-
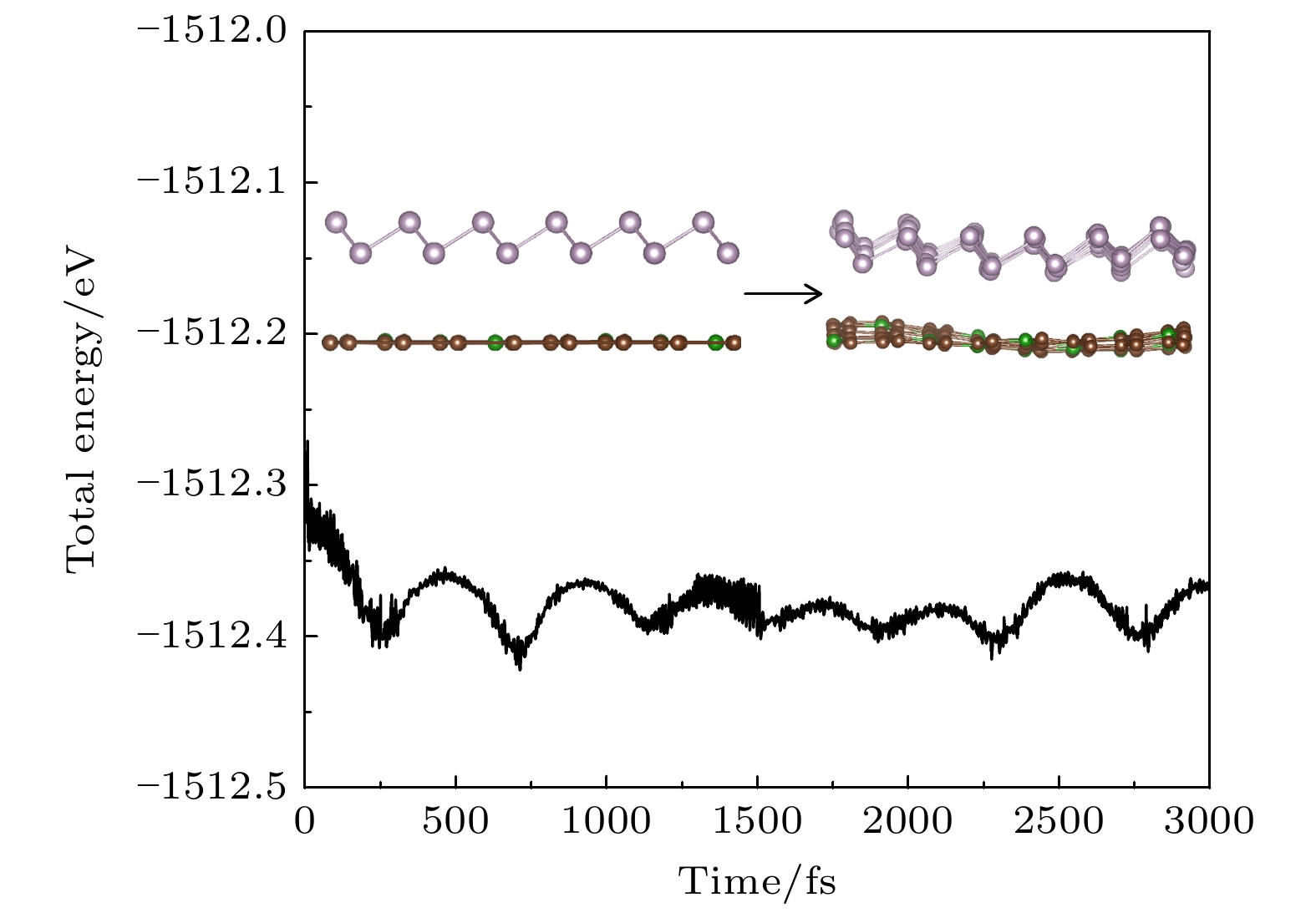
采用基于密度泛函理论的第一性原理计算方法, 讨论了不同浓度硼(B)掺杂石墨烯/蓝磷异质结BiGr/BP (i = 0, 1, 2, 3, 4)的几何结构、稳定性、电子性质以及对镁(Mg)的吸附能力. 结果表明, B掺杂后, 异质结保持结构稳定, 费米能级下移且贯穿多条能带, 材料导电性增强. 随着掺杂浓度的增大, 材料对Mg的吸附能力逐渐增强. 当B掺杂浓度i = 4 (原子个数)时, B4Gr/BP保持热力学稳定, 展现出优异的导电性, 较强的Mg吸附能力(–3.38 eV), 较低的扩散势垒(0.47 eV), 理想的平均开路电压(0.37 V)以及合适的理论容量(286.04 mAh/g). 这表明, B掺杂能有效改善石墨烯/蓝磷(Gr/BP)储镁性能, 特别是B4Gr/BP性能优异, 有望成为镁离子电池阳极的候选材料.Magnesium-ion batteries (MIBs) are regarded as a promising alternative to lithium-ion batteries (LIBs) due to their material abundance, cost-effectiveness, and improved safety. The development of high-performance anode materials is crucial for the advancement of MIBs. In this work, the feasibility of boron-doped graphene/blue phosphorene heterojunctions BiGr/BP (i = 0, 1, 2, 3, 4) as potential anode materials for MIBs is systematically investigated using the density functional theory. Our results show that the average binding energies of BiGr/BP (i = 0, 1, 2, 3, 4) are negative, suggesting their suitability for experimental synthesis. The analyses of band structure and density of states reveal that BiGr/BP (i = 0, 1, 2, 3, 4) exhibit high conductivity, as the 2p orbitals of carbon and boron dominantly contribute to the density of states at the Fermi level. Magnesium (Mg) adsorption capacity rises with the increase of boron doping concentrations, indicating stronger interactions between the heterojunctions and Mg. At the highest doping concentration (i = 4), the adsorption energy of Mg adsorbed in the interlayer is –3.38 eV, demonstrating substantial potential for Mg storage. The ab initio molecular dynamics (AIMD) simulations at 300 K show minor fluctuations in total energy, confirming the thermal stability of B4Gr/BP. Climbing image nudged elastic band (CI-NEB) method is used to determine two diffusion pathways of Mg in the B4Gr/BP interlayer. Along Path II, the maximum diffusion barrier is 0.47 eV, suggesting rapid Mg diffusion in the B4Gr/BP interlayer. The average open-circuit voltage is 0.37 V, ensuring the safety of the charge-discharge process. The theoretical capacity is 286.04 mAh/g, which is twice that of the B4Gr/MoS2 system. In summary, boron doping significantly enhances the Mg storage capacity. Specifically, B4Gr/BP appears to be a promising candidate for high-performance anodes in MIBs, owing to its excellent stability, conductivity, Mg storage capacity, and electrochemical properties.
-
Keywords:
- boron-doped Gr/BP /
- magnesium-ion batteries /
- first-principles
[1] Chen W D, Liang J, Yang Z H, Li G 2019 Energy Proc. 158 4363
Google Scholar
[2] Tarascon J M, Armand M 2001 Nature 414 359
Google Scholar
[3] Lv C W, Qin M L, He Y P, Wu M Q, Zhu Q S, Wu S Y 2025 Solid State Ionics 423 116820
Google Scholar
[4] Durajski A P, Kasprzak G T 2023 Phys. B 660 414902
Google Scholar
[5] Wang Y Q, Yang Z, Song J Y 2025 Mol. Phys. 24 e2482678
Google Scholar
[6] 刘立林 2022 硕士学位论文 (石家庄: 河北师范大学)
Liu L L 2022 M. S. Thesis (Shijiazhuang: Hebei Normal University
[7] Guo Q, Zeng W, Liu S L, Li Y Q, Xu J Y, Wang J X, Wang Y 2021 Rare Met. 40 290
Google Scholar
[8] 李欣悦, 高国翔, 高强, 刘春生, 叶小娟 2024 73 118201
Google Scholar
Li X Y, Gao G X, Gao Q, Liu C S, Ye X J 2024 Acta Phys. Sin. 73 118201
Google Scholar
[9] Raccichini R, Varzi A, Passerini S, Scrosati B 2015 Nat. Mater. 14 271
Google Scholar
[10] Qiu Z, Cao F, Pan G X, Li C, Chen M H, Zhang Y Q, He X P, Xia Y, Xia X H, Zhang W K 2023 ChemPhysMater 2 267
Google Scholar
[11] Zhang L J, Zhang T H, Wang C, Jin W, Li Y, Wang H, Ding C C, Wang Z Y 2025 Chem. Phys. 594 112664
Google Scholar
[12] Qi J Q, Li Q, Huang M Y, Ni J J, Sui Y W, Meng Q K, Wei F X, Zhu L, Wei W Q 2024 Colloids Surf. A Physicochem. Eng. Asp. 683 132998
Google Scholar
[13] Fan K M, Tang J, Wu S Y, Yang C F, Hao J B 2017 Phys. Chem. Chem. Phys. 19 267
Google Scholar
[14] Cheng J Y, Gao L F, Li T, Mei S, Wang C, Wen B, Huang W C, Li C, Zheng G P, Wang H, Zhang H 2020 Nano-Micro Lett. 12 179
Google Scholar
[15] Sibari A, Marjaoui A, Lakhal, Kerrami Z, Kara A, Benaissa M, Ennaoui A, Hamedoun M, Benyoussef A, Mounkachi O 2018 Sol. Energy Mater. Sol. Cells 180 253
Google Scholar
[16] Kulish V V, Malyi O I, Persson C, Wu P 2015 Phys. Chem. Chem. Phys. 17 13921
Google Scholar
[17] Aierken Y, Cakir D, Sevik C, Peeters F M 2015 Phys. Rev. B 92 081408
Google Scholar
[18] Li Q F, Duan C G, Wan X G, Kuo J L 2015 J. Phys. Chem. C 119 8662
Google Scholar
[19] Liu H W, Zou Y Q, Tao L, Ma Z L, Liu D D, Zhou P, Liu H, Wang S Y 2017 Small 13 1700758
Google Scholar
[20] Kaddar Y, Zhang W, Enriquez H, Dappe Y J, Bendounan A, Dujardin G, Mounkachi O, El Kenz A, Benyoussef A, Kara A, Oughaddou H 2023 Adv. Funct. Mater. 33 2213664
Google Scholar
[21] Li Y, Wu W T, Ma F 2019 J. Mater. Chem. A 7 611
Google Scholar
[22] Mukherjee S, Kaloni T P 2012 J. Nano. Res. 14 1
Google Scholar
[23] Kresse G, Furthmüller J 1996 Phys. Rev. B 54 11169
Google Scholar
[24] Kresse G, Furthmüller J 1996 Comput. Mater. Sci. 6 15
Google Scholar
[25] Perdew J P, Burke K, Ernzerhof M 1996 Phys. Rev. Lett. 77 3865
Google Scholar
[26] Blöchl P E 1994 Phys. Rev. B 50 17953
Google Scholar
[27] Steinmann S N, Corminboeuf C 2010 J. Chem. Theory Comput. 6 1990
Google Scholar
[28] Nosé S 2002 Mol. Phys. 100 191
Google Scholar
[29] Henkelman G, Uberuaga B P, Jónsson H 2000 J. Chem. Phys. 113 9901
Google Scholar
[30] Castro Neto A H, Guinea F, Peres N M R, Novoselov K S, Geim A K 2009 Rev. Mod. Phys. 81 109
Google Scholar
[31] Ghosh B, Nahas S, Bhowmick S, Agarwal A 2015 Phys. Rev. B 91 115433
Google Scholar
[32] Suragtkhuu S, Bat-Erdene M, Bati A S R, Shapter J G, Davaasambuu S, Batmunkh M 2020 J. Mater. Chem. A 8 20446
Google Scholar
[33] Xiao J, Long M Q, Zhang X J, Ouyang J, Xu H, Gao Y L 2015 Sci. Rep. 5 9961
Google Scholar
[34] Bo T, Liu P F, Xu J P, Zhang J R, Chen Y B, Eriksson O, Wang F W, Wang B T 2018 Phys. Chem. Chem. Phys. 20 22168
Google Scholar
[35] Sun Z M, Yuan M W, Yang H, Lin L, Sun G B, Yang X J 2021 Appl. Surf. Sci. 543 148790
Google Scholar
[36] Pozzo M, Alfè D 2008 Phys. Rev. B 77 104103
Google Scholar
[37] Shomali E, Sarsari I A, Tabatabaei F, Mosaferi M, Seriani N 2019 Comput. Mater. Sci. 163 315
Google Scholar
[38] Obaidullah, Habiba U, Piya A A, Daula Shamim S U 2023 AIP Adv. 13 11
Google Scholar
[39] 朱家铎 2025 博士学位论文 (西安: 西安电子科技大学)
Zhu J D 2025 Ph. D. Dissertation (Xi’an: Xidian University
[40] Zhang C M, Jiao Y L, He T W, Ma F X, Kou L Z, Liao T, Bottle S, Du A J 2017 Phys. Chem. Chem. Phys. 19 25886
Google Scholar
[41] Eames C, Islam M S. 2014 J. Am. Chem. Soc. 136 16270
Google Scholar
-
表 1 BiGr/BP (i = 0, 1, 2, 3, 4)的平均结合能、晶格常数、层间距、键长和键角
Table 1. Average binding energies, lattice constants, interlayer distances, bond lengths and bond angles of BiGr/BP (i = 0, 1, 2, 3, 4).
Systems Eb/(meV·atom–1) a/Å d/Å Bondtype Distance/Å Type Angle/(°) B0Gr/BP –24.98 9.86 3.57 C—C
P—P1.42
2.26∠C—C—C
∠P—P—P119.98—120.01
93.06—93.11B1Gr/BP –24.55 9.90 3.59 C—C
C—B
P—P1.41—1.44
1.49
2.27∠C—C—C
∠C—B—C
∠P—P—P119.29—122.72
120.00
93.04—93.43B2Gr/BP –23.80 9.94 3.59 C—C
C—B
P—P1.41—1.45
1.50
2.27∠C—C—C
∠C—B—C
∠P—P—P119.66—123.58
119.96—119.99
93.49—93.72B3Gr/BP –24.33 9.99 3.58 C—C
C—B
P—P1.41—1.45
1.50—1.51
2.28∠C—C—C
∠C—B—C
∠P—P—P118.34—123.70
119.51—120.83
93.70—93.97B4Gr/BP –19.75 10.04 3.53 C—C
C—B
P—P1.40—1.44
1.50
2.28∠C—C—C
∠C—B—C
∠P—P—P117.47—124.64
119.85—120.04
93.85—94.39表 2 Mg在BiGr/BP (i = 0, 1, 2, 3, 4)层间和外表面不同吸附位点的吸附能(eV)
Table 2. Mg adsorption energies (eV) at the interlayer and outer surface of BiGr/BP (i = 0, 1, 2, 3, 4)
System Mg/BiGr/BP BiGr/BP/Mg BiGr/Mg/BlueP Hc Tp T1 T2 T3 T4 T5 B0Gr/BP –0.25 –0.44 –1.05 –1.00 –1.02 –1.02 –1.00 B1Gr/BP –0.88 –0.73 –2.52 –1.87 –2.19 –2.15 –1.87 B2Gr/BP –0.95 –0.85 –2.82 –2.22 –2.53 –2.53 –2.23 B3Gr/BP –1.06 –0.91 –3.08 –2.80 –2.84 –2.90 –3.02 B4Gr/BP –1.61 –1.04 –3.36 –3.33 –3.38 –3.17 –3.17 -
[1] Chen W D, Liang J, Yang Z H, Li G 2019 Energy Proc. 158 4363
Google Scholar
[2] Tarascon J M, Armand M 2001 Nature 414 359
Google Scholar
[3] Lv C W, Qin M L, He Y P, Wu M Q, Zhu Q S, Wu S Y 2025 Solid State Ionics 423 116820
Google Scholar
[4] Durajski A P, Kasprzak G T 2023 Phys. B 660 414902
Google Scholar
[5] Wang Y Q, Yang Z, Song J Y 2025 Mol. Phys. 24 e2482678
Google Scholar
[6] 刘立林 2022 硕士学位论文 (石家庄: 河北师范大学)
Liu L L 2022 M. S. Thesis (Shijiazhuang: Hebei Normal University
[7] Guo Q, Zeng W, Liu S L, Li Y Q, Xu J Y, Wang J X, Wang Y 2021 Rare Met. 40 290
Google Scholar
[8] 李欣悦, 高国翔, 高强, 刘春生, 叶小娟 2024 73 118201
Google Scholar
Li X Y, Gao G X, Gao Q, Liu C S, Ye X J 2024 Acta Phys. Sin. 73 118201
Google Scholar
[9] Raccichini R, Varzi A, Passerini S, Scrosati B 2015 Nat. Mater. 14 271
Google Scholar
[10] Qiu Z, Cao F, Pan G X, Li C, Chen M H, Zhang Y Q, He X P, Xia Y, Xia X H, Zhang W K 2023 ChemPhysMater 2 267
Google Scholar
[11] Zhang L J, Zhang T H, Wang C, Jin W, Li Y, Wang H, Ding C C, Wang Z Y 2025 Chem. Phys. 594 112664
Google Scholar
[12] Qi J Q, Li Q, Huang M Y, Ni J J, Sui Y W, Meng Q K, Wei F X, Zhu L, Wei W Q 2024 Colloids Surf. A Physicochem. Eng. Asp. 683 132998
Google Scholar
[13] Fan K M, Tang J, Wu S Y, Yang C F, Hao J B 2017 Phys. Chem. Chem. Phys. 19 267
Google Scholar
[14] Cheng J Y, Gao L F, Li T, Mei S, Wang C, Wen B, Huang W C, Li C, Zheng G P, Wang H, Zhang H 2020 Nano-Micro Lett. 12 179
Google Scholar
[15] Sibari A, Marjaoui A, Lakhal, Kerrami Z, Kara A, Benaissa M, Ennaoui A, Hamedoun M, Benyoussef A, Mounkachi O 2018 Sol. Energy Mater. Sol. Cells 180 253
Google Scholar
[16] Kulish V V, Malyi O I, Persson C, Wu P 2015 Phys. Chem. Chem. Phys. 17 13921
Google Scholar
[17] Aierken Y, Cakir D, Sevik C, Peeters F M 2015 Phys. Rev. B 92 081408
Google Scholar
[18] Li Q F, Duan C G, Wan X G, Kuo J L 2015 J. Phys. Chem. C 119 8662
Google Scholar
[19] Liu H W, Zou Y Q, Tao L, Ma Z L, Liu D D, Zhou P, Liu H, Wang S Y 2017 Small 13 1700758
Google Scholar
[20] Kaddar Y, Zhang W, Enriquez H, Dappe Y J, Bendounan A, Dujardin G, Mounkachi O, El Kenz A, Benyoussef A, Kara A, Oughaddou H 2023 Adv. Funct. Mater. 33 2213664
Google Scholar
[21] Li Y, Wu W T, Ma F 2019 J. Mater. Chem. A 7 611
Google Scholar
[22] Mukherjee S, Kaloni T P 2012 J. Nano. Res. 14 1
Google Scholar
[23] Kresse G, Furthmüller J 1996 Phys. Rev. B 54 11169
Google Scholar
[24] Kresse G, Furthmüller J 1996 Comput. Mater. Sci. 6 15
Google Scholar
[25] Perdew J P, Burke K, Ernzerhof M 1996 Phys. Rev. Lett. 77 3865
Google Scholar
[26] Blöchl P E 1994 Phys. Rev. B 50 17953
Google Scholar
[27] Steinmann S N, Corminboeuf C 2010 J. Chem. Theory Comput. 6 1990
Google Scholar
[28] Nosé S 2002 Mol. Phys. 100 191
Google Scholar
[29] Henkelman G, Uberuaga B P, Jónsson H 2000 J. Chem. Phys. 113 9901
Google Scholar
[30] Castro Neto A H, Guinea F, Peres N M R, Novoselov K S, Geim A K 2009 Rev. Mod. Phys. 81 109
Google Scholar
[31] Ghosh B, Nahas S, Bhowmick S, Agarwal A 2015 Phys. Rev. B 91 115433
Google Scholar
[32] Suragtkhuu S, Bat-Erdene M, Bati A S R, Shapter J G, Davaasambuu S, Batmunkh M 2020 J. Mater. Chem. A 8 20446
Google Scholar
[33] Xiao J, Long M Q, Zhang X J, Ouyang J, Xu H, Gao Y L 2015 Sci. Rep. 5 9961
Google Scholar
[34] Bo T, Liu P F, Xu J P, Zhang J R, Chen Y B, Eriksson O, Wang F W, Wang B T 2018 Phys. Chem. Chem. Phys. 20 22168
Google Scholar
[35] Sun Z M, Yuan M W, Yang H, Lin L, Sun G B, Yang X J 2021 Appl. Surf. Sci. 543 148790
Google Scholar
[36] Pozzo M, Alfè D 2008 Phys. Rev. B 77 104103
Google Scholar
[37] Shomali E, Sarsari I A, Tabatabaei F, Mosaferi M, Seriani N 2019 Comput. Mater. Sci. 163 315
Google Scholar
[38] Obaidullah, Habiba U, Piya A A, Daula Shamim S U 2023 AIP Adv. 13 11
Google Scholar
[39] 朱家铎 2025 博士学位论文 (西安: 西安电子科技大学)
Zhu J D 2025 Ph. D. Dissertation (Xi’an: Xidian University
[40] Zhang C M, Jiao Y L, He T W, Ma F X, Kou L Z, Liao T, Bottle S, Du A J 2017 Phys. Chem. Chem. Phys. 19 25886
Google Scholar
[41] Eames C, Islam M S. 2014 J. Am. Chem. Soc. 136 16270
Google Scholar
计量
- 文章访问数: 1269
- PDF下载量: 48
- 被引次数: 0








下载: