-
约瑟夫森结作为超导电子学中的核心非线性元件, 其电流-相位关系(current-phase relation, CPR)直接决定了器件的动力学行为与应用潜力. 传统约瑟夫森结通常表现出标准正弦型CPR, 而近年来非正弦CPR的新型约瑟夫森结引起广泛关注. 本文基于实验测量的Nb/Al-AlOx/Nb结的电流电压(I-V )特性曲线, 结合阻容并联约瑟夫森结模型, 构建了适用于非正弦CPR的数值计算模型, 系统分析了CPR倾斜对约瑟夫森结动力学特性的影响. 研究表明: 欠阻尼约瑟夫森结的临界电流随CPR倾斜度增加而显著降低, 从而表现出类似直流超导量子干涉器件的临界电流可调的特性; 而在过阻尼结中, CPR倾斜对I-V曲线的影响不明显. 进一步通过计算微波辐照下的I-V特性, 发现非正弦CPR在过阻尼结中易于形成半整数夏皮洛台阶, 验证了CPR倾斜是半整数夏皮洛台阶原因之一. 此外, 借助ADS (advanced design system)建立非线性谐振器与直流超导量子干涉器件电路仿真模型, 深入探讨了非正弦CPR对约瑟夫森电感及磁通调制行为的影响. 研究结果表明, 不同CPR的约瑟夫森结显著扩展了超导量子比特、参量放大器以及无磁非互易器件的设计自由度, 展示了开发新型超导电子器件的广阔前景.
-
关键词:
- 约瑟夫森结 /
- 半整数夏皮洛台阶 /
- 阻容并联约瑟夫森结模型 /
- 直流超导量子干涉器件 /
- 超导电子学
Josephson junction, as the core nonlinear element underpinning superconducting electronics, is characterized by its current-phase relation (CPR), which fundamentally determines the dynamical properties and functional capabilities of superconducting quantum devices. Traditional Josephson junctions typically exhibit a traditional sinusoidal CPR; however, the junctions characterized by non-sinusoidal CPR have recently attracted considerable attention due to their distinctive physical properties and promising quantum device applications. In this work, a numerical model tailored specifically for junctions exhibiting non-sinusoidal CPR is developed by integrating experimentally measured current-voltage (I-V ) characteristics from Nb/Al-AlOx/Nb junctions into a resistively and capacitively shunted junction (RCSJ) framework. By leveraging this refined model, the influence of CPR skewness on Josephson junction dynamics is systematically investigated. Our results indicate that in underdamped junctions, the critical current significantly diminishes with the increase of CPR skewness, a behavior reminiscent of the adjustable critical currents typically observed in DC superconducting quantum interference devices (SQUIDs). Conversely, in overdamped junctions, the influence of CPR skewness on the I-V characteristics is found to be negligible. However, our numerical simulations under microwave irradiation indicate that nonsinusoidal CPRs readily promote the emergence of half-integer Shapiro steps in overdamped junctions, thereby establishing CPR skewness as a plausible microscopic origin for this phenomenon. In addition, the advanced design system (ADS) simulations is employed to model nonlinear resonators and DC SQUID circuits, offering a detailed investigation into how nonsinusoidal CPRs modulate the Josephson inductance and magnetic flux response. Our findings reveal that engineering the CPR of Josephson junctions provides substantial flexibility in the design of superconducting qubits, parametric amplifiers, and non-magnetic nonreciprocal devices. This tunability underscores significant opportunities for developing next-generation superconducting electronic components. The Josephson junctions with engineered CPR offer expanded functionality for superconducting quantum technologies. This study suggests that customized CPR can enhance control over the dynamical behavior of junctions, and promote the optimized designs of superconducting qubits, parametric amplifiers, and nonmagnetic nonreciprocal devices.-
Keywords:
- Josephson junction /
- half-integer Shapiro steps /
- resistively and capacitively shunted Josephson junction /
- direct current superconducting quantum interference device /
- superconducting electronics
[1] Arute F, Arya K, Babbush R, Bacon D, Bardin J C, Barends R, Biswas R, Boixo S, Brandao F G S L, Buell D A, Burkett B, Chen Y, Chen Z, Chiaro B, Collins R, Courtney W, Dunsworth A, Farhi E, Foxen B, Fowler A, Gidney C, Giustina M, Graff R, Guerreiro T, Habegger S, Harrigan M P, Hartmann M J, Ho A, Hoffmann M, Huang T, Humble T S, Isakov S V, Jeffrey E, Jensen K, Jiang Z, Kelly J, Klimov P V, Knysh S, Korotkov A N, Kostritsa F, Landhuis D, Lindmark M, Lucero E, MacKay D, Martin O, McClean J R, McEwen M, Megrant A, Mi X, Morvan A, Neeley M, Neill C, Neven H, Niu M Y, O'Brien T, Ostby E, Petukhov A, Putterman H, Quintana C, Redd C, Rieffel E G, Sank D, Satzinger K J, Smelyanskiy V, Sung K J, Trevithick M D, Vainsencher A, Villalonga B, White T, Yao Z J, Yeh P, Zalcman A, Zhang Y, Zhong Y, Martinis J M 2019 Nature 574 505
Google Scholar
[2] Wu Y, Bao W S, Cao S, Chen F, Chen M C, Chen X, Chung T H, Deng H, Du Y, Fan D, Gong M, Guo C, Guo Q, Han L, Hong L, Huang T, Huo Y H, Li C, Li L, Li N, Li S, Li Y, Liang H, Lin J, Lin Z, Qian H, Rong H, Su H, Sun Y, Wang H, Wang S, Wu D, Xu Y, Yan Z, Yang F, Ye Y, Ying C, Yu J, Zha C, Zhai H, Zhang H, Zhang K, Zhang L, Zhang Y, Zhao P, Zhao Y, Zheng D, Zhou H, Zhu Q, Pan J W 2021 Phys. Rev. Lett. 127 180501
Google Scholar
[3] Renger M, Pogorzalek S, Chen Q, Nojiri Y, Inomata K, Nakamura Y, Partanen M, Marx A, Gross R, Deppe F, Fedorov K G, Wulf M, Goetz J, Wulschner F, Eder P, Fischer M, Haeberlein M, Schneider A, Wegscheider W, Menzel E P, Rotzinger H, Fowler A G, Wilhelm F K, Michler P 2021 npj Quantum Information 7 160
Google Scholar
[4] Yang L, He K, Dai G, Cheng M, Liu J, Chen W 2025 J. Supercond. Nov. Magn. 38 101
Google Scholar
[5] He K, Dai G, Yu Q, He Y, Zhao C, Liu J, Chen W 2023 Supercond. Sci. Technol. 36 045010
Google Scholar
[6] Xue H, Lin Z, Jiang W, Niu Z, Liu K, Peng W, Wang Z 2021 Chin. Phys. B 30 068503
Google Scholar
[7] Choi G, Kim B, Choi J, Park K, Chong Y, Lee Y H 2023 IEEE Trans. Appl. Supercond. 33 1
Google Scholar
[8] Qiu J Y, Grimsmo A, Peng K, Kannan B, Lienhard B, Sung Y, Krantz P, Bolkhovsky V, Calusine G, Kim D, Oliver W D 2023 Nat. Phys. 19 706
Google Scholar
[9] Macklin C, O'Brien K, Hover D, Schwartz M E, Bolkhovsky V, Zhang X, Oliver W D, Siddiqi I 2015 Science 350 307
Google Scholar
[10] Krylov G, Friedman E G 2021 IEEE Trans. Appl. Supercond. 31 1
Google Scholar
[11] Clarke J, Braginski A I 2006 The SQUID Handbook: Applications of SQUIDs and SQUID Systems (Weinheim: Wiley-VCH) pp29–40
[12] Yao Y, Cai R, Yang S H, Xing W, Ma Y, Mori M, Ji Y, Maekawa S, Xie X C, Han W 2021 Phys. Rev. B 104 104414
Google Scholar
[13] Stoutimore M J A, Rossolenko A N, Bolginov V V, Oboznov V A, Rusanov A Y, Baranov D S, Pugach N, Frolov S M, Ryazanov V V, Van Harlingen D J 2018 Phys. Rev. Lett. 121 177702
Google Scholar
[14] Raes B, Tubsrinuan N, Sreedhar R, Guala D S, Panghotra R, Dausy H, de Souza Silva C C, Van de Vondel J 2020 Phys. Rev. B 102 054507
Google Scholar
[15] Basset J, Kuzmanović M, Virtanen P, Heikkilä T T, Estève J, Gabelli J, Strunk C, Aprili M 2019 Phys. Rev. Res. 1 032009
Google Scholar
[16] Kalantre S S, Yu F, Wei M T, Watanabe K, Taniguchi T, Hernandez-Rivera M, Amet F, Williams J R 2020 Phys. Rev. Res. 2 023093
Google Scholar
[17] Ueda K, Matsuo S, Kamata H, Sato Y, Takeshige Y, Li K, Samuelson L, Xu H, Tarucha S 2020 Phys. Rev. Res. 2 033435
Google Scholar
[18] Hart S, Cui Z, Ménard G, Deng M, Antipov A E, Lutchyn R M, Krogstrup P, Marcus C M, Moler K A 2019 Phys. Rev. B 100 064523
Google Scholar
[19] Spanton E M, Deng M, Vaitiekėnas S, Krogstrup P, Nygård J, Marcus C M, Moler K A 2017 Nat. Phys. 13 1177
Google Scholar
[20] Nanda G, Aguilera-Servin J L, Rakyta P, Kormányos A, Kleiner R, Koelle D, Watanabe K, Taniguchi T, Vandersypen L M K, Goswami S 2017 Nano Lett. 17 3396
Google Scholar
[21] English C D, Hamilton D R, Chialvo C, Moraru I C, Mason N, Van Harlingen D J 2016 Phys. Rev. B 94 115435
Google Scholar
[22] Borzenets I V, Amet F, Ke C T, Draelos A W, Wei M T, Seredinski A, Watanabe K, Taniguchi T, Bomze Y, Yamamoto M, Finkelstein G 2016 Phys. Rev. Lett. 117 237002
Google Scholar
[23] Lee G H, Kim S, Jhi S H, Lee H J 2015 Nat. Commun. 6 6181
Google Scholar
[24] Yu W, Pan W, Medlin D L, Rodriguez M A, Lee S R, Bao Z Q, Zhang F 2018 Phys. Rev. Lett. 120 177704
Google Scholar
[25] Snyder R A, Trimble C J, Rong C C, Folkes P A, Taylor P J, Williams J R 2018 Phys. Rev. Lett. 121 097701
Google Scholar
[26] Li C, de Boer J C, de Ronde B, Ramankutty S V, van Heumen E, Huang Y, de Visser A, Golubov A A, Golden M S, Brinkman A 2018 Nat. Mater. 17 875
Google Scholar
[27] Wiedenmann J, Bocquillon E, Deacon R S, Hartinger S, Herrmann O, Klapwijk T M, Maier L, Ames C, Brüne C, Gould C, Molenkamp L W 2016 Nat. Commun. 7 10303
Google Scholar
[28] 侯延亮, 王翔, 孙晓培, 吕力 2023 72 037401
Google Scholar
Hou Y L, Wang X, Sun X P, Lü L 2023 Acta Phys. Sin. 72 037401
Google Scholar
[29] Wiedenmann J 2018 Ph. D. Dissertation (Würzburg: Julius-Maximilians-Universität Würzburg
[30] Bordin A, Liu C X, Dvir T, et al. 2025 Nat. Nanotechnol. 20 726
Google Scholar
[31] Tanaka Y, Tamura S, Cayao J 2024 Prog. Theor. Exp. Phys. 2024 08C105
Google Scholar
[32] Zhu P, Feng S, Wang K, Xiang T, Trivedi N 2025 Nat. Commun. 16 2420
Google Scholar
[33] Yang L, He K, Dai G, Cheng M, Geng X, Jiang L, Chang J, Liu J, Chen W 2025 Phys. Lett. A 540 130401
Google Scholar
[34] Kamal A, Clarke J, Devoret M H 2011 Nat. Phys. 7 311
Google Scholar
[35] Kumar N P, Le D T, Pakkiam P, Stace T M, Fedorov A 2025 Phys. Rev. Res. 7 013075
Google Scholar
[36] Khaira N K 2022 Ph. D. Dissertation (Waterloo: University of Waterloo
[37] Ingla-Aynés J, Hou Y, Wang S, et al. 2025 Nat. Electron. 8 411
Google Scholar
[38] Nadeem M, Fuhrer M S, Wang X 2023 Nat. Rev. Phys. 5 558
Google Scholar
[39] Hou Y, Nichele F, Chi H, Lodesani A, Wu Y, Ritter M F, Haxell D Z, Davydova M, Ilić S, Glezakou-Elbert O 2023 Phys. Rev. Lett. 131 027001
Google Scholar
[40] Castellani M, Medeiros O, Buzzi A, Foster R A, Colangelo M, Berggren K K 2024 Nat. Electron. 8 417
Google Scholar
[41] Kayyalha M, Kazakov A, Miotkowski I, Khlebnikov S, Rokhinson L P, Chen Y P 2020 npj Quantum Mater. 5 7
Google Scholar
[42] Huang Z, Elfeky B H, Taniguchi T, Watanabe K, Shabani J, Shahrjerdi D 2023 Appl. Phys. Lett. 122 262601
Google Scholar
[43] Panghotra R, Raes B, de Souza Silva C C, Cools I, Van de Vondel J 2020 Commun. Phys. 3 169
Google Scholar
[44] Frattini N E, Vool U, Shankar S, Narla A, Sliwa K M, Devoret M H 2017 Appl. Phys. Lett. 110 222603
Google Scholar
[45] Ranadive A, Esposito M, Planat L, Bonet E, Naud C, Buisson O, Guichard W, Roch N 2022 Nat. Commun. 13 1737
Google Scholar
[46] Bergeal N, Schackert F, Metcalfe M, Vijay R, Manucharyan V E, Frunzio L, Prober D E, Schoelkopf R J, Girvin S M, Devoret M H 2010 Nature 465 64
Google Scholar
[47] Bergeal N, Vijay R, Manucharyan V E, Siddiqi I, Schoelkopf R J, Girvin S M, Devoret M H 2010 Nat. Phys. 6 296
Google Scholar
[48] Josephson B D 1962 Phys. Lett. 1 251
Google Scholar
[49] Prance J R, Thompson M D 2023 Appl. Phys. Lett. 122 222602
Google Scholar
-
图 2 欠阻尼结和过阻尼结约瑟夫森相位随时间的变化 (a)正弦型CPR约瑟夫森结相位随时间的变化; (b)正弦型CPR约瑟夫森结相位导数随时间的变化; (c)非正弦型CPR约瑟夫森结相位随时间的变化($ T_{n} $ = 0.999); (d)非正弦型CPR约瑟夫森结相位导数随时间的变化($ T_{n} $ = 0.999)
Fig. 2. Time evolution of the Josephson phase for underdamped and overdamped junctions: (a) Time evolution of the phase for a sinusoidal CPR Josephson junction; (b) time evolution of the phase derivative for a sinusoidal CPR Josephson junction; (c) time evolution of the phase for a non-sinusoidal CPR Josephson junction ($ T_{n} $ = 0.999); (d) time evolution of the phase derivative for a non-sinusoidal CPR Josephson junction ($ T_{n} $ = 0.999).
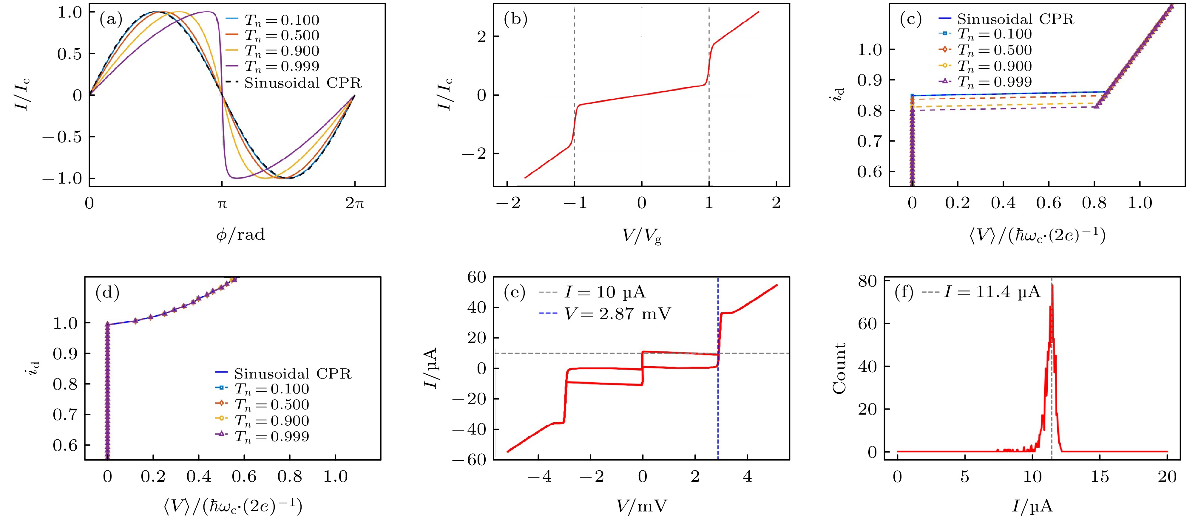
图 3 约瑟夫森结I-V曲线 (a)约瑟夫森结电流-相位关系曲线; (b)欠阻尼约瑟夫森结迟滞I-V曲线的数值模拟; (c)基于RCSJ模型数值计算欠阻尼结在不同CPR时的I-V曲线; (d)基于RCSJ模型数值计算过阻尼结在不同CPR时的I-V曲线; (e)实验测量的Nb/Al-AlOx/Nb约瑟夫森结的I-V曲线; (f) Nb/Al-AlOx/Nb约瑟夫森结的临界电流多次扫描结果
Fig. 3. Josephson-junction I-V curves: (a) Josephson junction current-phase relation curves; (b) numerical simulation of the hysteretic I-V characteristics of an underdamped Josephson junction; (c) I-V characteristics for various CPRs, numerically computed using the RCSJ model in the underdamped regime; (d) I-V characteristics for different CPRs, numerically computed in the overdamped regime using the RCSJ model; (e) experimentally measured I-V characteristics of a Nb/Al-AlOx/Nb Josephson junction; (f) repeated $ I_{\mathrm{c}} $ sweeps demonstrating consistent, time-stable critical current
图 4 约瑟夫森结夏皮洛台阶数值计算结果 (a)正弦CPR过阻尼结的夏皮洛台阶; (b)正弦CPR欠阻尼结的夏皮洛台阶; (c) 非正弦CPR过阻尼结的夏皮洛台阶; (d)非正弦CPR欠阻尼结的夏皮洛台阶
Fig. 4. Numerically calculated Shapiro-step responses of Josephson junctions: (a) Overdamped junction with sinusoidal CPR; (b) underdamped junction with sinusoidal CPR; (c) overdamped junction with non-sinusoidal CPR; (d) underdamped junction with non-sinusoidal CPR
图 5 正弦CPR约瑟夫森结微分电阻数值计算结果 (a)过阻尼结微分电阻和相应夏皮洛台阶; (b)欠阻尼结微分电阻和相应的夏皮洛台阶; (c)过阻尼结微分电阻和偏置电路以及微波幅值的伪彩色三维图; (d)欠阻尼结微分电阻和偏置电路以及微波幅值的伪彩色三维图
Fig. 5. Numerically calculated differential resistance of Josephson junctions with sinusoidal CPR: (a) Overdamped junction—differential resistance and corresponding Shapiro steps; (b) underdamped junction—differential resistance and corresponding Shapiro steps; (c) pseudocolor three dimensional (3D) map of differential resistance versus bias current and microwave amplitude for the overdamped junction; (d) same 3D map for the underdamped junction
图 6 非正弦CPR约瑟夫森结微分电阻和偏置电流以及微波幅值的伪彩三维图 (a) $ T_{n} $ = 0.01; (b) $ T_{n} $ = 0.5; (c) $ T_{n} $ = 0.9; (d) $ T_{n} $ = 0.999
Fig. 6. Pseudocolor three-dimensional maps of differential resistance versus bias current and microwave amplitude for Josephson junctions with non-sinusoidal CPR: (a) $T_n = 0.01$; (b) $T_n = 0.5$; (c) $T_n = 0.9$; (d) $T_n = 0.999$
图 7 ADS中构建的基于约瑟夫森结的非线性谐振器S11参数随频率和结临界电流变化的伪彩色三维图 (a)正弦型CPR约瑟夫森结; (b) $T_n = 0.01$; (c) $T_n = 0.9$; (d) $T_n = 0.999$
Fig. 7. Pseudocolor three-dimensional maps of the $S_{11}$ parameter versus frequency and junction critical current for ADS-simulated Josephson-junction nonlinear resonators: (a) Sinusoidal CPR; (b) $T_{n} = 0.01$; (c) $T_{n} = 0.9$; (d) $T_{n} = 0.999$
图 8 ADS中构建的DC-SQUID电压和偏置磁通以及DC-SQUID电流关系的伪彩色三维图 (a)基于正弦CPR约瑟夫森结的DC-SQUID; (b) $T_n = 0.01$; (c) $T_n = 0.9$; (d) $T_n = 0.999$
Fig. 8. Pseudocolor three-dimensional maps of DC-SQUID voltage versus bias flux and SQUID current from ADS simulations: (a) DC-SQUID with sinusoidal-CPR Josephson junctions; (b) $T_{n} = 0.01$; (c) $T_{n} = 0.9$; (d) $T_{n} = 0.999$
-
[1] Arute F, Arya K, Babbush R, Bacon D, Bardin J C, Barends R, Biswas R, Boixo S, Brandao F G S L, Buell D A, Burkett B, Chen Y, Chen Z, Chiaro B, Collins R, Courtney W, Dunsworth A, Farhi E, Foxen B, Fowler A, Gidney C, Giustina M, Graff R, Guerreiro T, Habegger S, Harrigan M P, Hartmann M J, Ho A, Hoffmann M, Huang T, Humble T S, Isakov S V, Jeffrey E, Jensen K, Jiang Z, Kelly J, Klimov P V, Knysh S, Korotkov A N, Kostritsa F, Landhuis D, Lindmark M, Lucero E, MacKay D, Martin O, McClean J R, McEwen M, Megrant A, Mi X, Morvan A, Neeley M, Neill C, Neven H, Niu M Y, O'Brien T, Ostby E, Petukhov A, Putterman H, Quintana C, Redd C, Rieffel E G, Sank D, Satzinger K J, Smelyanskiy V, Sung K J, Trevithick M D, Vainsencher A, Villalonga B, White T, Yao Z J, Yeh P, Zalcman A, Zhang Y, Zhong Y, Martinis J M 2019 Nature 574 505
Google Scholar
[2] Wu Y, Bao W S, Cao S, Chen F, Chen M C, Chen X, Chung T H, Deng H, Du Y, Fan D, Gong M, Guo C, Guo Q, Han L, Hong L, Huang T, Huo Y H, Li C, Li L, Li N, Li S, Li Y, Liang H, Lin J, Lin Z, Qian H, Rong H, Su H, Sun Y, Wang H, Wang S, Wu D, Xu Y, Yan Z, Yang F, Ye Y, Ying C, Yu J, Zha C, Zhai H, Zhang H, Zhang K, Zhang L, Zhang Y, Zhao P, Zhao Y, Zheng D, Zhou H, Zhu Q, Pan J W 2021 Phys. Rev. Lett. 127 180501
Google Scholar
[3] Renger M, Pogorzalek S, Chen Q, Nojiri Y, Inomata K, Nakamura Y, Partanen M, Marx A, Gross R, Deppe F, Fedorov K G, Wulf M, Goetz J, Wulschner F, Eder P, Fischer M, Haeberlein M, Schneider A, Wegscheider W, Menzel E P, Rotzinger H, Fowler A G, Wilhelm F K, Michler P 2021 npj Quantum Information 7 160
Google Scholar
[4] Yang L, He K, Dai G, Cheng M, Liu J, Chen W 2025 J. Supercond. Nov. Magn. 38 101
Google Scholar
[5] He K, Dai G, Yu Q, He Y, Zhao C, Liu J, Chen W 2023 Supercond. Sci. Technol. 36 045010
Google Scholar
[6] Xue H, Lin Z, Jiang W, Niu Z, Liu K, Peng W, Wang Z 2021 Chin. Phys. B 30 068503
Google Scholar
[7] Choi G, Kim B, Choi J, Park K, Chong Y, Lee Y H 2023 IEEE Trans. Appl. Supercond. 33 1
Google Scholar
[8] Qiu J Y, Grimsmo A, Peng K, Kannan B, Lienhard B, Sung Y, Krantz P, Bolkhovsky V, Calusine G, Kim D, Oliver W D 2023 Nat. Phys. 19 706
Google Scholar
[9] Macklin C, O'Brien K, Hover D, Schwartz M E, Bolkhovsky V, Zhang X, Oliver W D, Siddiqi I 2015 Science 350 307
Google Scholar
[10] Krylov G, Friedman E G 2021 IEEE Trans. Appl. Supercond. 31 1
Google Scholar
[11] Clarke J, Braginski A I 2006 The SQUID Handbook: Applications of SQUIDs and SQUID Systems (Weinheim: Wiley-VCH) pp29–40
[12] Yao Y, Cai R, Yang S H, Xing W, Ma Y, Mori M, Ji Y, Maekawa S, Xie X C, Han W 2021 Phys. Rev. B 104 104414
Google Scholar
[13] Stoutimore M J A, Rossolenko A N, Bolginov V V, Oboznov V A, Rusanov A Y, Baranov D S, Pugach N, Frolov S M, Ryazanov V V, Van Harlingen D J 2018 Phys. Rev. Lett. 121 177702
Google Scholar
[14] Raes B, Tubsrinuan N, Sreedhar R, Guala D S, Panghotra R, Dausy H, de Souza Silva C C, Van de Vondel J 2020 Phys. Rev. B 102 054507
Google Scholar
[15] Basset J, Kuzmanović M, Virtanen P, Heikkilä T T, Estève J, Gabelli J, Strunk C, Aprili M 2019 Phys. Rev. Res. 1 032009
Google Scholar
[16] Kalantre S S, Yu F, Wei M T, Watanabe K, Taniguchi T, Hernandez-Rivera M, Amet F, Williams J R 2020 Phys. Rev. Res. 2 023093
Google Scholar
[17] Ueda K, Matsuo S, Kamata H, Sato Y, Takeshige Y, Li K, Samuelson L, Xu H, Tarucha S 2020 Phys. Rev. Res. 2 033435
Google Scholar
[18] Hart S, Cui Z, Ménard G, Deng M, Antipov A E, Lutchyn R M, Krogstrup P, Marcus C M, Moler K A 2019 Phys. Rev. B 100 064523
Google Scholar
[19] Spanton E M, Deng M, Vaitiekėnas S, Krogstrup P, Nygård J, Marcus C M, Moler K A 2017 Nat. Phys. 13 1177
Google Scholar
[20] Nanda G, Aguilera-Servin J L, Rakyta P, Kormányos A, Kleiner R, Koelle D, Watanabe K, Taniguchi T, Vandersypen L M K, Goswami S 2017 Nano Lett. 17 3396
Google Scholar
[21] English C D, Hamilton D R, Chialvo C, Moraru I C, Mason N, Van Harlingen D J 2016 Phys. Rev. B 94 115435
Google Scholar
[22] Borzenets I V, Amet F, Ke C T, Draelos A W, Wei M T, Seredinski A, Watanabe K, Taniguchi T, Bomze Y, Yamamoto M, Finkelstein G 2016 Phys. Rev. Lett. 117 237002
Google Scholar
[23] Lee G H, Kim S, Jhi S H, Lee H J 2015 Nat. Commun. 6 6181
Google Scholar
[24] Yu W, Pan W, Medlin D L, Rodriguez M A, Lee S R, Bao Z Q, Zhang F 2018 Phys. Rev. Lett. 120 177704
Google Scholar
[25] Snyder R A, Trimble C J, Rong C C, Folkes P A, Taylor P J, Williams J R 2018 Phys. Rev. Lett. 121 097701
Google Scholar
[26] Li C, de Boer J C, de Ronde B, Ramankutty S V, van Heumen E, Huang Y, de Visser A, Golubov A A, Golden M S, Brinkman A 2018 Nat. Mater. 17 875
Google Scholar
[27] Wiedenmann J, Bocquillon E, Deacon R S, Hartinger S, Herrmann O, Klapwijk T M, Maier L, Ames C, Brüne C, Gould C, Molenkamp L W 2016 Nat. Commun. 7 10303
Google Scholar
[28] 侯延亮, 王翔, 孙晓培, 吕力 2023 72 037401
Google Scholar
Hou Y L, Wang X, Sun X P, Lü L 2023 Acta Phys. Sin. 72 037401
Google Scholar
[29] Wiedenmann J 2018 Ph. D. Dissertation (Würzburg: Julius-Maximilians-Universität Würzburg
[30] Bordin A, Liu C X, Dvir T, et al. 2025 Nat. Nanotechnol. 20 726
Google Scholar
[31] Tanaka Y, Tamura S, Cayao J 2024 Prog. Theor. Exp. Phys. 2024 08C105
Google Scholar
[32] Zhu P, Feng S, Wang K, Xiang T, Trivedi N 2025 Nat. Commun. 16 2420
Google Scholar
[33] Yang L, He K, Dai G, Cheng M, Geng X, Jiang L, Chang J, Liu J, Chen W 2025 Phys. Lett. A 540 130401
Google Scholar
[34] Kamal A, Clarke J, Devoret M H 2011 Nat. Phys. 7 311
Google Scholar
[35] Kumar N P, Le D T, Pakkiam P, Stace T M, Fedorov A 2025 Phys. Rev. Res. 7 013075
Google Scholar
[36] Khaira N K 2022 Ph. D. Dissertation (Waterloo: University of Waterloo
[37] Ingla-Aynés J, Hou Y, Wang S, et al. 2025 Nat. Electron. 8 411
Google Scholar
[38] Nadeem M, Fuhrer M S, Wang X 2023 Nat. Rev. Phys. 5 558
Google Scholar
[39] Hou Y, Nichele F, Chi H, Lodesani A, Wu Y, Ritter M F, Haxell D Z, Davydova M, Ilić S, Glezakou-Elbert O 2023 Phys. Rev. Lett. 131 027001
Google Scholar
[40] Castellani M, Medeiros O, Buzzi A, Foster R A, Colangelo M, Berggren K K 2024 Nat. Electron. 8 417
Google Scholar
[41] Kayyalha M, Kazakov A, Miotkowski I, Khlebnikov S, Rokhinson L P, Chen Y P 2020 npj Quantum Mater. 5 7
Google Scholar
[42] Huang Z, Elfeky B H, Taniguchi T, Watanabe K, Shabani J, Shahrjerdi D 2023 Appl. Phys. Lett. 122 262601
Google Scholar
[43] Panghotra R, Raes B, de Souza Silva C C, Cools I, Van de Vondel J 2020 Commun. Phys. 3 169
Google Scholar
[44] Frattini N E, Vool U, Shankar S, Narla A, Sliwa K M, Devoret M H 2017 Appl. Phys. Lett. 110 222603
Google Scholar
[45] Ranadive A, Esposito M, Planat L, Bonet E, Naud C, Buisson O, Guichard W, Roch N 2022 Nat. Commun. 13 1737
Google Scholar
[46] Bergeal N, Schackert F, Metcalfe M, Vijay R, Manucharyan V E, Frunzio L, Prober D E, Schoelkopf R J, Girvin S M, Devoret M H 2010 Nature 465 64
Google Scholar
[47] Bergeal N, Vijay R, Manucharyan V E, Siddiqi I, Schoelkopf R J, Girvin S M, Devoret M H 2010 Nat. Phys. 6 296
Google Scholar
[48] Josephson B D 1962 Phys. Lett. 1 251
Google Scholar
[49] Prance J R, Thompson M D 2023 Appl. Phys. Lett. 122 222602
Google Scholar
计量
- 文章访问数: 2192
- PDF下载量: 73
- 被引次数: 0








下载: