluid Flow 14 538
Google Scholar
[14] 李日正, 倪国华, 孙红梅, 王城 2024 真空科学与技术学报 44 819
Google Scholar
Li R Z, Ni G H, Sun H M, Wang C 2024 Chin. J. Vac. Sci. Technol. 44 819
Google Scholar
[15] Liu Y, Xia G 2025 6th International Conference on Mechatronics Technology and Intelligent Manufacturing Nanjing, China, April 11−13, 2025 pp226−229
[16] 张雨涵, 赵欣茜, 梁英爽, 郭媛媛 2024 73 135201
Google Scholar
Yu H Z, Xin Q Z, Ying S L, Yuan Y G 2024 Acta Phys. Sin. 73 135201
Google Scholar
[17] Stewart R A, Vitello P, Graves D B 1994 J. Vac. Sci. Technol. B 12 478
Google Scholar
[18] Lei F, Li X, Liu Y, Liu D, Yang M, Yu Y 2018 AIP Adv. 8 015003
Google Scholar
[19] Punjabi S B, Joshi N K, Mangalvedekar H A, Lande B K, Das A K, Kothari D C 2012 Phys. Plasmas 19 012108
Google Scholar
[20] 朱海龙, 童洪辉, 杨发展, 程昌明, 叶高英 2013 高电压技术 39 1621
Google Scholar
Zhu H L, Tong H H, Yang F Z, Cheng C M, Ye G Y 2013 High Volt. Eng. 39 1621
Google Scholar
[21] 余德平, 吴杰, 涂军, 张仕杨, 辛强, 万勇建 2020 哈尔滨工业大学学报 52 82
Google Scholar
Yu D P, Wu J, Tu J, Zhang S Y, Xin Q, Wan Y J 2020 J. Harbin Inst. Technol. 52 82
Google Scholar
[22] Fujita K, Suzuki T, Ozawa T 2011 27th International Symposium on Rarefied Gas Dynamics Pacific Grove, California, USA, July 10−15, 2011 pp407−412
[23] 徐姿, 龚学余, 杜丹, 陈文波 2018 低温 40 36
Google Scholar
Xu Z, Gong X Y, Du D, Chen W B 2018 J. Low Temperat. Phys. 40 36
Google Scholar
[24] 2025-08-25 [荣命哲http://plasma-data.net/index
[2025-08-25
[25] Yu M, Yamada K, Takahashi Y, Liu K, Zhao T 2016 Phys. Plasmas 23 123523
Google Scholar
[26] Satoshi M, Kazuhiko Y, Takashi A 2015 JAXA Special Publication JAXA-SP-14-010 17−22
-
反
应反应方程 反应类型 反应速
率系数Δε/eV 1 e + Ar → e + Ar 弹性碰撞 kel — 2 e + Ar → e + Ar* 激发 kex 11.56 3 e + Ar* → e + Ar 激发 ksc –11.56 4 e + Ar → 2e + Ar+ 电离 ki 15.6 5 e + Ar* → 2e + Ar+ 电离 ksi 4.14 6 Ar*+Ar* → e+Ar+Ar+ 潘宁电离 kmp — 7 Ar + Ar* → Ar + Ar 亚稳猝灭 k2p — -
[1] 詹志华, 王春华, 周秋娇, 刘成周, 赵鹏 2022 电工技术学报 37 2725
Google Scholar
Zhan Z H, Wang C H, Zhou Q J, Liu C Z, Zhao P 2022 Trans. China Electrotech. Soc. 37 2725
Google Scholar
[2] Bottin A, Carbonaro M, Haegen V V, Paris S 1999 ESA Publications Division 462 553
[3] Panerai F, Chazot O 2012 Mater. Chem. Phys. 134 597
Google Scholar
[4] Ito T, Ishida K, Mizuno M, Sumi T, Matsuzaki T, Nagai J, Murata H 2005 43rd AIAA Aerospace Science Meeting and Exhibit Reno, Nevada, January 10−13, 2005 pp10−13
[5] 林烈, 吴彬, 吴承康 2001 空气动力学学报 19 407
Lin L, Wu B, Wu C K 2001 Acta Aerodyn. Sin. 19 407
[6] 刘丽萍, 王国林, 王一光, 张军, 罗磊 2017 航空学报 39 421696
Google Scholar
Liu L P, Wang G L, Wang Y G, Zhang J, Luo L 2017 Acta Aeronaut. Astronaut. Sin. 39 421696
Google Scholar
[7] Luo L, Wang Y, Liu L, Duan L, Wang G, Lu Y 2016 Carbon 103 73
Google Scholar
[8] 张晓宁, 李和平, Murphy A B, 夏维东 2013 高电压技术 39 1640
Google Scholar
Zhang X N, Li H P, Murphy A B, Xia W D 2013 High Volt. Eng. 39 1640
Google Scholar
[9] Fujino T, Ito S, Okuno Y 2021 IEEE Trans. Plasma Sci. 49 2954
Google Scholar
[10] Al-Mamun S A, Tanaka Y, Uesugi Y 2010 Plasma Chem. Plasma Process. 30 141
Google Scholar
[11] Fujita K, Suzuki T, Mizuno M, Fujii K 2009 J. Thermophys. Heat Transf. 23 840
Google Scholar
[12] Tanaka Y, Sakuta T 2002 J. Phys. D: Appl. Phys. 35 2149
Google Scholar
[13] Degrez G, Abeele D V, Barbante P, Bottin B 2004 Int. J. Numer. Methods Heat Fluid Flow 14 538
Google Scholar
[14] 李日正, 倪国华, 孙红梅, 王城 2024 真空科学与技术学报 44 819
Google Scholar
Li R Z, Ni G H, Sun H M, Wang C 2024 Chin. J. Vac. Sci. Technol. 44 819
Google Scholar
[15] Liu Y, Xia G 2025 6th International Conference on Mechatronics Technology and Intelligent Manufacturing Nanjing, China, April 11−13, 2025 pp226−229
[16] 张雨涵, 赵欣茜, 梁英爽, 郭媛媛 2024 73 135201
Google Scholar
Yu H Z, Xin Q Z, Ying S L, Yuan Y G 2024 Acta Phys. Sin. 73 135201
Google Scholar
[17] Stewart R A, Vitello P, Graves D B 1994 J. Vac. Sci. Technol. B 12 478
Google Scholar
[18] Lei F, Li X, Liu Y, Liu D, Yang M, Yu Y 2018 AIP Adv. 8 015003
Google Scholar
[19] Punjabi S B, Joshi N K, Mangalvedekar H A, Lande B K, Das A K, Kothari D C 2012 Phys. Plasmas 19 012108
Google Scholar
[20] 朱海龙, 童洪辉, 杨发展, 程昌明, 叶高英 2013 高电压技术 39 1621
Google Scholar
Zhu H L, Tong H H, Yang F Z, Cheng C M, Ye G Y 2013 High Volt. Eng. 39 1621
Google Scholar
[21] 余德平, 吴杰, 涂军, 张仕杨, 辛强, 万勇建 2020 哈尔滨工业大学学报 52 82
Google Scholar
Yu D P, Wu J, Tu J, Zhang S Y, Xin Q, Wan Y J 2020 J. Harbin Inst. Technol. 52 82
Google Scholar
[22] Fujita K, Suzuki T, Ozawa T 2011 27th International Symposium on Rarefied Gas Dynamics Pacific Grove, California, USA, July 10−15, 2011 pp407−412
[23] 徐姿, 龚学余, 杜丹, 陈文波 2018 低温 40 36
Google Scholar
Xu Z, Gong X Y, Du D, Chen W B 2018 J. Low Temperat. Phys. 40 36
Google Scholar
[24] 2025-08-25 [荣命哲http://plasma-data.net/index
[2025-08-25
[25] Yu M, Yamada K, Takahashi Y, Liu K, Zhao T 2016 Phys. Plasmas 23 123523
Google Scholar
[26] Satoshi M, Kazuhiko Y, Takashi A 2015 JAXA Special Publication JAXA-SP-14-010 17−22
计量
- 文章访问数: 911
- PDF下载量: 29
- 被引次数: 0








下载: