-
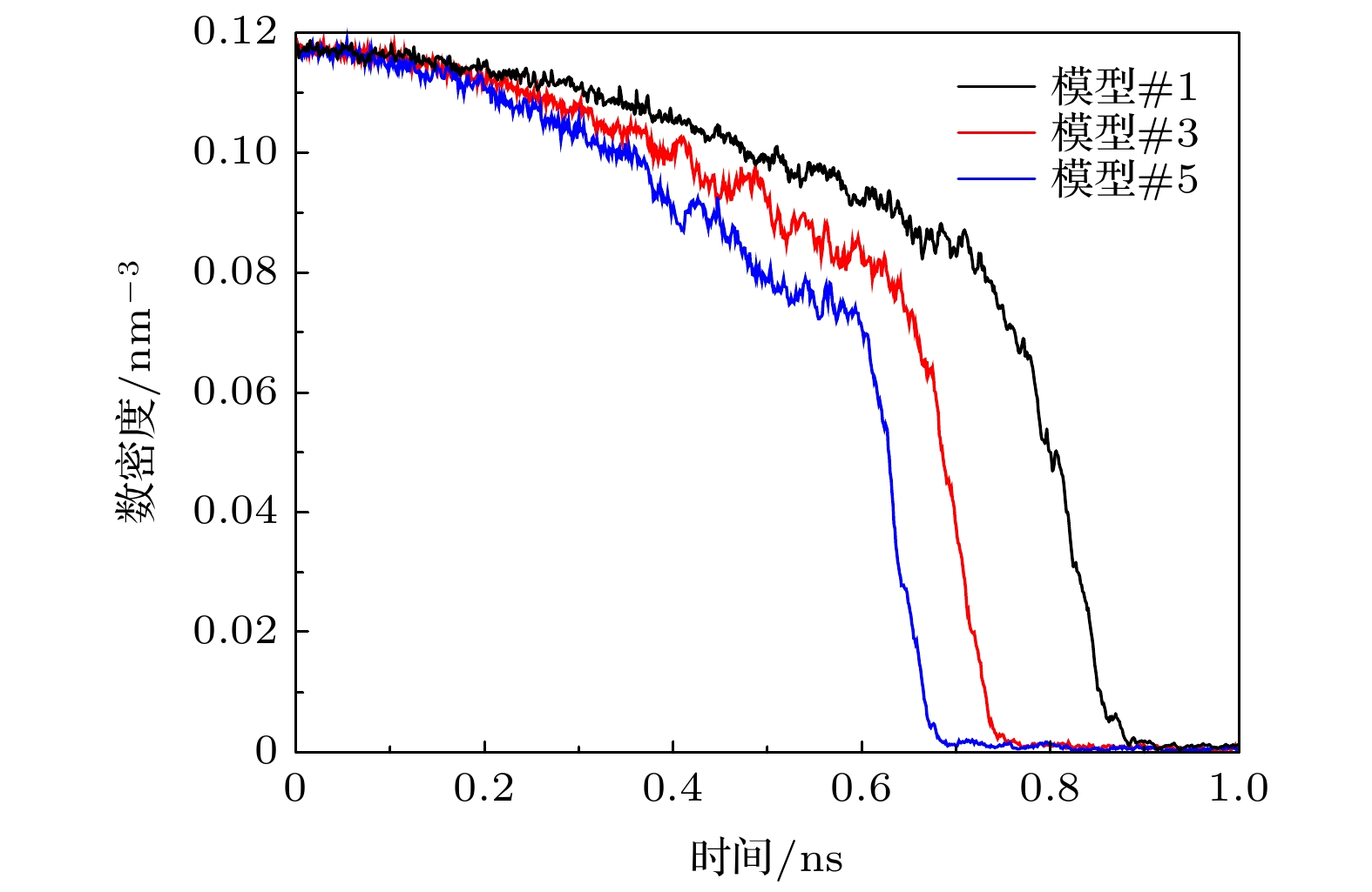
气泡成核在沸腾换热、微流控制设备中的气液分离以及生物医学中的气体传输等相变和流动过程中扮演关键角色, 易受表面润湿性能和粗糙结构的影响. 鉴于实验研究的局限, 本文采用分子动力学方法系统研究了具有不同润湿性能和不同数量纳米凸起的恒热流过热表面对水中气泡成核的影响规律和微观机制. 结果表明, 在相同表面润湿性能下, 随纳米凸起数量增加, 表面粗糙度增加, 气泡成核时间点提前; 对具有相同粗糙度的表面, 随表面亲水性增强, 气泡成核时间点提前; 在本文研究范围内, 具有最大粗糙度的亲水表面上水的气泡成核最早. 近壁面处水的密度和温度随时间的变化以及密度和温度的空间分布的分析表明: 由于热量积聚, 纳米凸起与底部平面连接拐角处最易成为气化核心. Kapitza热阻的计算结果表明: 亲水性越强的表面具有越低的固-液界面热阻, 越有利于气泡成核. 本文为理解气泡成核的微观机制及优化传热、传质和流体控制系统的设计提供了理论依据.Bubble nucleation plays a pivotal role in microscale heat conduction, boiling heat transfer, and liquid-vapor phase change processes, because it not only governs heat transfer efficiency but also strongly regulates bubble dynamics. The nucleation processes are highly sensitive to the surface morphology and wettability of solid substrates. However, due to the inherent limitations of traditional experiments in terms of spatial resolution and observation times, revealing the microscopic mechanisms of bubble nucleation on a nanoscale remains a significant challenge—particularly under conditions involving complex surface structures and different wettability states. In this study, molecular dynamics simulations are employed to systematically investigate the mechanisms by which surface roughness and wettability influence bubble nucleation behavior on nanostructured surfaces on an atomic scale. Five copper substrates featuring sinusoidal protrusions are designed to represent different degrees of surface roughness. The sinusoidal profile, characterized by mathematical continuity and smoothness, not only facilitates the observation of bubble coalescence and contact angle evolution but also ensures comparability among models by maintaining identical protrusion height and overall width, thereby keeping the protrusion volume constant. This design allows for direct comparison of bubble growth rates and other physical quantities between different models. In addition, three different wettability conditions, namely hydrophobic, neutral, and hydrophilic, are achieved by modifying the interaction potential between oxygen and copper atoms. During the simulations, a constant heat flux is applied to the bottom copper substrate to trigger off spontaneous bubble nucleation, and local low-density regions are identified using density distribution analysis to track bubble nucleation sites; a piston-like pressure control mechanism is introduced through the top copper plate, and the displacement of this plate with time is used to quantify bubble growth rates under varying roughness and wettability. Additionally, the Kapitza resistance between solid and liquid phases is calculated to evaluate interfacial heat transfer efficiency. The results demonstrate that increasing surface roughness significantly promotes the formation of local low-density cavities, thereby accelerating the bubble nucleation and subsequent growth. As the surface wettability transitions from hydrophobic to hydrophilic, the solid–liquid interfacial thermal resistance decreases, leading to earlier bubble nucleation. Moreover, under hydrophilic conditions, the contact angle of the bubbles increases significantly, indicating enhanced detachment and growth behavior. Overall, the findings of this work advance the fundamental understanding of the microscopic mechanisms of bubble nucleation and provide theoretical guidance and technical references for designing high-efficiency heat transfer structures and tunable fluid–solid interfaces on a nanoscale.
-
Keywords:
- molecular dynamics /
- bubble /
- roughness /
- wetting condition
[1] Shahmardi A, Tammisolae O, Chinappi M, Brandt L 2021 Int. J. Therm. Sci. 167 106980
Google Scholar
[2] Yuan H S, Tan S C, Du W A, Ding S H, Guo C 2018 Int. J. Heat Mass Transfer 122 1198
Google Scholar
[3] Hu Y, Gao H T, Yan Y Y 2025 J. Ind. Eng. Chem. 143 123
Google Scholar
[4] Moiz M, Vadlamudi S R G, Srivastava A 2024 Int. J. Heat Mass Transfer 233 126006
Google Scholar
[5] Arunkumar H S, Hitesh N M, Madhwesh N, Hegde A K, Karanth K V 2023 Sol. Energy 266 112161
Google Scholar
[6] Zhang Y L, Lu S L, Li D L, Duan H Y, Duan C W, Zhang J H, Liu S T 2023 Chin. J. Chem. Eng. 62 168
Google Scholar
[7] Zhang Y L, Duan H Y, Chen E J, Li M, Liu S T 2023 Langmuir 39 1629
[8] Javier R R, Sevilla A, Carlos M B, Gordillo J M 2015 Annu. Rev. Fluid Mech. 47 405
Google Scholar
[9] Hsiao C T, Choi J K, Singh S, Chahine G L, Hay T A, Ilinskii Y A, Zabolotskaya E A, Hamilton M F, Sankin G, Yuan F, Zhong P 2013 J. Fluid Mech 716 137
Google Scholar
[10] Yuan H B, Wang Q, Yin X S, Li D, Yue X, Yang B 2021 J. Nanosci. Nanotechnol. 21 1315
[11] Alder J B, Wainwright E T 1959 J. Chem. Phys. 31 459
Google Scholar
[12] Frenkel D, Smit B, Ratner M A 1997 Phys. Today 50 66
[13] Wen R F, Li Q, Wang W, Latour B, Calvin H. L, Li C, Lee Y C, Yang R G 2017 Nano Energy 38 59
Google Scholar
[14] Miao S S, Xia G D 2024 J. Mol. Liq. 400 124457
Google Scholar
[15] Liu H Q, Qin X Y, Ahmad S, Tong Q, Zhao J Y 2019 Int. J. Heat Mass Transfer 145 118799
Google Scholar
[16] Zhang S W, Hao F, Chen H M, Yuan W, Tang Y, Chen X 2017 Appl. Therm. Eng. 113 208
Google Scholar
[17] Wang W R, Huang S H, Luo X S 2016 Int. J. Heat Mass Transfer 100 276
Google Scholar
[18] Zhang L Y, Xu J L, Liu G L, Lei J P 2020 Int. J. Therm. Sci. 152 106325
Google Scholar
[19] 杨海昌, 徐梦迪, 邢耀文, 桂夏辉, 曹亦俊 2025 74 024702
Google Scholar
Yang H C, Xu M D, Xing Y W, Gui X H, Cao Y J 2025 Acta Phys. Sin 74 024702
Google Scholar
[20] 白璞 2022 博士学位论文(北京: 华北电力大学)
Bai P 2022 Ph. D. Dissertation (Beijing: North China Electric Power University
[21] Yang H C, Jiang H Y, Cheng Y L, Xing Y W, Cao Y J, Gui X H 2024 J. Mol. Liq. 411 125758
Google Scholar
[22] Shahid M, Ho-Young H 2023 J. Korean Phys. Soc. 82 375
[23] Zhou W J, Zhang Y H, Wei J J 2022 Langmuir 38 1223
Google Scholar
[24] Liu H Q, Deng W, Ding P, Zhao J Y 2021 Nucl. Eng. Des. 382 111400
Google Scholar
[25] 张雪松, 范振忠, 仝其雷, 付沅峰 2024 73 204701
Google Scholar
Zhang X S, Fan Z Z, Tong Q L, Fu Y F 2024 Acta Phys. Sin. 73 204701
Google Scholar
[26] Vladislav A Y, Guillaume A, Molinari J F 2014 Tribol. Lett. 56 171
Google Scholar
[27] Deng W, Ma S H, Li W M, Liu H Q, Zhao J Y 2022 Int. J. Heat Mass Transfer 191 122856
Google Scholar
[28] Berendsen H J C, Grigera J R, Straatsma T P 1987 J. Phys. Chem. 91 6269
Google Scholar
[29] Peter G K, Igor M S 1994 Science 265 1219
Google Scholar
[30] Ryckaert J P, Ciccotti G, Berendsen H J C 1977 J. Comput. Phys. 23 327
Google Scholar
[31] Hockney R W, Eastwood J W 1988 Computer Simulation Using Particles (1st Ed.) (Boca Raton: CRC Press) pp267–269
[32] Guo C, Ji C, Kong Y L, Liu Z G, Guo L, Yang Y Y 2023 Materials 16 1984
Google Scholar
[33] Schneider T, Stoll E 1978 Phys. Rev. B 17 1302
[34] Steve P 1995 J. Comput. Phys. 117 1
Google Scholar
[35] Stukowski A 2010 Modell. Simul. Mater. Sci. Eng. 18 015012
Google Scholar
[36] Humphrey W, Dalke A, Schulten K 1996 J. Mol. Graphics 14 33
Google Scholar
[37] Tang Y Z, Wu L F, Ma L X, Feng S Y, He Y 2022 Int. J. Therm. Sci. 171 107212
Google Scholar
[38] Chen Y J, Yu B, Zou Y, Chen B N, Tao W Q 2020 Int. J. Heat Mass Transfer 158 119850
Google Scholar
[39] Chen Y L, Guo L, Sun W C, Cai N N, Yan Y Y 2023 Int. J. Multiphase Flow 169 104613
Google Scholar
[40] 张龙艳, 徐进良, 雷俊鹏 2018 67 234702
Google Scholar
Zhang L Y, Xu J L, Lei J P 2018 Acta Phys. Sin. 67 234702
Google Scholar
[41] Cao Q, Li Z R, Cui Z 2023 Langmuir 39 12754
Google Scholar
[42] 樊翔宇, 张周卫, 汪雅红, 刘要森 2022 化工机械 49 920
Google Scholar
Fan X Y, Zhang Z W, Wang Y H, Liu Y S 2022 Chem. Eng. Mach. 49 920
Google Scholar
[43] 葛宋, 陈民 2013 62 110204
Google Scholar
Ge S, Chen M 2013 Acta Phys. Sin. 62 110204
Google Scholar
[44] Liu Z Y, Liu Z Y, Liu R K 2023 Int. J. Therm. Sci. 192 108424
Google Scholar
-
图 9 模型#1和#5在不同润湿条件下的气泡成核快照模型#1: (a) 疏水条件; (b) 中性条件; (c) 亲水条件 模型#5: (d) 疏水条件; (e) 中性条件; (f) 亲水条件
Fig. 9. Snapshots of bubble nucleation in Models #1 and #5 under different wettability conditions. Model #1: (a) Hydrophobic condition; (b) neutral condition; (c) hydrophilic condition. Model #5: (d) Hydrophobic condition; (e) neutral condition; (f) hydrophilic condition.
图 11 模型#1在不同润湿条件下气泡成核时刻的密度分布图 (a) 疏水条件, 1.12 ns; (b) 中性条件, 0.77 ns; (c) 亲水条件, 0.67 ns
Fig. 11. Density distribution diagram at the moment of bubble nucleation in Model #1 under different wettability conditions: (a) Hydrophobic condition, 1.12 ns; (b) neutral condition, 0.77 ns; (c) hydrophilic condition, 0.67 ns.
表 1 L-J势函数参数
Table 1. L-J potential parameters.
Atom pairs σ/nm ε/meV Cu—Cu 0.2377 409.300 O—O 0.3166 6.739 O—Cu (疏水) 0.3380 3.685 O—Cu (中性) 0.3190 7.370 O—Cu (亲水) 0.3011 14.740 表 2 各模型的表面粗糙度
Table 2. The surface roughness of each model.
模型 #1 #2 #3 #4 #5 粗糙度 1.04 1.16 1.32 1.49 1.67 -
[1] Shahmardi A, Tammisolae O, Chinappi M, Brandt L 2021 Int. J. Therm. Sci. 167 106980
Google Scholar
[2] Yuan H S, Tan S C, Du W A, Ding S H, Guo C 2018 Int. J. Heat Mass Transfer 122 1198
Google Scholar
[3] Hu Y, Gao H T, Yan Y Y 2025 J. Ind. Eng. Chem. 143 123
Google Scholar
[4] Moiz M, Vadlamudi S R G, Srivastava A 2024 Int. J. Heat Mass Transfer 233 126006
Google Scholar
[5] Arunkumar H S, Hitesh N M, Madhwesh N, Hegde A K, Karanth K V 2023 Sol. Energy 266 112161
Google Scholar
[6] Zhang Y L, Lu S L, Li D L, Duan H Y, Duan C W, Zhang J H, Liu S T 2023 Chin. J. Chem. Eng. 62 168
Google Scholar
[7] Zhang Y L, Duan H Y, Chen E J, Li M, Liu S T 2023 Langmuir 39 1629
[8] Javier R R, Sevilla A, Carlos M B, Gordillo J M 2015 Annu. Rev. Fluid Mech. 47 405
Google Scholar
[9] Hsiao C T, Choi J K, Singh S, Chahine G L, Hay T A, Ilinskii Y A, Zabolotskaya E A, Hamilton M F, Sankin G, Yuan F, Zhong P 2013 J. Fluid Mech 716 137
Google Scholar
[10] Yuan H B, Wang Q, Yin X S, Li D, Yue X, Yang B 2021 J. Nanosci. Nanotechnol. 21 1315
[11] Alder J B, Wainwright E T 1959 J. Chem. Phys. 31 459
Google Scholar
[12] Frenkel D, Smit B, Ratner M A 1997 Phys. Today 50 66
[13] Wen R F, Li Q, Wang W, Latour B, Calvin H. L, Li C, Lee Y C, Yang R G 2017 Nano Energy 38 59
Google Scholar
[14] Miao S S, Xia G D 2024 J. Mol. Liq. 400 124457
Google Scholar
[15] Liu H Q, Qin X Y, Ahmad S, Tong Q, Zhao J Y 2019 Int. J. Heat Mass Transfer 145 118799
Google Scholar
[16] Zhang S W, Hao F, Chen H M, Yuan W, Tang Y, Chen X 2017 Appl. Therm. Eng. 113 208
Google Scholar
[17] Wang W R, Huang S H, Luo X S 2016 Int. J. Heat Mass Transfer 100 276
Google Scholar
[18] Zhang L Y, Xu J L, Liu G L, Lei J P 2020 Int. J. Therm. Sci. 152 106325
Google Scholar
[19] 杨海昌, 徐梦迪, 邢耀文, 桂夏辉, 曹亦俊 2025 74 024702
Google Scholar
Yang H C, Xu M D, Xing Y W, Gui X H, Cao Y J 2025 Acta Phys. Sin 74 024702
Google Scholar
[20] 白璞 2022 博士学位论文(北京: 华北电力大学)
Bai P 2022 Ph. D. Dissertation (Beijing: North China Electric Power University
[21] Yang H C, Jiang H Y, Cheng Y L, Xing Y W, Cao Y J, Gui X H 2024 J. Mol. Liq. 411 125758
Google Scholar
[22] Shahid M, Ho-Young H 2023 J. Korean Phys. Soc. 82 375
[23] Zhou W J, Zhang Y H, Wei J J 2022 Langmuir 38 1223
Google Scholar
[24] Liu H Q, Deng W, Ding P, Zhao J Y 2021 Nucl. Eng. Des. 382 111400
Google Scholar
[25] 张雪松, 范振忠, 仝其雷, 付沅峰 2024 73 204701
Google Scholar
Zhang X S, Fan Z Z, Tong Q L, Fu Y F 2024 Acta Phys. Sin. 73 204701
Google Scholar
[26] Vladislav A Y, Guillaume A, Molinari J F 2014 Tribol. Lett. 56 171
Google Scholar
[27] Deng W, Ma S H, Li W M, Liu H Q, Zhao J Y 2022 Int. J. Heat Mass Transfer 191 122856
Google Scholar
[28] Berendsen H J C, Grigera J R, Straatsma T P 1987 J. Phys. Chem. 91 6269
Google Scholar
[29] Peter G K, Igor M S 1994 Science 265 1219
Google Scholar
[30] Ryckaert J P, Ciccotti G, Berendsen H J C 1977 J. Comput. Phys. 23 327
Google Scholar
[31] Hockney R W, Eastwood J W 1988 Computer Simulation Using Particles (1st Ed.) (Boca Raton: CRC Press) pp267–269
[32] Guo C, Ji C, Kong Y L, Liu Z G, Guo L, Yang Y Y 2023 Materials 16 1984
Google Scholar
[33] Schneider T, Stoll E 1978 Phys. Rev. B 17 1302
[34] Steve P 1995 J. Comput. Phys. 117 1
Google Scholar
[35] Stukowski A 2010 Modell. Simul. Mater. Sci. Eng. 18 015012
Google Scholar
[36] Humphrey W, Dalke A, Schulten K 1996 J. Mol. Graphics 14 33
Google Scholar
[37] Tang Y Z, Wu L F, Ma L X, Feng S Y, He Y 2022 Int. J. Therm. Sci. 171 107212
Google Scholar
[38] Chen Y J, Yu B, Zou Y, Chen B N, Tao W Q 2020 Int. J. Heat Mass Transfer 158 119850
Google Scholar
[39] Chen Y L, Guo L, Sun W C, Cai N N, Yan Y Y 2023 Int. J. Multiphase Flow 169 104613
Google Scholar
[40] 张龙艳, 徐进良, 雷俊鹏 2018 67 234702
Google Scholar
Zhang L Y, Xu J L, Lei J P 2018 Acta Phys. Sin. 67 234702
Google Scholar
[41] Cao Q, Li Z R, Cui Z 2023 Langmuir 39 12754
Google Scholar
[42] 樊翔宇, 张周卫, 汪雅红, 刘要森 2022 化工机械 49 920
Google Scholar
Fan X Y, Zhang Z W, Wang Y H, Liu Y S 2022 Chem. Eng. Mach. 49 920
Google Scholar
[43] 葛宋, 陈民 2013 62 110204
Google Scholar
Ge S, Chen M 2013 Acta Phys. Sin. 62 110204
Google Scholar
[44] Liu Z Y, Liu Z Y, Liu R K 2023 Int. J. Therm. Sci. 192 108424
Google Scholar
计量
- 文章访问数: 1411
- PDF下载量: 28
- 被引次数: 0








下载: