-
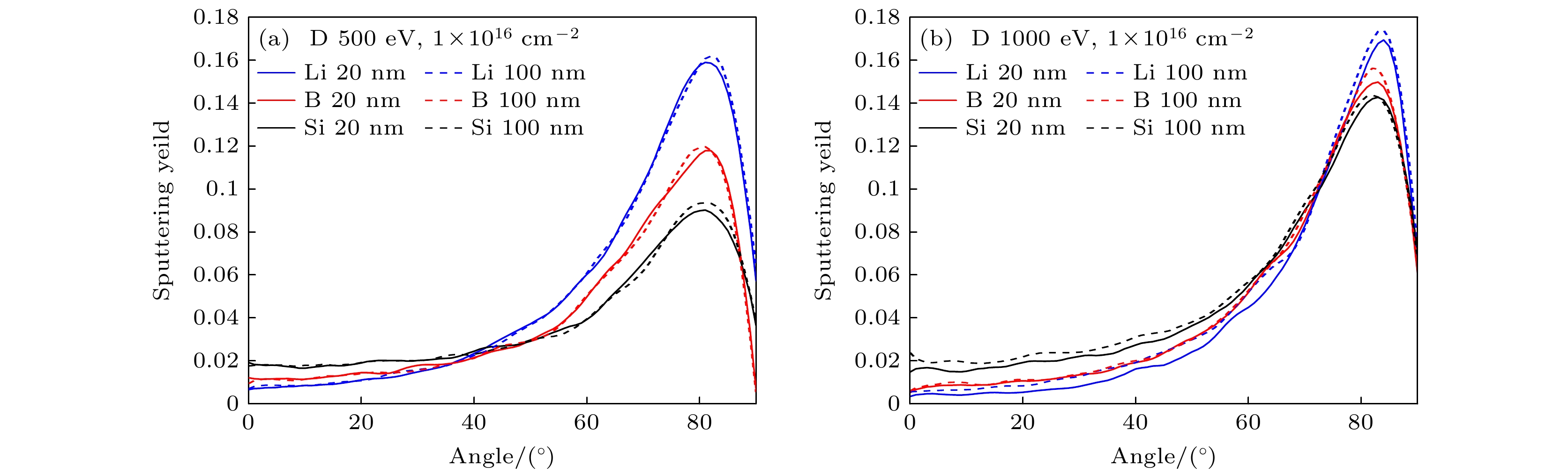
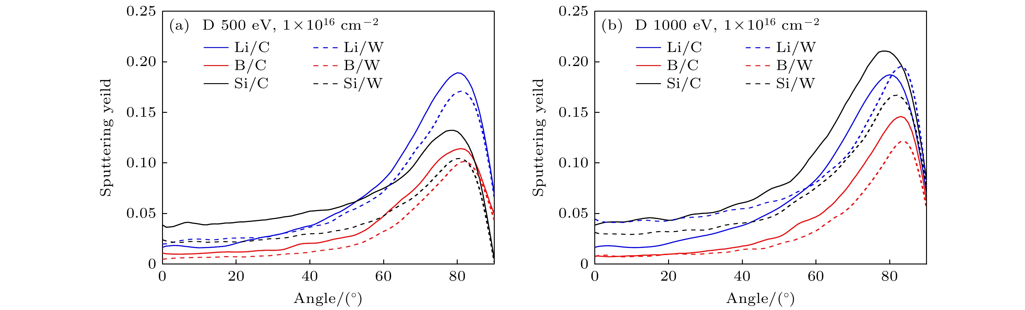
聚变装置表面涂覆壁处理如锂化、硼化、硅化等形成的涂层在高能氘粒子的轰击下会因为物理化学溅射损失, 从而使壁条件变差, 影响等离子体放电性能. 为了评估不同壁涂层的溅射损失行为, 本文采用两体碰撞近似模型, 对以碳、钨为基材的锂、硼和硅涂层材料在氘粒子轰击下的物理溅射行为进行了模拟分析. 结果表明, 因锂具有低的表面结合能而硅具有高的原子序数, 锂和硅分别在一定入射条件下溅射产额最大. 对于双层靶, 钨基涂层的溅射产额在特定能量出现剧增, 主要是由于钨溅射阈值高, 入射粒子在钨界面被大量反射, 并且具有较高的能量. 最后, 由于靶表面成分会随着入射通量增加而变化, 涂层材料的溅射产额也随之变化. 本研究为聚变装置壁处理涂层寿命的评估提供数据支持, 并为壁处理涂层材料设计及处理策略提供了重要的理论参考.Wall conditioning coatings—lithium (Li), boron (B) and silicon (Si)—introduced by lithiumization, boronization, or siliconization, serve as a critical strategy for suppressing fuel recycling and reducing impurity fluxes from the wall of a tokamak. These techniques directly improve plasma initiation, reproducibility, energy confinement, and operational stability in fusion devices. However, these coatings undergo both physical and chemical sputtering by boundary plasma bombardment. This erosion behavior critically determines coating lifetime and, consequently, long-pulse plasma performance. To evaluate the influence of physical sputtering on coating durability and to compare material-specific differences, binary collision approximation (BCA) simulations are conducted to investigate the physical sputtering behaviors of Li, B, and Si coatings. Carbon (C) and tungsten (W) substrates are also modeled to assess interface effects. The results reveal the significant differences in sputtering yields between Li, B, and Si in incident angles and deuterium energies. Owing to its low surface binding energy, lithium exhibits the highest sputtering yield at large angles and low energies, while silicon, with the highest atomic number, presents the highest sputtering yield at small angles and high energies. Sputtering yields of carbon-based and tungsten-based coatings vary with angle and energy, driven by their differences of deuterium backscattering and substrate sputtering at the interface. Notably, for tungsten-based coatings, the sputtering yields increase dramatically at specific energies. This occurs because tungsten’s high surface binding energy causes incident deuterium atoms to reflect off the tungsten interface and then collide with coating elements. Consequently, when the energy transferred to the surface element is higher than its sputtering threshold, the sputtering yield increases. Additionally, increasing incident fluence modifies the target composition, leading to corresponding changes in the sputtering yields of coating materials. In summary, coating materials should be selected according to the expected angle distribution and energy distribution of the incident plasma particles. To suppress the abrupt yield increase observed in tungsten substrates at specific energies, the coatings must be sufficiently thick. These findings provide a theoretical basis for selecting conditioning materials and optimizing wall conditioning strategies in fusion devices.
[1] 朱毓坤 2010 核真空科学技术(北京: 原子能出版社) 第160—177页
Zhu Y K 2010 Vacuum Science and technology in Nuclear Engineering (Beijing: Atomic Energy Press) pp160–177
[2] Pitts R A, Loarte A, Wauters T, Dubrov M, Gribov Y, Köchl F, Pshenov A, Zhang Y, Artola J, Bonnin X, Chen L, Lehnen M, Schmid K, Ding R, Frerichs H, Futtersack R, Gong X, Hagelaar G, Hodille E, Hobirk J, Krat S, Matveev D, Paschalidis K, Qian J, Ratynskaia S, Rizzi T, Rozhansky V, Tamain P, Tolias P, Zhang L, Zhang W 2025 Nucl. Mater. Energy 42 101854
Google Scholar
[3] Winter J 1996 Plasma Phys. Controlled Fusion 38 1503
Google Scholar
[4] Kaita R 2019 Plasma Phys. Controlled Fusion 61 113001
Google Scholar
[5] Skinner C H, Allain J P, Bell M G, Friesen F Q L, Heim B, Jaworski M A, Kugel H, Maingi R, Rais B, Taylor C N 2011 Phys. Scr. T145 014020
Google Scholar
[6] Sun Z, Maingi R, Hu J S, Xu W, Zuo G Z, Yu Y W, Wu C R, Huang M, Meng X C, Zhang L, Wang L, Mao S T, Ding F, Mansfield D K, Canik J, Lunsford R, Bortolon A, Gong X Z 2019 Nucl. Mater. Energy 19 124
Google Scholar
[7] Cheng Y X, Zhang L, Hu A L, Shigeru Morita S, Zhang W M, Zhou C X, Mitnik D, Zhang F L, Ma J Y, Li Z W, Cao Y M, Liu H Q 2024 Nucl. Mater. Energy 41 101744
Google Scholar
[8] Rohde V, Balden M, Krieger K, Neu R, ASDEX Upgrade Team 2025 Nucl. Mater. Energy 43 101923
Google Scholar
[9] Masuzaki S, Shoji M, Nespoli F, Lunsford R, Motojima G, Yajima M, Tokitani M, Oishi T, Kawate T, Goto M 2025 Nucl. Mater. Energy 42 101843
Google Scholar
[10] Samm U, Bogen P, Esser G, Hey J D, Hintz E, Huber A, Könen L, Lie Y T, Mertens P, Philipps V, Pospieszcyk A, Rusbüldt D, Seggern J, Schorn R P, Schweer B, Tokar′ M, Unterberg B, Vietzke E, Wienhold P, Winter J 1995 J. Nucl. Mater. 220-222 25
Google Scholar
[11] Duan X R, Cao Z, Cui C H, Cai X, Sun H H, Ding X T, Pan Y D, Wang M X, Yang Q W, Song X M, HL-2A Team 2007 J. Nucl. Mater. 363–365 1340
Google Scholar
[12] Effenberg F, Abe S, Sinclair G, Abrams T, Bortolon A, Wampler W R, Laggner F M, Rudakov D L, Bykov I, Lasnier C J, Mauzey D, Nagy A, Nazikian R, Scotti F, Wang H Q, Wilcox R S, the DIII-D Team 2023 Nucl. Fusion 63 106004
Google Scholar
[13] Xu W, Hu J, Sun Z, Maingi R, Zhang L, Yu Y W, Li C L, Zuo G Z, Qian Y Z, Huang M, Meng X C, Gao W, Duan Y M, Chen Y J, Wang K, Lin X D, Gao X 2020 Plasma Phys. Controlled Fusion 62 085012
Google Scholar
[14] Sereda S, Brezinsek S, Wang E, Barbui T, Brakel R, Buttenschön B, Goriaev A, Hergenhahn U, Höfel U, Jakubowski M, Knieps A, König R, Krychowiak M, Kwak S, Liang Y, Naujoks D, Pavone A, Rasinski M, Rudischhauser L, Ślęczka M, Svensson J, Viebke H, Wauters T, Wei Y, Winters V, Zhang D, the W7-X team 2020 Nucl. Fusion 60 086007
Google Scholar
[15] Dibon M, Rohde V, Stelzer F, Hegele K, Uhlmann M, ASDEX Upgrade Team 2021 Fusion Eng. Des. 165 112233
Google Scholar
[16] Tramontin L, Antoni V, Bagatin M, Boscarino D, Cattaruzza E, Rigato V, Zandolin S 1999 J. Nucl. Mater. 266-269 709
Google Scholar
[17] Miyagawa Y, Nakadate H, Djurabekova F, Miyagawa S 2002 Surf. Coat. Technol. 158-159 87
Google Scholar
[18] Miyagawa Y, Miyagawa S 1983 J. Appl. Phys. 54 7124.
Google Scholar
[19] Miyagawa Y, Ikeyama M, Saito K, Massouras G, Miyagawa S 1991 J. Appl. Phys. 70 7289
Google Scholar
[20] 邵其鋆, 霍裕昆, 陈建新, 吴士明, 潘正瑛 1991 40 659
Google Scholar
Shao Q Y, Huo Y K, Chen J X, Wu S M, Pan Z Y 1991 Acta Phys. Sin. 40 659
Google Scholar
[21] 陆峰 2022 真空镀膜技术与应用 (北京: 化学工业出版社)第149—153页
Lu F 2022 Technology and Application of Vacuum Coating (Beijing: Chemical Industry Press) pp149–153
[22] 邵其鋆, 潘正瑛 1995 44 479
Google Scholar
Shao Q Y, Pan Z Y 1995 Acta Phys. Sin. 44 479
Google Scholar
-
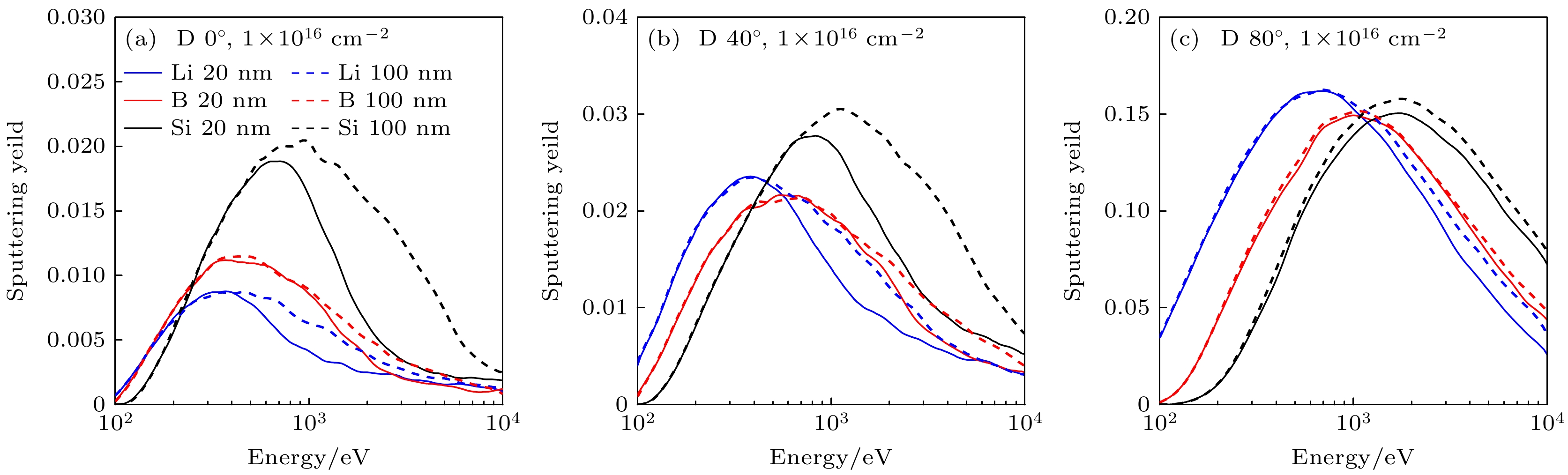
图 5 溅射产额随入射能量的变化曲线 (a)氘粒子入射角度0°, 涂层厚度20 nm; (b)氘粒子入射角度40°, 涂层厚度20 nm; (c)氘粒子入射角度80°, 涂层厚度20 nm; (d)氘粒子入射角度0°, 涂层厚度100 nm; (e)氘粒子入射角度40°, 涂层厚度100 nm; (f)氘粒子入射角度80°, 涂层厚度100 nm
Fig. 5. Dependence of sputtering yield on injection energy: (a) Injection angle 0°, coating thickness 20 nm; (b) injection angle 40°, coating thickness 20 nm; (c) injection angle 80°, coating thickness 100 nm; (d) injection angle 0°, coating thickness 100 nm; (e) injection angle 40°, coating thickness 100 nm; (f) injection angle 80°, coating thickness 100 nm.
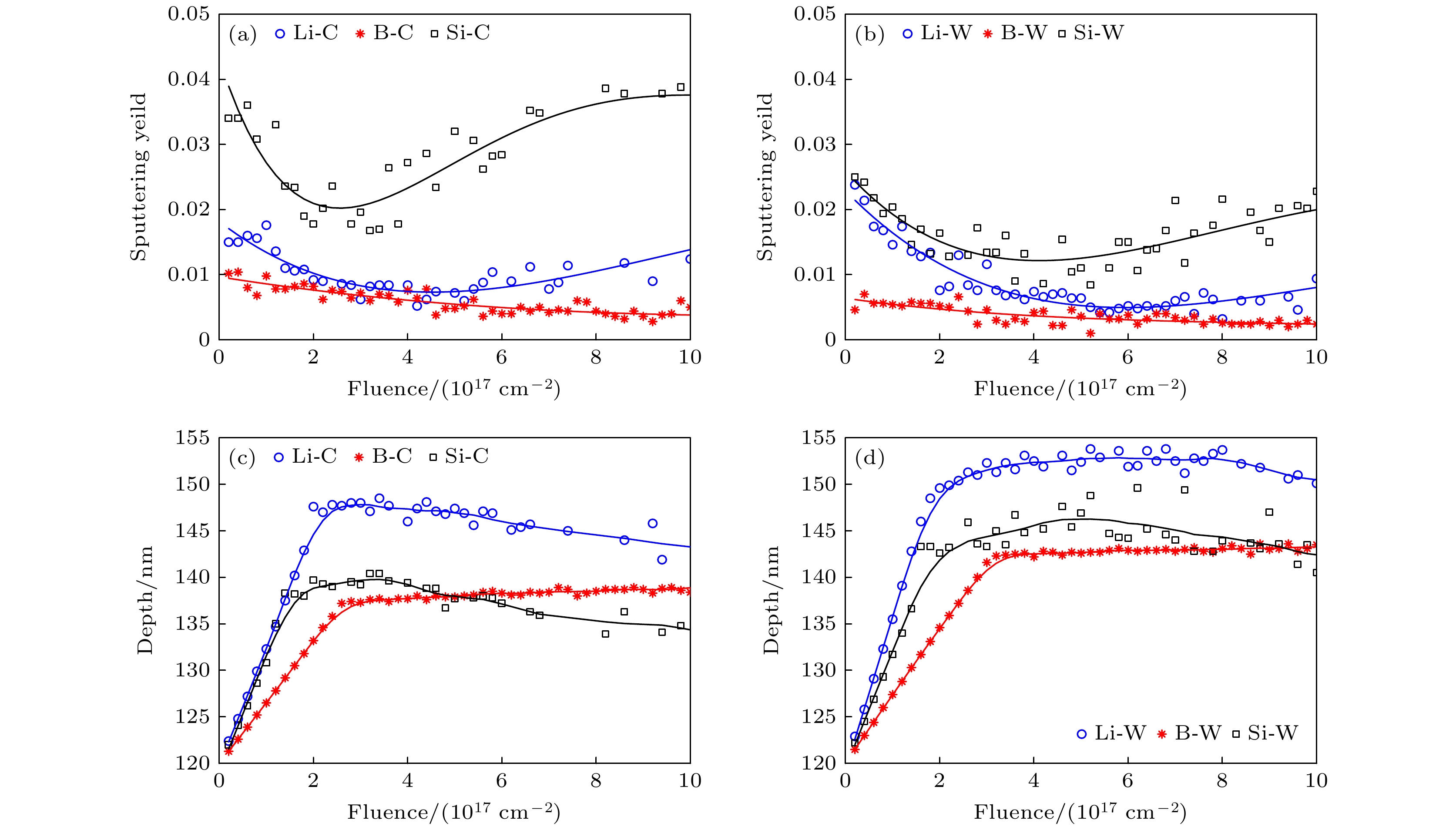
图 6 溅射产额及靶材厚度随入射通量的变化情况 (a)碳基靶溅射产额变化; (b)钨基靶溅射产额变化; (c)碳基靶厚度变化; (d)钨基靶厚度变化
Fig. 6. Dependence of sputtering yield and target thickness on injection fluence: (a) Sputtering yield of carbon substrates; (b) sputtering yield of tungsten substrates; (c) thickness of carbon substrates; (d) thickness of tungsten substrates.
表 1 模拟分析涉及的材料相关参数
Table 1. Related material parameters input for simulation.
材料 原子
序数Z表面结合
能Es/eV移位能
Ed/eV密度/
(kg·m–3)原子数密度
/(atom·cm–3)锂 Li 3 1.67 20 0.534 4.633×1022 硼 B 5 5.73 20 2.350 1.309×1023 石墨C 6 7.41 25 2.253 1.130×1023 硅 Si 14 4.70 13 2.321 4.977×1022 钨 W 74 8.68 38 19.350 6.338×1022 氘D 1 — — — 4.270×1022 -
[1] 朱毓坤 2010 核真空科学技术(北京: 原子能出版社) 第160—177页
Zhu Y K 2010 Vacuum Science and technology in Nuclear Engineering (Beijing: Atomic Energy Press) pp160–177
[2] Pitts R A, Loarte A, Wauters T, Dubrov M, Gribov Y, Köchl F, Pshenov A, Zhang Y, Artola J, Bonnin X, Chen L, Lehnen M, Schmid K, Ding R, Frerichs H, Futtersack R, Gong X, Hagelaar G, Hodille E, Hobirk J, Krat S, Matveev D, Paschalidis K, Qian J, Ratynskaia S, Rizzi T, Rozhansky V, Tamain P, Tolias P, Zhang L, Zhang W 2025 Nucl. Mater. Energy 42 101854
Google Scholar
[3] Winter J 1996 Plasma Phys. Controlled Fusion 38 1503
Google Scholar
[4] Kaita R 2019 Plasma Phys. Controlled Fusion 61 113001
Google Scholar
[5] Skinner C H, Allain J P, Bell M G, Friesen F Q L, Heim B, Jaworski M A, Kugel H, Maingi R, Rais B, Taylor C N 2011 Phys. Scr. T145 014020
Google Scholar
[6] Sun Z, Maingi R, Hu J S, Xu W, Zuo G Z, Yu Y W, Wu C R, Huang M, Meng X C, Zhang L, Wang L, Mao S T, Ding F, Mansfield D K, Canik J, Lunsford R, Bortolon A, Gong X Z 2019 Nucl. Mater. Energy 19 124
Google Scholar
[7] Cheng Y X, Zhang L, Hu A L, Shigeru Morita S, Zhang W M, Zhou C X, Mitnik D, Zhang F L, Ma J Y, Li Z W, Cao Y M, Liu H Q 2024 Nucl. Mater. Energy 41 101744
Google Scholar
[8] Rohde V, Balden M, Krieger K, Neu R, ASDEX Upgrade Team 2025 Nucl. Mater. Energy 43 101923
Google Scholar
[9] Masuzaki S, Shoji M, Nespoli F, Lunsford R, Motojima G, Yajima M, Tokitani M, Oishi T, Kawate T, Goto M 2025 Nucl. Mater. Energy 42 101843
Google Scholar
[10] Samm U, Bogen P, Esser G, Hey J D, Hintz E, Huber A, Könen L, Lie Y T, Mertens P, Philipps V, Pospieszcyk A, Rusbüldt D, Seggern J, Schorn R P, Schweer B, Tokar′ M, Unterberg B, Vietzke E, Wienhold P, Winter J 1995 J. Nucl. Mater. 220-222 25
Google Scholar
[11] Duan X R, Cao Z, Cui C H, Cai X, Sun H H, Ding X T, Pan Y D, Wang M X, Yang Q W, Song X M, HL-2A Team 2007 J. Nucl. Mater. 363–365 1340
Google Scholar
[12] Effenberg F, Abe S, Sinclair G, Abrams T, Bortolon A, Wampler W R, Laggner F M, Rudakov D L, Bykov I, Lasnier C J, Mauzey D, Nagy A, Nazikian R, Scotti F, Wang H Q, Wilcox R S, the DIII-D Team 2023 Nucl. Fusion 63 106004
Google Scholar
[13] Xu W, Hu J, Sun Z, Maingi R, Zhang L, Yu Y W, Li C L, Zuo G Z, Qian Y Z, Huang M, Meng X C, Gao W, Duan Y M, Chen Y J, Wang K, Lin X D, Gao X 2020 Plasma Phys. Controlled Fusion 62 085012
Google Scholar
[14] Sereda S, Brezinsek S, Wang E, Barbui T, Brakel R, Buttenschön B, Goriaev A, Hergenhahn U, Höfel U, Jakubowski M, Knieps A, König R, Krychowiak M, Kwak S, Liang Y, Naujoks D, Pavone A, Rasinski M, Rudischhauser L, Ślęczka M, Svensson J, Viebke H, Wauters T, Wei Y, Winters V, Zhang D, the W7-X team 2020 Nucl. Fusion 60 086007
Google Scholar
[15] Dibon M, Rohde V, Stelzer F, Hegele K, Uhlmann M, ASDEX Upgrade Team 2021 Fusion Eng. Des. 165 112233
Google Scholar
[16] Tramontin L, Antoni V, Bagatin M, Boscarino D, Cattaruzza E, Rigato V, Zandolin S 1999 J. Nucl. Mater. 266-269 709
Google Scholar
[17] Miyagawa Y, Nakadate H, Djurabekova F, Miyagawa S 2002 Surf. Coat. Technol. 158-159 87
Google Scholar
[18] Miyagawa Y, Miyagawa S 1983 J. Appl. Phys. 54 7124.
Google Scholar
[19] Miyagawa Y, Ikeyama M, Saito K, Massouras G, Miyagawa S 1991 J. Appl. Phys. 70 7289
Google Scholar
[20] 邵其鋆, 霍裕昆, 陈建新, 吴士明, 潘正瑛 1991 40 659
Google Scholar
Shao Q Y, Huo Y K, Chen J X, Wu S M, Pan Z Y 1991 Acta Phys. Sin. 40 659
Google Scholar
[21] 陆峰 2022 真空镀膜技术与应用 (北京: 化学工业出版社)第149—153页
Lu F 2022 Technology and Application of Vacuum Coating (Beijing: Chemical Industry Press) pp149–153
[22] 邵其鋆, 潘正瑛 1995 44 479
Google Scholar
Shao Q Y, Pan Z Y 1995 Acta Phys. Sin. 44 479
Google Scholar
计量
- 文章访问数: 1772
- PDF下载量: 33
- 被引次数: 0







下载: