- 
				研究了人工巨原子与三个微腔耦合系统中的光子阻塞效应. 首先讨论了弱驱动腔模的情况, 分析了单光子和双光子激发时系统的能级结构和跃迁路径, 研究了系统中光子的统计特性. 其次, 考虑同时驱动人工巨原子和腔模, 探讨了利用量子干涉效应进一步增强光子阻塞. 研究结果表明, 系统的两个腔中出现了对弱驱动具有鲁棒性的光子阻塞效应, 等时二阶关联函数的值为$g^{(2)}(0)\approx 10^{-3.4} $. 另外, 在同时驱动人工巨原子和腔模的情况下, 本研究实现了最佳光子阻塞, 等时二阶关联函数可以达到$g^{(2)}(0)\approx 10^{-6.5} $. 该研究结果可为单光子源的实验实现提供新的可行方案.
The photon blockade effects in a system consisting of an artificial giant atom coupled with three cavities are investigated. By solving the Schrödinger equation, we obtain the steady-state probability amplitudes of the system and derive the analytical expressions for the equal-time second-order correlation function. Based on these analytical expressions, the optimal conditions for achieving the photon blockade under different driving conditions are derived in detail. We first examine the energy spectra and transition pathways for the single-photon and two-photon excitations in weakly driven cavity mode, and then investigate the statistical properties of photons. It is demonstrated that the optimal conventional photon blockade can be achieved by selecting appropriate driving detuning as characterized by the equal-time second-order correlation function of $g^{\left(2\right)}\left(0\right)\approx{10}^{-3.4} $. Remarkably, we observe that both cavities of the system exhibit robust photon blockade effects against the weak driving. It is also found that with the increase of the coupling strength between the artificial giant atom and cavities, the photon blockade phenomenon becomes more pronounced while maintaining its robustness to the weak driving. Furthermore, we consider the case of simultaneously driving both the artificial giant atom and cavity modes. The unique multi-point coupling characteristics of the artificial giant atom provide additional transition pathways for photons, thereby allowing us to use the resulting quantum interference to further enhance photon blockade. When the system satisfies the optimal parametric conditions for both the conventional and unconventional photon blockade effects, one cavity exhibits exceptional photon blockade with $g^{\left(2\right)}\left(0\right)\approx{10}^{-6.5} $. This research greatly relaxes the stringent parameter requirements for the experimental realization of single-photon sources and provides a theoretical support for improving their quality, which is crucial for achieving high-performance single-photon sources. [1] Couteau C, Barz S, Durt T, Gerrits T, Huwer J, Prevedel R, Rarity J, Shields A, Weihs G 2023 Nat. Rev. Phys. 5 326
Google Scholar
						[2] Couteau C, Barz S, Durt T, Gerrits T, Huwer J, Prevedel R, Rarity J, Shields A, Weihs G 2023 Nat. Rev. Phys. 5 354
Google Scholar
						[3] Tomm N, Javadi A, Antoniadis N O, et al. 2021 Nat. Nanotechnol. 16 399
Google Scholar
						[4] Senellart P, Solomon G, White A 2017 Nat. Nanotechnol. 12 1026
Google Scholar
						[5] Knill E, Laflamme R, Milburn G J 2001 Nature 409 46
Google Scholar
						[6] Kimble H J 2008 Nature 453 1023
Google Scholar
						[7] Sangouard N, Simon C, De Riedmatten H, Gisin N 2011 Rev. Mod. Phys. 83 33
Google Scholar
						[8] Scarani V, Bechmann-Pasquinucci H, Cerf N J, Dušek M, Lütkenhaus N, Peev M 2009 Rev. Mod. Phys. 81 1301
Google Scholar
						[9] Imamoğlu A, Schmidt H, Woods G, Deutsch M 1997 Phys. Rev. Lett. 79 1467
Google Scholar
						[10] Werner M J, Imamoğlu A 1999 Phys. Rev. A 61 011801
Google Scholar
						[11] Birnbaum K M, Boca A, Miller R, Boozer A D, Northup T E, Kimble H J 2005 Nature 436 87
Google Scholar
						[12] Zhou Y H, Shen H Z, Zhang X Y, Yi X X 2018 Phys. Rev. A 97 043819
Google Scholar
						[13] Brecha R J, Rice P R, Xiao M 1999 Phys. Rev. A 59 2392
Google Scholar
						[14] Zhou Y H, Zhang X Y, Wu Q C, Ye B L, Zhang Z Q, Zou D D, Shen H Z, Yang C P 2020 Phys. Rev. A 102 033713
Google Scholar
						[15] Shen H Z, Zhou Y H, Yi X X 2014 Phys. Rev. A 90 023849
Google Scholar
						[16] Majumdar A, Gerace D 2013 Phys. Rev. B 87 235319
Google Scholar
						[17] Sun J Y, Shen H Z 2023 Phys. Rev. A 107 043715
Google Scholar
						[18] Liew T C H, Savona V 2010 Phys. Rev. Lett. 104 183601
Google Scholar
						[19] Bamba M, Imamoğlu A, Carusotto I, Ciuti C 2011 Phys. Rev. A 83 021802
Google Scholar
						[20] Sarma B, Sarma A K 2017 Phys. Rev. A 96 053827
Google Scholar
						[21] Shen H Z, Shang C, Zhou Y H, Yi X X 2018 Phys. Rev. A 98 023856
Google Scholar
						[22] Lemonde M A, Didier N, Clerk A A 2014 Phys. Rev. A 90 063824
Google Scholar
						[23] Snijders H J, Frey J A, Norman J, et al. 2018 Phys. Rev. Lett. 121 043601
Google Scholar
						[24] Vaneph C, Morvan A, Aiello G, Féchant M, Aprili M, Gabelli J, Estève J 2018 Phys. Rev. Lett. 121 043602
Google Scholar
						[25] Carusotto I, Ciuti C 2013 Rev. Mod. Phys. 85 299
Google Scholar
						[26] Shen H Z, Zhou Y H, Yi X X 2015 Phys. Rev. A 91 063808
Google Scholar
						[27] Zhou Y H, Shen H Z, Shao X Q, Yi X X 2016 Opt. Express 24 17332
Google Scholar
						[28] Zheng C M, Zhang W, Wang D Y, Han X, Wang H F 2023 New J. Phys. 25 043030
Google Scholar
						[29] Chen M Y, Tang J S, Tang L, Wu H D, Xia K Y 2022 Phys. Rev. Res. 4 033083
Google Scholar
						[30] Li M, Zhang Y L, Wu S H, Dong C H, Zou X B, Guo G C, Zou C L 2022 Phys. Rev. Lett. 129 043601
Google Scholar
						[31] Lu Y W, Liu J F, Li R H, Wu Y X, Tan H S, Li Y Y 2022 New J. Phys. 24 053029
Google Scholar
						[32] Lin H Y, Wang X Q, Yao Z H, Zou D D 2020 Opt. Express 28 17643
Google Scholar
						[33] 张志强 2025 74 164205
Google Scholar
						Zhang Z Q 2025 Acta Phys. Sin. 74 164205
Google Scholar
						[34] 李宏, 张斯淇, 郭明, 李美萱, 宋立军 2019 68 124203
Google Scholar
						Li H, Zhang S Q, Guo M, Li M X, Song L J 2019 Acta Phys. Sin. 68 124203
Google Scholar
						[35] Hou R, Zhang W, Han X, Wang H F, Zhang S 2025 Sci. Rep. 15 5145
Google Scholar
						[36] Qiao X F, Yao Z H, Yang H 2024 Phys. Rev. A 110 053702
Google Scholar
						[37] Fan X H, Zhang Y N, Yu J P, Liu M Y, He W D, Li H C, Xiong W 2024 Adv. Quantum Technol. 7 2400043
Google Scholar
						[38] Li H J, Fan L B, Ma S, Liao J Q, Shu C C 2024 Phys. Rev. A 110 043707
Google Scholar
						[39] Zhou Y H, Liu T, Su Q P, et al. 2025 Phys. Rev. Lett. 134 183601
Google Scholar
						[40] Hamsen C, Tolazzi K N, Wilk T, Rempe G 2017 Phys. Rev. Lett. 118 133604
Google Scholar
						[41] Huang R, Miranowicz A, Liao J Q, Nori F, Jing H 2018 Phys. Rev. Lett. 121 153601
Google Scholar
						[42] Scully M O, Zubairy M S 1997 Quantum Optics (Cambridge: Cambridge University Press) p134
[43] Rabl P 2011 Phys. Rev. Lett. 107 063601
Google Scholar
						[44] Redchenko E S, Zens M, Žemlička M, et al. 2025 Phys. Rev. Lett. 134 063601
Google Scholar
						[45] Ma K J, Liu J, Cai Y, Tan L 2025 Phys. Scr. 100 025109
Google Scholar
						[46] Stewart M, Kwon J, Lanuza A, Schneble D 2020 Phys. Rev. Res. 2 043307
Google Scholar
						[47] Krinner L, Stewart M, Pazmiño A, Kwon J, Schneble D 2018 Nature 559 589
Google Scholar
						[48] Hood J D, Goban A, Asenjo-Garcia A, Lu M, Yu S P, Chang D E, Kimble H 2016 Proc. Natl. Acad. Sci. 113 10507
Google Scholar
						[49] Scigliuzzo M, Calajò G, Ciccarello F, et al. 2022 Phys. Rev. X 12 031036
Google Scholar
						[50] Ferreira V S, Banker J, Sipahigil A, et al. 2021 Phys. Rev. X 11 041043
Google Scholar
						 - 
				
    
    
图 2 单光子阻塞产生的能级示意图. 当驱动场的频率$ \omega_{{\rm{d}}}=\omega_{0}\pm\sqrt{3}g $, 一个光子被系统共振吸收, 而第二个光子被阻塞
Fig. 2. Energy-level diagram for single-photon blockade. When the driving field frequency $ \omega_{{\rm{d}}} = \omega_0 \pm \sqrt{3}g $, one photon is resonantly absorbed by the system, while the second photon is blockaded.
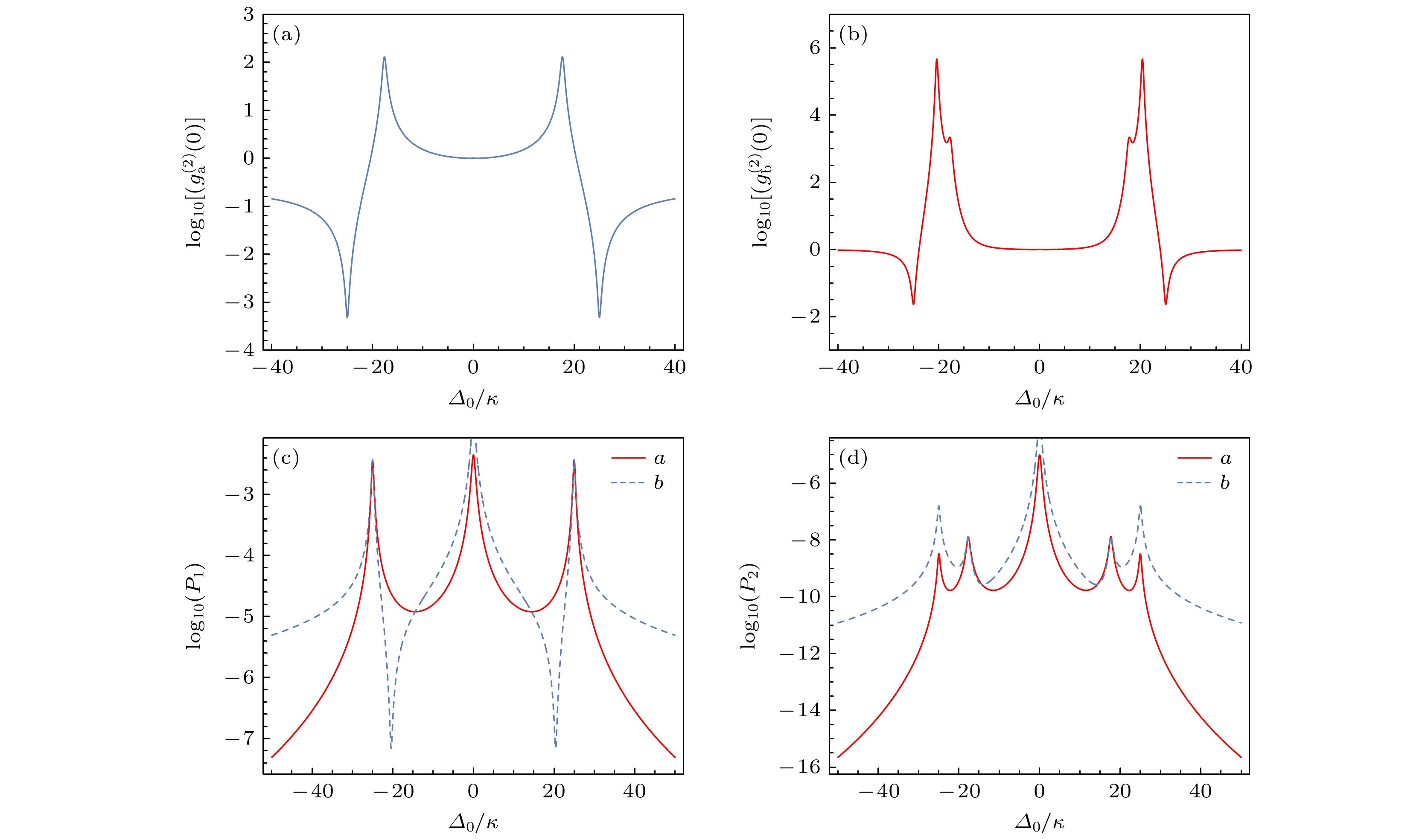
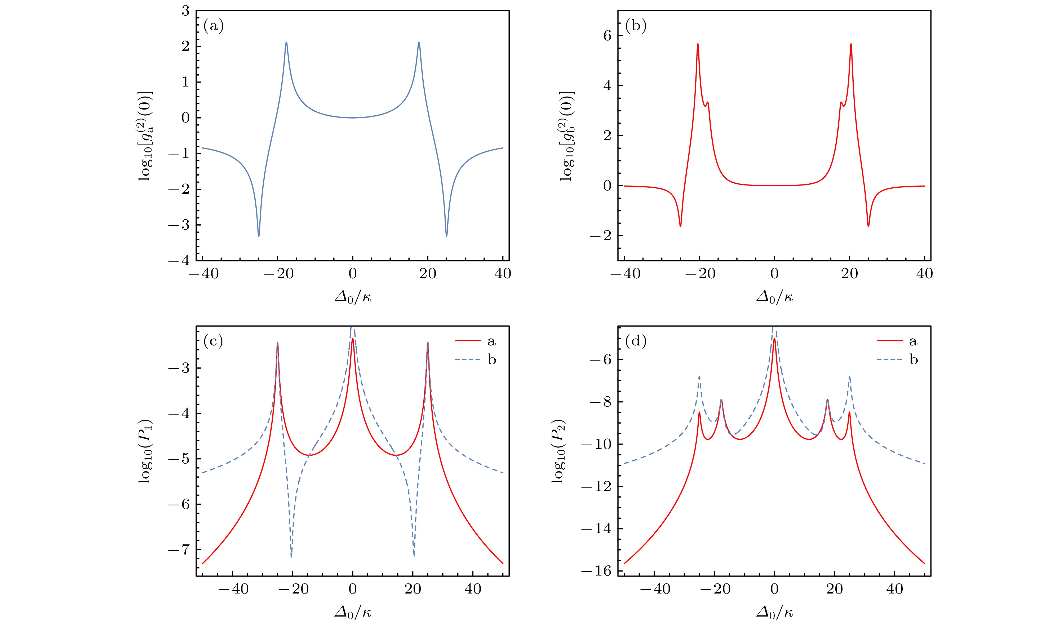
图 3 (a), (b)分别为a, b腔等时二阶关联函数$ g^{(2)}(0) $随驱动失谐$ \varDelta_0/\kappa $的变化图; (c), (d)分别为a, b腔单光子占据概率$ P_1 $以及双光子占据概率$ P_2 $随驱动失谐$ \varDelta_0/\kappa $的变化图. 红色实线与蓝色虚线分别对应a腔与b腔, 共享参数为$ \varOmega/\kappa= 0.1 ,\;\gamma/\kappa= $$ 0.1 ,\; g/\kappa=25/\sqrt{3} $
Fig. 3. (a), (b) Logarithmic plots of the equal-time second-order correlation function $ g^{(2)}(0) $ versus detuning $ \varDelta_{0} /\kappa $ for a, b mode; (c), (d) logarithmic plots of the single-photon $ P_1 $ and two-photon $ P_2 $ occupation probabilities versus detuning $ \varDelta_0/\kappa $ for a, b mode. Red solid and blue dashed curves represent a and b modes, respectively. Parameters: $ \varOmega/\kappa=0.1, \ \gamma/\kappa=0.1, \ g/\kappa=25/\sqrt{3} $.
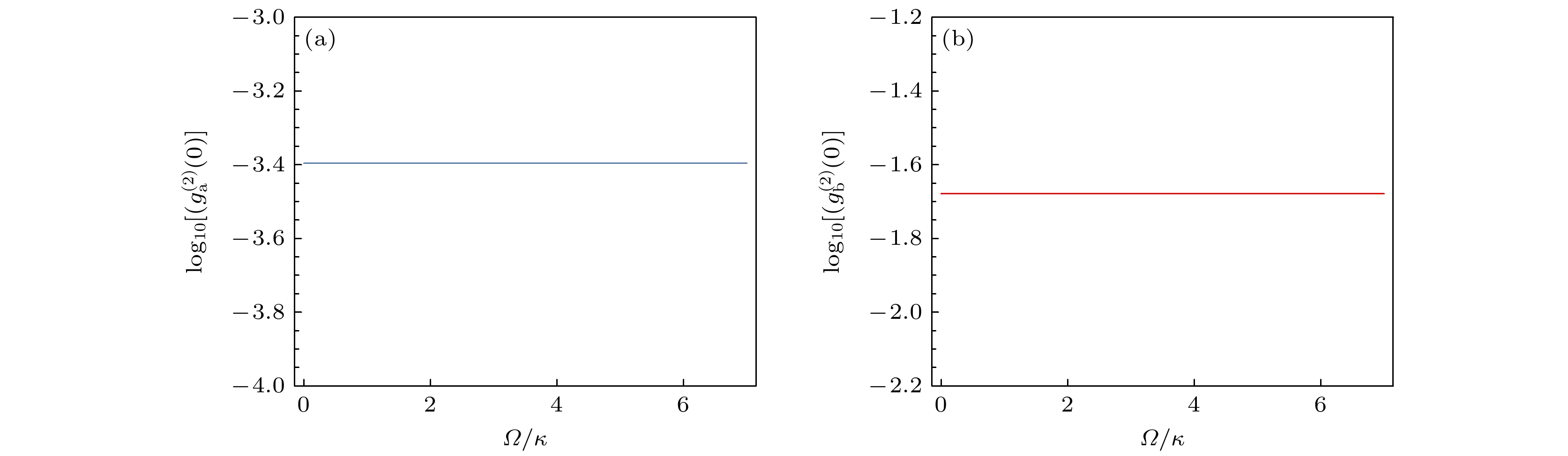
图 4 (a), (b)分别为a, b腔等时二阶关联函数$ g^{(2)}(0) $随驱动强度$ \varOmega/\kappa $的变化图. 共享参数为$ \varDelta_{0}=\sqrt{3}g $, $ \gamma/\kappa=0.1 , $$ g /\kappa =25 /\sqrt{3} $
Fig. 4. (a), (b) Logarithmic plots of the equal-time second-order correlation function $ g^{(2)}(0) $ versus $ \varOmega/\kappa $ for a, b mode. Parameters: $ \varDelta_{0}=\sqrt{3}g , \gamma/\kappa=0.1 $ and $ g /\kappa =25 /\sqrt{3} $.
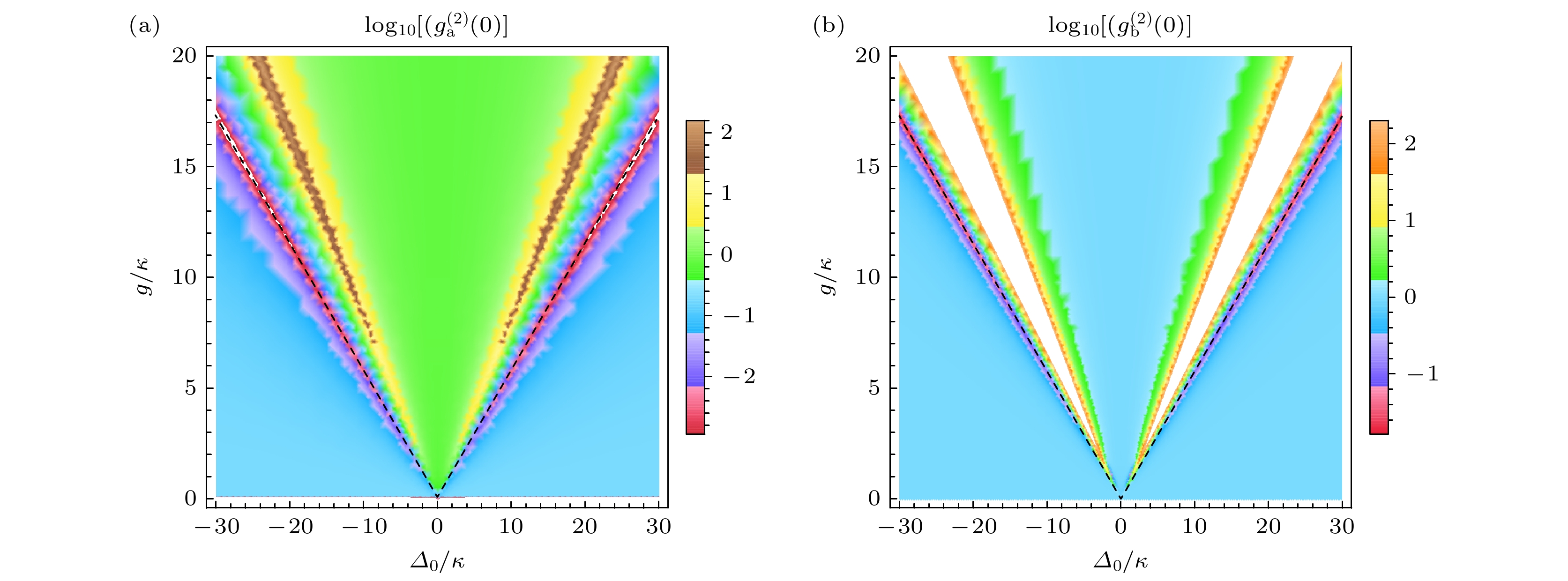
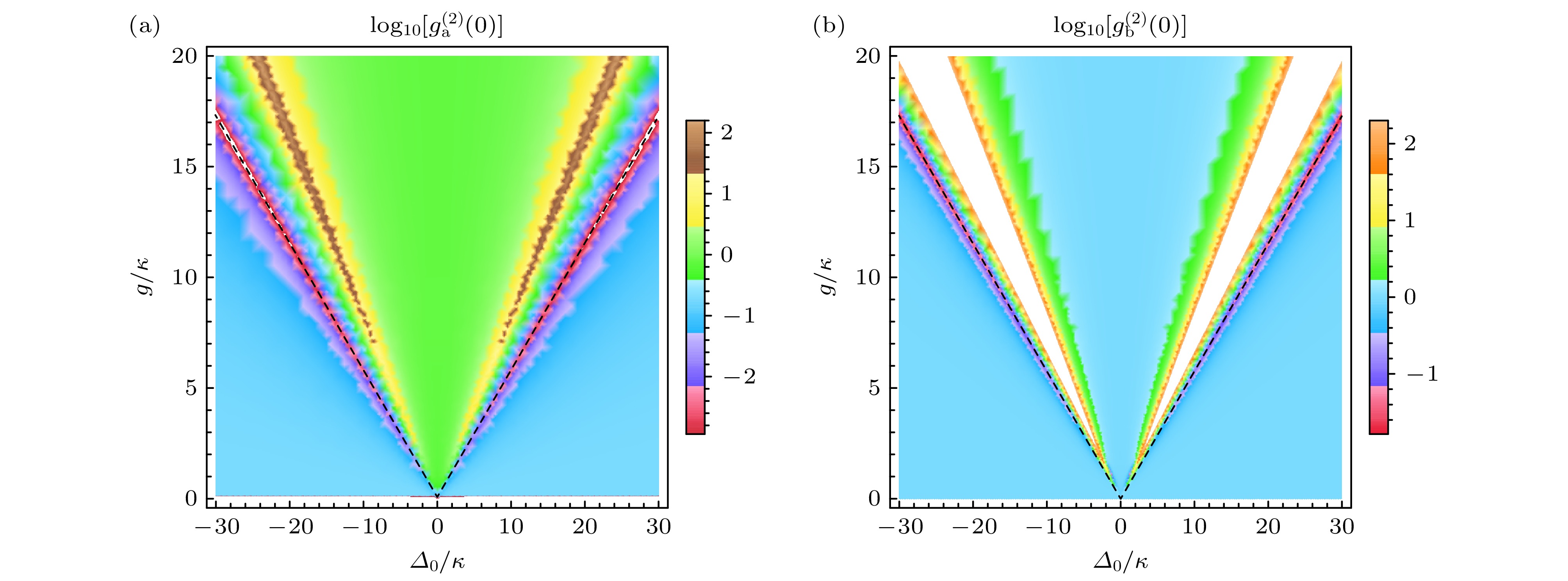
图 5 (a), (b)分别为a, b腔等时二阶关联函数$ g^{(2)}(0) $随驱动失谐$ \varDelta_0/\kappa $和耦合强度$ g/\kappa $的变化图. 共享参数为$ \varOmega/\kappa=0.1 , $$ \gamma/\kappa=0.1 $. 在上述图像中, 黑色虚线表示最佳常规阻塞条件$ \varDelta_0=\pm\sqrt{3}g $
Fig. 5. (a), (b) Logarithmic plots of the equal-time second-order correlation function $ g^{(2)}(0) $ versus $ \varDelta_{0} /\kappa $ and $ g /\kappa $ for a, b mode. Parameters: $ \varOmega/\kappa=0.1 $ and $ \gamma/\kappa=0.1 $. Black dashed lines indicate optimal conditions $ \varDelta_0=\pm\sqrt{3}g $.
图 6 (a), (b) a, b腔等时二阶关联函数随原子驱动强度ε与腔驱动强度Ω之比$ \varepsilon/\varOmega $的变化图; (c) b腔单光子占据概率$ |C_{g, 0, 1, 0}|^2 $随$ \varepsilon/\varOmega $的变化; (d) b腔双光子占据概率$ |C_{g, 0, 2, 0}|^2 $随$ \varepsilon/\varOmega $的变化. 其中$ \varDelta_0=\sqrt{3}g $, 其他参数与图3相同
Fig. 6. (a), (b) Logarithmic plots of equal-time second-order correlation $ g^{(2)}(0) $ versus driving ratio $ \varepsilon/\varOmega $ for a, b mode; (c) single-photon occupation probabilities $ |C_{g, 0, 1, 0}|^2 $ versus driving ratio $ \varepsilon/\varOmega $ for b mode; (d) two-photon occupation probabilities $ |C_{g, 0, 2, 0}|^2 $ versus driving ratio $ \varepsilon/\varOmega $ for b mode. Parameters: $ \varDelta_0=\sqrt{3}g $ and other parameters are the same as Fig. 3.
图 7 系统从态$ | g, 0, 0, 0 \rangle $到达态$ | g, 0, 2, 0 \rangle $有多条路径, 这些路径之间的量子干涉相消可以产生非常规光子阻塞效应. 图中黑色实线代表系统的所有可能量子态; 黑色双向箭头实线表示在外部驱动下系统吸收光子的过程; 蓝色双向箭头虚线表示当系统中有单个光子时, 不同状态之间的跃迁路径; 红色双向箭头虚线表示当系统中有两个光子时, 不同状态之间的跃迁路径
Fig. 7. Quantum destructive interference between multiple transition pathways from state $ | g, 0, 0, 0 \rangle $ to state $| g, 0, 2, 0 \rangle $ generates unconventional photon blockade effect. In the diagram, the solid black line represents all possible quantum states of the system. The black solid double-headed arrow denotes the photon absorption process under external driving. The blue double-headed arrows dotted line indicate transition pathways between different states when the system contains a single photon. The red double-headed arrows dotted line represent transition pathways between different states when the system contains two photons.
图 8 a腔等时二阶关联函数$ g_{{\rm{a}}}^{(2)}(0) $随耦合强度$ g /\kappa $和驱动强度比$ \varepsilon /\varOmega $的变化图, 其中$ \varDelta_{0}=\sqrt{3}g $且其余参数与图5相同
Fig. 8. Logarithmic plot of the equal-time second-order correlation function $ g_{{\rm{a}}}^{(2)}(0) $ versus the coupling strength ratio $ \varepsilon/\varOmega $ and coupling strength $ g/\kappa $ for mode a, with $ \varDelta_0 = \sqrt{3}g $ and other parameters are the same as in Fig. 5.
图 9 (a), (b)分别为a, b腔的等时二阶关联函数$ g^{(2)}(0) $随驱动失谐$ \varDelta_0/\kappa $的变化图, 其中$ g/\kappa=25/\sqrt{3} $, $ \varepsilon=\dfrac{\sqrt{3}}{3}\varOmega $, 其余参数与图5相同
Fig. 9. (a), (b) Logarithmic plots of the equal-time second-order correlation function $ g^{(2)}(0) $ versus detuning $ \varDelta_0/\kappa $ for a, b mode, respectively. Parameters: $ g/\kappa=25/\sqrt{3} $, $ \varepsilon=\dfrac{\sqrt{3}}{3}\varOmega $ and other parameters are the same as in Fig. 5.
 - 
				
[1] Couteau C, Barz S, Durt T, Gerrits T, Huwer J, Prevedel R, Rarity J, Shields A, Weihs G 2023 Nat. Rev. Phys. 5 326
Google Scholar
						[2] Couteau C, Barz S, Durt T, Gerrits T, Huwer J, Prevedel R, Rarity J, Shields A, Weihs G 2023 Nat. Rev. Phys. 5 354
Google Scholar
						[3] Tomm N, Javadi A, Antoniadis N O, et al. 2021 Nat. Nanotechnol. 16 399
Google Scholar
						[4] Senellart P, Solomon G, White A 2017 Nat. Nanotechnol. 12 1026
Google Scholar
						[5] Knill E, Laflamme R, Milburn G J 2001 Nature 409 46
Google Scholar
						[6] Kimble H J 2008 Nature 453 1023
Google Scholar
						[7] Sangouard N, Simon C, De Riedmatten H, Gisin N 2011 Rev. Mod. Phys. 83 33
Google Scholar
						[8] Scarani V, Bechmann-Pasquinucci H, Cerf N J, Dušek M, Lütkenhaus N, Peev M 2009 Rev. Mod. Phys. 81 1301
Google Scholar
						[9] Imamoğlu A, Schmidt H, Woods G, Deutsch M 1997 Phys. Rev. Lett. 79 1467
Google Scholar
						[10] Werner M J, Imamoğlu A 1999 Phys. Rev. A 61 011801
Google Scholar
						[11] Birnbaum K M, Boca A, Miller R, Boozer A D, Northup T E, Kimble H J 2005 Nature 436 87
Google Scholar
						[12] Zhou Y H, Shen H Z, Zhang X Y, Yi X X 2018 Phys. Rev. A 97 043819
Google Scholar
						[13] Brecha R J, Rice P R, Xiao M 1999 Phys. Rev. A 59 2392
Google Scholar
						[14] Zhou Y H, Zhang X Y, Wu Q C, Ye B L, Zhang Z Q, Zou D D, Shen H Z, Yang C P 2020 Phys. Rev. A 102 033713
Google Scholar
						[15] Shen H Z, Zhou Y H, Yi X X 2014 Phys. Rev. A 90 023849
Google Scholar
						[16] Majumdar A, Gerace D 2013 Phys. Rev. B 87 235319
Google Scholar
						[17] Sun J Y, Shen H Z 2023 Phys. Rev. A 107 043715
Google Scholar
						[18] Liew T C H, Savona V 2010 Phys. Rev. Lett. 104 183601
Google Scholar
						[19] Bamba M, Imamoğlu A, Carusotto I, Ciuti C 2011 Phys. Rev. A 83 021802
Google Scholar
						[20] Sarma B, Sarma A K 2017 Phys. Rev. A 96 053827
Google Scholar
						[21] Shen H Z, Shang C, Zhou Y H, Yi X X 2018 Phys. Rev. A 98 023856
Google Scholar
						[22] Lemonde M A, Didier N, Clerk A A 2014 Phys. Rev. A 90 063824
Google Scholar
						[23] Snijders H J, Frey J A, Norman J, et al. 2018 Phys. Rev. Lett. 121 043601
Google Scholar
						[24] Vaneph C, Morvan A, Aiello G, Féchant M, Aprili M, Gabelli J, Estève J 2018 Phys. Rev. Lett. 121 043602
Google Scholar
						[25] Carusotto I, Ciuti C 2013 Rev. Mod. Phys. 85 299
Google Scholar
						[26] Shen H Z, Zhou Y H, Yi X X 2015 Phys. Rev. A 91 063808
Google Scholar
						[27] Zhou Y H, Shen H Z, Shao X Q, Yi X X 2016 Opt. Express 24 17332
Google Scholar
						[28] Zheng C M, Zhang W, Wang D Y, Han X, Wang H F 2023 New J. Phys. 25 043030
Google Scholar
						[29] Chen M Y, Tang J S, Tang L, Wu H D, Xia K Y 2022 Phys. Rev. Res. 4 033083
Google Scholar
						[30] Li M, Zhang Y L, Wu S H, Dong C H, Zou X B, Guo G C, Zou C L 2022 Phys. Rev. Lett. 129 043601
Google Scholar
						[31] Lu Y W, Liu J F, Li R H, Wu Y X, Tan H S, Li Y Y 2022 New J. Phys. 24 053029
Google Scholar
						[32] Lin H Y, Wang X Q, Yao Z H, Zou D D 2020 Opt. Express 28 17643
Google Scholar
						[33] 张志强 2025 74 164205
Google Scholar
						Zhang Z Q 2025 Acta Phys. Sin. 74 164205
Google Scholar
						[34] 李宏, 张斯淇, 郭明, 李美萱, 宋立军 2019 68 124203
Google Scholar
						Li H, Zhang S Q, Guo M, Li M X, Song L J 2019 Acta Phys. Sin. 68 124203
Google Scholar
						[35] Hou R, Zhang W, Han X, Wang H F, Zhang S 2025 Sci. Rep. 15 5145
Google Scholar
						[36] Qiao X F, Yao Z H, Yang H 2024 Phys. Rev. A 110 053702
Google Scholar
						[37] Fan X H, Zhang Y N, Yu J P, Liu M Y, He W D, Li H C, Xiong W 2024 Adv. Quantum Technol. 7 2400043
Google Scholar
						[38] Li H J, Fan L B, Ma S, Liao J Q, Shu C C 2024 Phys. Rev. A 110 043707
Google Scholar
						[39] Zhou Y H, Liu T, Su Q P, et al. 2025 Phys. Rev. Lett. 134 183601
Google Scholar
						[40] Hamsen C, Tolazzi K N, Wilk T, Rempe G 2017 Phys. Rev. Lett. 118 133604
Google Scholar
						[41] Huang R, Miranowicz A, Liao J Q, Nori F, Jing H 2018 Phys. Rev. Lett. 121 153601
Google Scholar
						[42] Scully M O, Zubairy M S 1997 Quantum Optics (Cambridge: Cambridge University Press) p134
[43] Rabl P 2011 Phys. Rev. Lett. 107 063601
Google Scholar
						[44] Redchenko E S, Zens M, Žemlička M, et al. 2025 Phys. Rev. Lett. 134 063601
Google Scholar
						[45] Ma K J, Liu J, Cai Y, Tan L 2025 Phys. Scr. 100 025109
Google Scholar
						[46] Stewart M, Kwon J, Lanuza A, Schneble D 2020 Phys. Rev. Res. 2 043307
Google Scholar
						[47] Krinner L, Stewart M, Pazmiño A, Kwon J, Schneble D 2018 Nature 559 589
Google Scholar
						[48] Hood J D, Goban A, Asenjo-Garcia A, Lu M, Yu S P, Chang D E, Kimble H 2016 Proc. Natl. Acad. Sci. 113 10507
Google Scholar
						[49] Scigliuzzo M, Calajò G, Ciccarello F, et al. 2022 Phys. Rev. X 12 031036
Google Scholar
						[50] Ferreira V S, Banker J, Sipahigil A, et al. 2021 Phys. Rev. X 11 041043
Google Scholar
						 
计量
- 文章访问数: 578
 - PDF下载量: 20
 - 被引次数: 0
 


					
		        
	        
 
										





							
下载: