-
设计整形脉冲场调控分子取向在立体化学反应、强场电离及量子信息处理等领域具有重要的应用价值. 然而, 传统量子最优控制算法通常在无穷维转动空间中优化分子取向度, 且未充分考虑实验设计中脉冲所需满足的约束条件. 针对这一问题, 本文提出一种多目标多约束量子最优控制算法, 用于设计满足脉冲面积和能量约束的脉冲场, 以优化超冷分子有限个低位转动态的布居和相位分布, 从而得到最大分子取向. 研究结果表明, 通过调控约束条件, 可有效抑制非目标态空间转动态的影响, 在目标态空间内获得转动态布居和相位优化的相干叠加态, 形成期望的最大分子取向. 优化脉冲的时频谱分析结合含时取向度傅里叶变换谱计算表明, 获得的最大分子取向主要通过多色脉冲场的爬梯激发实现, 且高激发态相干对最大取向度的贡献较小. 本文为利用多约束优化算法设计实验可行性脉冲场, 通过精准调控有限个转动态产生最大分子取向提供了一种可参考的方法.The design of shaping pulse fields for controlling molecular orientation is of great importance in fields of stereochemical reactions, strong-field ionization, and quantum information processing. Traditional quantum optimal control algorithms typically solve the problem of molecular orientation in an infinite-dimensional rotational space, but they often overlook the constraints imposed by experimental limitations. In this work, a multi-objective and multi-constraint quantum optimal control algorithm is proposed to design a pulse field that conforms to the constraints of pulse area and energy. Specifically, the algorithm enforces a zero pulse area condition to eliminate the static field components and maintains constant pulse energy, ensuring compatibility with realistic experimental setups. Under these constraints, the algorithm optimizes the population and phase distribution of a selected number of low-lying rotational states in ultracold molecules to achieve maximum molecular orientation. The effectiveness of the proposed algorithm is demonstrated through numerical studies involving two- and three-state target subspaces, where the creation of a coherent superposition state with optimized population and phase distribution leads to the desired molecular orientation. Furthermore, its scalability is validated by applying it to a more complex 17-state subspace, where a maximum orientation value of 0.99055 is obtained, approaching the global optimal value of 1. Our findings demonstrate that by effectively managing these constraints, the influence of rotational states in the non-target state subspace can be substantially suppressed. The time-frequency analysis of the optimized pulses, combined with the Fourier transform spectrum of the time-dependent degree of orientation, indicates that the maximum molecular orientation is mainly achieved through ladder-climbing excitation of multi-color pulse fields, with the contributions from highly excited states being minimal. This work provides a valuable reference for designing experimentally feasible pulse fields using multi-constraint optimization algorithms, which helps to precisely control a limited number of rotational states to achieve maximum molecular orientation.
-
Keywords:
- quantum optimal control /
- molecular orientation /
- multiple constraints /
- multiple objectives
[1] Leroux I D, Schleier-Smith M H, Vuletić V 2010 Phys. Rev. Lett. 104 250801
Google Scholar
[2] 罗嗣佐, 陈洲, 李孝开, 胡湛, 丁大军 2019 光学学报 39 0126007
Google Scholar
Luo S Z, Chen Z, Li X K, Hu Z, Ding D J 2019 Acta Opt. Sin. 39 0126007
Google Scholar
[3] Lian Z, Luo S, Qi H, Chen Z, Shu C C, Hu Z 2023 Opt. Lett. 48 411
Google Scholar
[4] Guo Y, Yang C, Xie X, Li Y, Houk K N, Guo X 2025 Sci. Adv. 11 eads0503
Google Scholar
[5] Dong B, Pei Y, Mansour N, Lu X, Yang K, Huang W, Fang N 2019 Nat. Commun. 10 4815
Google Scholar
[6] Cai M R, Ye C, Dong H, Li Y 2022 Phys. Rev. Lett. 129 103201
Google Scholar
[7] Guo Y, Gong X, Ma S, Shu C C 2022 Phys. Rev. A 105 013102
Google Scholar
[8] Liu Y, Meng J Q, Sun Z, Shu C C 2024 J. Phys. Chem. Lett. 15 8393
Google Scholar
[9] Ploenes L, Straňák P, Mishra A, Liu X, Pérez-Ríos J, Willitsch S 2024 Nat. Chem. 16 1876
Google Scholar
[10] Sawant R, Blackmore J A, Gregory P D, Mur-Petit J, Jaksch D, Aldegunde J, Hutson J M, Tarbutt M R, Cornish S L 2020 New J. Phys. 22 013027
Google Scholar
[11] Ye J, Zoller P 2024 Phys. Rev. Lett. 132 190001
Google Scholar
[12] Cornish S L, Tarbutt M R, Hazzard K R 2024 Nat. Phys. 20 730
Google Scholar
[13] Ding M, Li J S, Deng J, Lee M C, Jolly J, Shahine B, Pawlicki T, Ma C M 2012 J. Chem. Phys. 137 265
Google Scholar
[14] Tutunnikov I, Gershnabel E, Gold S, Averbukh I S 2018 J. Phys. Chem. Lett. 9 1105
Google Scholar
[15] Milner A A, Fordyce J A, MacPhail-Bartley I, Wasserman W, Milner V, Tutunnikov I, Averbukh I S 2019 Phys. Rev. Lett. 122 223201
Google Scholar
[16] DeMille D 2002 Phys. Rev. Lett. 88 067901
Google Scholar
[17] Albert V V, Covey J P, Preskill J 2020 Phys. Rev. X 10 031050
Google Scholar
[18] Nalewajski R F 2014 J. Math. Chem. 52 1292
Google Scholar
[19] Pickering J D, Shepperson B, Hübschmann B A, Thorning F, Stapelfeldt H 2018 Phys. Rev. Lett. 120 113202
Google Scholar
[20] Qi D, Cao F, Xu S, et al. 2021 Phys. Rev. Appl. 15 024051
Google Scholar
[21] Loesch H, Remscheid A 1990 J. Chem. Phys. 93 4779
Google Scholar
[22] Friedrich B, Herschbach D 1991 Z. Phys. D 18 153
Google Scholar
[23] Lemeshko M, Krems R V, Doyle J M, Kais S 2013 Mol. Phys. 111 1648
Google Scholar
[24] Koch C P, Lemeshko M, Sugny D 2019 Rev. Mod. Phys. 91 035005
Google Scholar
[25] Nautiyal V V, Devi S, Tyagi A, Vidhani B, Maan A, Prasad V 2021 Spectrochim. Acta, Part A: Mol. Biomol. Spectrosc. 256 119663
Google Scholar
[26] Hong Q Q, Lian Z Z, Shu C C, Henriksen N E 2023 Phys. Chem. Chem. Phys. 25 32763
Google Scholar
[27] Dion C, Keller A, Atabek O 2001 Eur. Phys. J. D 14 249
Google Scholar
[28] Machholm M, Henriksen N E 2001 Phys. Rev. Lett. 87 193001
Google Scholar
[29] Babilotte P, Hamraoui K, Billard F, Hertz E, Lavorel B, Faucher O, Sugny D 2016 Phys. Rev. A 94 043403
Google Scholar
[30] Shu C C, Yuan K J, Hu W H, Cong S L 2010 J. Chem. Phys. 132 244311
Google Scholar
[31] Fleischer S, Zhou Y, Field R W, Nelson K A 2011 Phys. Rev. Lett. 107 163603
Google Scholar
[32] Shu C C, Hong Q Q, Guo Y, Henriksen N E 2020 Phys. Rev. A 102 063124
Google Scholar
[33] Tutunnikov I, Xu L, Field R W, Nelson K A, Prior Y, Averbukh I S 2021 Phys. Rev. Res. 3 013249
Google Scholar
[34] De S, Znakovskaya I, Ray D, Anis F, Johnson N G, Bocharova I A, Magrakvelidze M, Esry B D, Cocke C L, Litvinyuk I V, Kling M F 2009 Phys. Rev. Lett. 103 153002
Google Scholar
[35] Oda K, Hita M, Minemoto S, Sakai H 2010 Phys. Rev. Lett. 104 213901
Google Scholar
[36] Znakovskaya I, Spanner M, De S, Li H, Ray D, Corkum P, Litvinyuk I V, Cocke C L, Kling M F 2014 Phys. Rev. Lett. 112 113005
Google Scholar
[37] Ren X, Makhija V, Li H, Kling M F, Kumarappan V 2014 Phys. Rev. A 90 013419
Google Scholar
[38] Lin K, Tutunnikov I, Qiang J, et al 2018 Nat. Commun. 9 5134
Google Scholar
[39] Xu S, Lian Z, Hong Q Q, Wang L, Chen H, Huang Y, Shu C C 2024 Phys. Rev. A 110 023116
Google Scholar
[40] Kitano K, Ishii N, Itatani J 2011 Phys. Rev. A 84 053408
Google Scholar
[41] Shu C C, Henriksen N E 2013 Phys. Rev. A 87 013408
Google Scholar
[42] Egodapitiya K N, Li S, Jones R R 2014 Phys. Rev. Lett. 112 103002
Google Scholar
[43] Damari R, Kallush S, Fleischer S 2016 Phys. Rev. Lett. 117 103001
Google Scholar
[44] Zhang S, Lu C, Jia T, Wang Z, Sun Z 2011 Phys. Rev. A 83 043410
Google Scholar
[45] Yun H, Kim H T, Kim C M, Nam C H, Lee J 2011 Phys. Rev. A 84 065401
Google Scholar
[46] Spanner M, Patchkovskii S, Frumker E, Corkum P 2012 Phys. Rev. Lett. 109 113001
Google Scholar
[47] Qin C C, Jia G R, Zhang X Z, Liu Y F, Long J Y, Zhang B 2013 Chin. Phys. B 23 013302
Google Scholar
[48] Huang Z Y, Wang D, Lang Z, Li W K, Zhao R R, Leng Y X 2017 Chin. Phys. B 26 054209
Google Scholar
[49] Mun J H, Sakai H 2018 Phys. Rev. A 98 013404
Google Scholar
[50] Li H, Li W, Feng Y, Pan H, Zeng H 2013 Phys. Rev. A 88 013424
Google Scholar
[51] Cheng Q Y, Song Y Z, Meng Q T 2019 Chin. Phys. B 28 113301
Google Scholar
[52] Damari R, Beer A, Flaxer E, Fleischer S 2023 J. Chem. Phys. 158 014201
Google Scholar
[53] Kitano K, Ishii N, Kanda N, Matsumoto Y, Kanai T, Kuwata-Gonokami M, Itatani J 2013 Phys. Rev. A 88 061405
Google Scholar
[54] Kitano K, Ishii N, Kanai T, Itatani J 2014 Phys. Rev. A 90 041402
Google Scholar
[55] Zhang Y D, Wang S, Zhan W S, Yang J, Jing D 2017 Laser Phys. 27 056001
Google Scholar
[56] Xu L, Tutunnikov I, Gershnabel E, Prior Y, Averbukh I S 2020 Phys. Rev. Lett. 125 013201
Google Scholar
[57] Dion C M, Keller A, Atabek O 2005 Phys. Rev. A 72 023402
Google Scholar
[58] Salomon J, Dion C M, Turinici G 2005 J. Chem. Phys. 123 144310
Google Scholar
[59] Nakajima K, Abe H, Ohtsuki Y 2012 J. Phys. Chem. A 116 11219
Google Scholar
[60] Liao S L, Ho T S, Rabitz H, Chu S I 2013 Phys. Rev. A 87 013429
Google Scholar
[61] Coudert L H 2017 J. Chem. Phys. 146 024303
Google Scholar
[62] Coudert L 2018 J. Chem. Phys. 148 094306
Google Scholar
[63] Trippel S, Mullins T, Müller N L M, Kienitz J S, González-Férez R, Küpper J 2015 Phys. Rev. Lett. 114 103003
Google Scholar
[64] Wang S, Henriksen N E 2020 Phys. Rev. A 102 063120
Google Scholar
[65] Hong Q Q, Fan L B, Shu C C, Henriksen N E 2021 Phys. Rev. A 104 013108
Google Scholar
[66] Fan L B, Shu C C, Dong D, He J, Henriksen N E, Nori F 2023 Phys. Rev. Lett. 130 043604
Google Scholar
[67] Fan L B, Shu C C 2023 J. Phys. A-Math. Theor. 56 365302
Google Scholar
[68] Zhang J P, Wang S, Henriksen N E 2023 Phys. Rev. A 107 033118
Google Scholar
[69] Fan L B, Li H J, Chen Q, Zhou H, Liu H, Shu C C 2025 Phys. Rev. A 111 033119
Google Scholar
[70] Hong Q Q, Dong D, Henriksen N E, Nori F, He J, Shu C C 2025 Phys. Rev. Res. 7 L012049
Google Scholar
[71] Werschnik J, Gross E 2007 J. Phys. B: At. Mol. Opt. Phys. 40 R175
Google Scholar
[72] Yoshida M, Ohtsuki Y 2014 Phys. Rev. A 90 013415
Google Scholar
[73] Shu C C, Ho T S, Rabitz H 2016 Phys. Rev. A 93 053418
Google Scholar
[74] Shu C C, Dong D, Petersen I R, Henriksen N E 2017 Phys. Rev. A 95 033809
Google Scholar
[75] Guo Y, Dong D, Shu C C 2018 Phys. Chem. Chem. Phys. 20 9498
Google Scholar
[76] Yu H, Ho T S, Rabitz H 2018 Phys. Chem. Chem. Phys. 20 13008
Google Scholar
[77] Ansel Q, Dionis E, Arrouas F, Peaudecerf B, Guérin S, Guéry-Odelin D, Sugny D 2024 J. Phys. B: At. Mol. Opt. Phys. 57 133001
Google Scholar
[78] Shtoff A, Rérat M, Gusarov S 2001 Eur. Phys. J. D 15 199
Google Scholar
-
图 1 脉冲场激发分子转动态调控分子取向模型示意图. 下面的蓝色能级表示目标态空间含有M个最低转动态; 灰色能级表示非目标态空间包含N个转动态. 本文通过使用多目标多约束量子最优控制理论算法寻找优化脉冲场调控目标空间转动态分布, 从而获得最优分子取向
Fig. 1. Schematic diagram of the molecular rotation states excited by the pulse field. The blue lines indicate that the target subspace consists of the lowest M rotational states, while the gray lines denote that the non-target subspace contains N rotational states above the target.
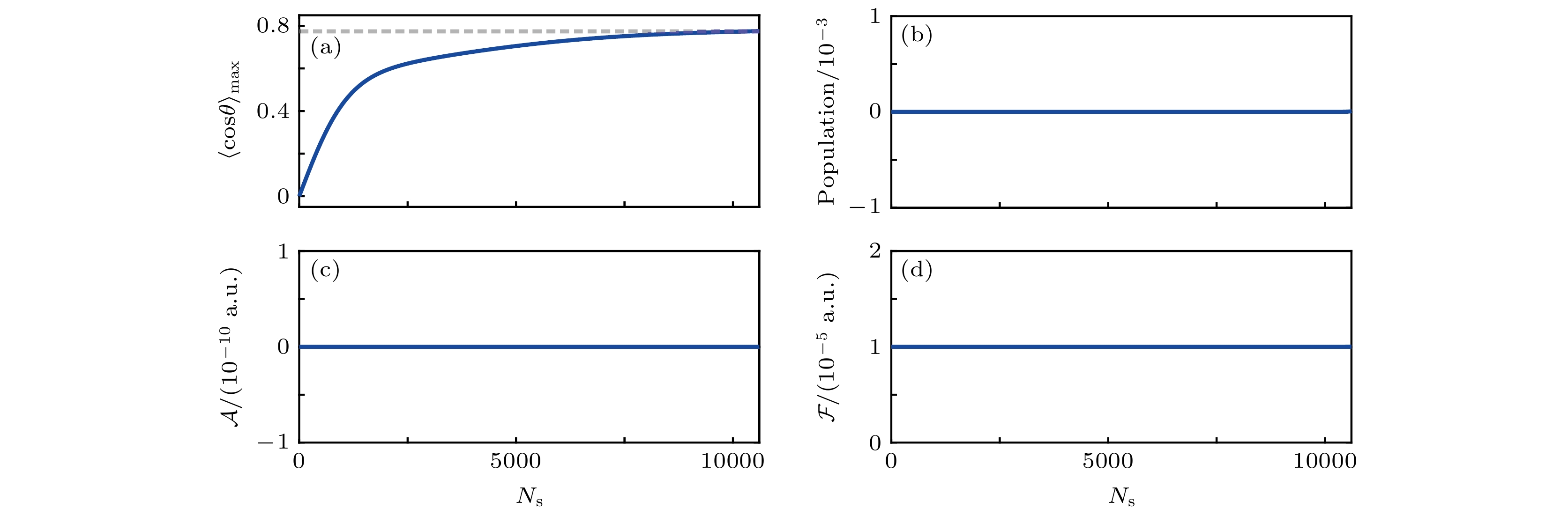
图 2 无非目标态空间无约束少目标态模型优化结果: 上排表示仅两态模型($ M = 2 $, $ N = 0 $)最大取向度 (a)、脉冲面积 (b)和脉冲能量 (c)随迭代次数变化曲线; 下排表示将优化获得脉冲 (d)用于四态模型($ M = 2 $, $ N = 2 $)所得的含时取向度 (e)及对应的转动态布居演化(f)曲线
Fig. 2. Non-constrained optimization results for the model comprising two rotational states within the target subspace. The upper panels depict the maximum degree of orientation (a), pulse area (b), and pulse energy (c) as a function of interactions by excluding the non-target subspace. The lower panels illustrate the optimized time-dependent control fields (d) for the four-state model ($ M = 2 $, $ N = 2 $), alongside the corresponding orientation (e) and the population evolution (f) of the rotational states.
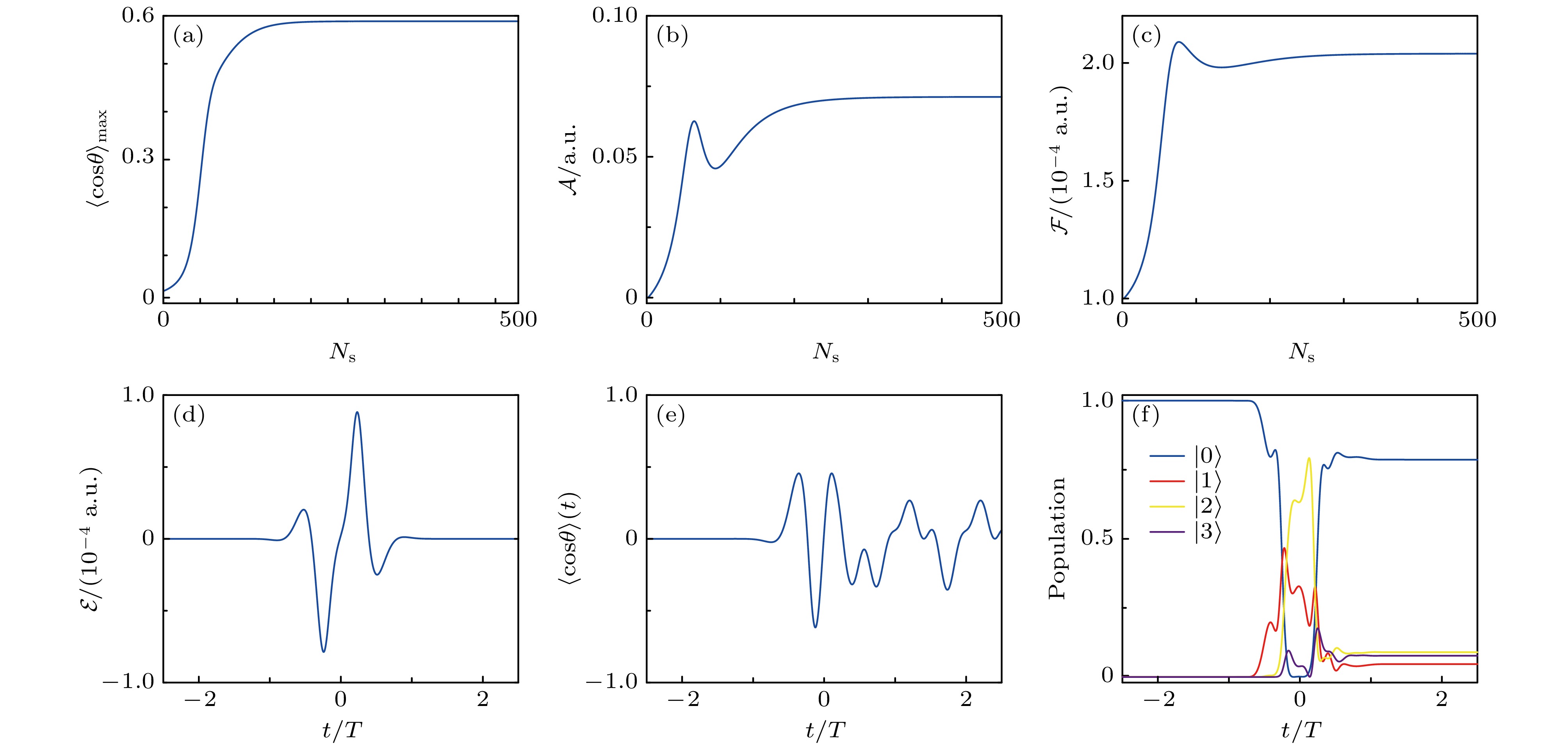
图 3 含非目标态空间和约束条件两目标态模型($ M = 2 $, $ N = 2 $)优化结果: 上排最大取向度 (a)、脉冲面积 (b)和脉冲能量 (c)随迭代次数变化曲线; 下排表示优化获得脉冲(d)及含时取向度 (e)和对应的转动态布居演化 (f)曲线
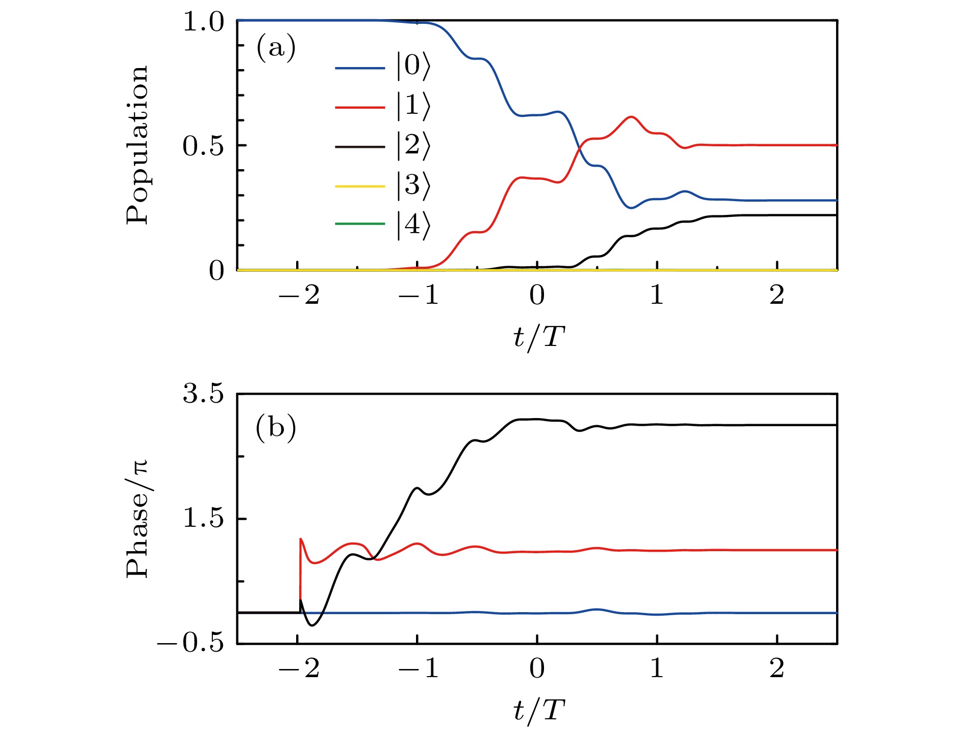
Fig. 3. Constrained optimization results for the model comprising two rotational states in the target subspace and two rotational state in the non-target subspace. The upper panels depict the maximum degree of orientation (a), pulse area (b), and pulse energy (c) as a function of interactions. The lower panels illustrate the optimized time-dependent control fields (d), alongside the corresponding orientation (e) and the population evolution of the rotational states (f).
图 4 含非目标态空间和约束条件少目标态模型($ M = 2 $, $ N = 2 $)优化结果: 最大取向度 (a)、非目标态空间总布居 (b)、脉冲面积 (c)和脉冲能量 (d)随迭代次数的变化
Fig. 4. Constrained optimization results for the model comprising three rotational states in the target subspace and two rotational state in the non-target subspace. The maximum orientation (a), the total population in the non-target subspace (b), the pulse area (c), and the pulse energy (d) as a function of iterations.
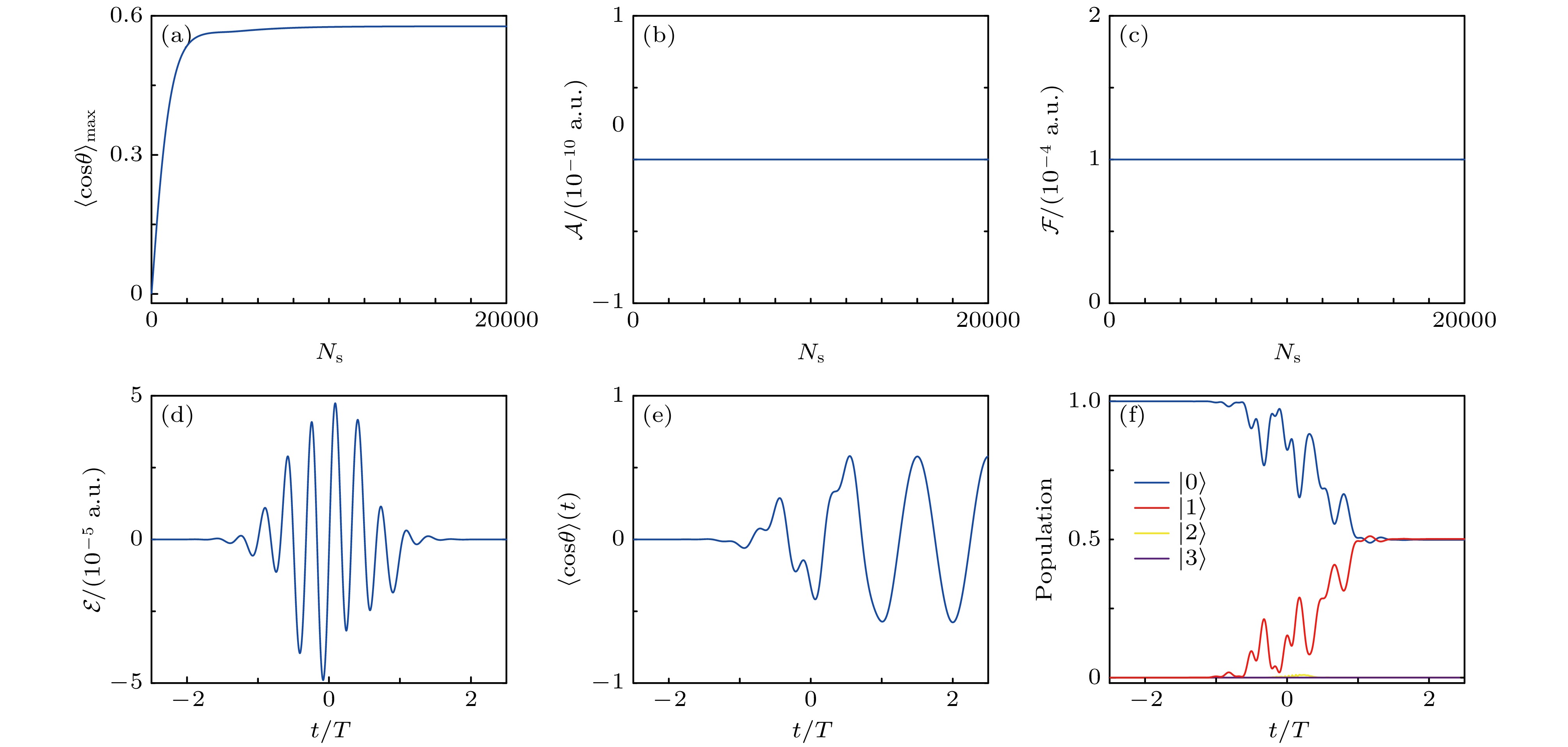
图 6 三目标态模型($ M = 2 $, $ N = 2 $)优化含时脉冲场 (a), 对应的时频谱 (b), 含时取向度 (c)以及对应傅里叶变换谱 (d)
Fig. 6. Optimal time-dependent pulse field (a), the corresponding time- and frequency-resolved distributions (b), the time-dependent orientation degree (c), and the corresponding Fourier transform spectrum (d) for the model consisting of three rotational states in the target subspace and two rotational states in the non-target subspace.
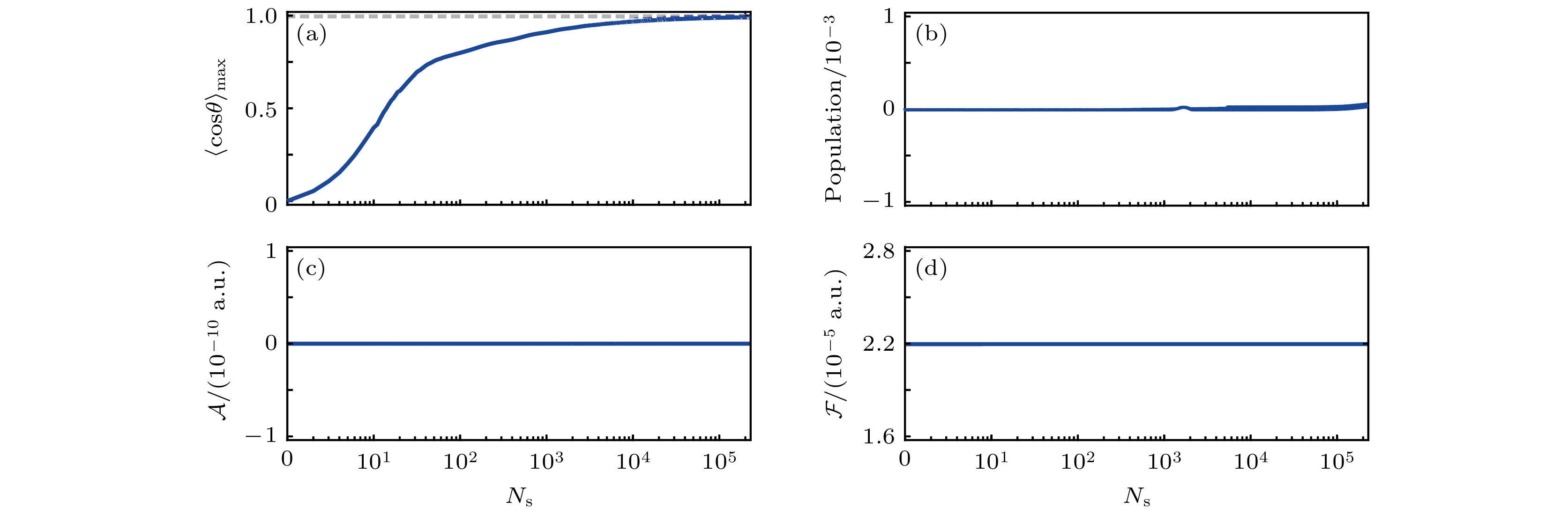
图 7 含非目标态空间和约束条件多目标态模型($ M = 17 $, $ N = 2 $)优化结果: 最大取向度(a)、非目标态空间总布居(b)、脉冲面积 (c)和脉冲能量 (d)随迭代次数变化曲线
Fig. 7. Constrained optimization results for the model comprising seventeen rotational states in the target subspace and two rotational states in the non-target subspace. The maximum orientation (a), the total population in the non-target subspace (b), the pulse area (c), and the pulse energy (d) as a function of iterations.
图 9 17目标态模型($ M = 17 $, $ N = 2 $)优化含时脉冲场 (a), 对应的时频谱 (b), 含时取向度 (c)以及对应傅里叶变换谱 (d)
Fig. 9. Optimal time-dependent pulse field (a), the corresponding time- and frequency-resolved distributions (b), the time-dependent orientation degree (c), and the corresponding Fourier transform spectrum (d) for the model consisting of seventeen rotational states in the target subspace and two rotational states in the non-target subspace.
-
[1] Leroux I D, Schleier-Smith M H, Vuletić V 2010 Phys. Rev. Lett. 104 250801
Google Scholar
[2] 罗嗣佐, 陈洲, 李孝开, 胡湛, 丁大军 2019 光学学报 39 0126007
Google Scholar
Luo S Z, Chen Z, Li X K, Hu Z, Ding D J 2019 Acta Opt. Sin. 39 0126007
Google Scholar
[3] Lian Z, Luo S, Qi H, Chen Z, Shu C C, Hu Z 2023 Opt. Lett. 48 411
Google Scholar
[4] Guo Y, Yang C, Xie X, Li Y, Houk K N, Guo X 2025 Sci. Adv. 11 eads0503
Google Scholar
[5] Dong B, Pei Y, Mansour N, Lu X, Yang K, Huang W, Fang N 2019 Nat. Commun. 10 4815
Google Scholar
[6] Cai M R, Ye C, Dong H, Li Y 2022 Phys. Rev. Lett. 129 103201
Google Scholar
[7] Guo Y, Gong X, Ma S, Shu C C 2022 Phys. Rev. A 105 013102
Google Scholar
[8] Liu Y, Meng J Q, Sun Z, Shu C C 2024 J. Phys. Chem. Lett. 15 8393
Google Scholar
[9] Ploenes L, Straňák P, Mishra A, Liu X, Pérez-Ríos J, Willitsch S 2024 Nat. Chem. 16 1876
Google Scholar
[10] Sawant R, Blackmore J A, Gregory P D, Mur-Petit J, Jaksch D, Aldegunde J, Hutson J M, Tarbutt M R, Cornish S L 2020 New J. Phys. 22 013027
Google Scholar
[11] Ye J, Zoller P 2024 Phys. Rev. Lett. 132 190001
Google Scholar
[12] Cornish S L, Tarbutt M R, Hazzard K R 2024 Nat. Phys. 20 730
Google Scholar
[13] Ding M, Li J S, Deng J, Lee M C, Jolly J, Shahine B, Pawlicki T, Ma C M 2012 J. Chem. Phys. 137 265
Google Scholar
[14] Tutunnikov I, Gershnabel E, Gold S, Averbukh I S 2018 J. Phys. Chem. Lett. 9 1105
Google Scholar
[15] Milner A A, Fordyce J A, MacPhail-Bartley I, Wasserman W, Milner V, Tutunnikov I, Averbukh I S 2019 Phys. Rev. Lett. 122 223201
Google Scholar
[16] DeMille D 2002 Phys. Rev. Lett. 88 067901
Google Scholar
[17] Albert V V, Covey J P, Preskill J 2020 Phys. Rev. X 10 031050
Google Scholar
[18] Nalewajski R F 2014 J. Math. Chem. 52 1292
Google Scholar
[19] Pickering J D, Shepperson B, Hübschmann B A, Thorning F, Stapelfeldt H 2018 Phys. Rev. Lett. 120 113202
Google Scholar
[20] Qi D, Cao F, Xu S, et al. 2021 Phys. Rev. Appl. 15 024051
Google Scholar
[21] Loesch H, Remscheid A 1990 J. Chem. Phys. 93 4779
Google Scholar
[22] Friedrich B, Herschbach D 1991 Z. Phys. D 18 153
Google Scholar
[23] Lemeshko M, Krems R V, Doyle J M, Kais S 2013 Mol. Phys. 111 1648
Google Scholar
[24] Koch C P, Lemeshko M, Sugny D 2019 Rev. Mod. Phys. 91 035005
Google Scholar
[25] Nautiyal V V, Devi S, Tyagi A, Vidhani B, Maan A, Prasad V 2021 Spectrochim. Acta, Part A: Mol. Biomol. Spectrosc. 256 119663
Google Scholar
[26] Hong Q Q, Lian Z Z, Shu C C, Henriksen N E 2023 Phys. Chem. Chem. Phys. 25 32763
Google Scholar
[27] Dion C, Keller A, Atabek O 2001 Eur. Phys. J. D 14 249
Google Scholar
[28] Machholm M, Henriksen N E 2001 Phys. Rev. Lett. 87 193001
Google Scholar
[29] Babilotte P, Hamraoui K, Billard F, Hertz E, Lavorel B, Faucher O, Sugny D 2016 Phys. Rev. A 94 043403
Google Scholar
[30] Shu C C, Yuan K J, Hu W H, Cong S L 2010 J. Chem. Phys. 132 244311
Google Scholar
[31] Fleischer S, Zhou Y, Field R W, Nelson K A 2011 Phys. Rev. Lett. 107 163603
Google Scholar
[32] Shu C C, Hong Q Q, Guo Y, Henriksen N E 2020 Phys. Rev. A 102 063124
Google Scholar
[33] Tutunnikov I, Xu L, Field R W, Nelson K A, Prior Y, Averbukh I S 2021 Phys. Rev. Res. 3 013249
Google Scholar
[34] De S, Znakovskaya I, Ray D, Anis F, Johnson N G, Bocharova I A, Magrakvelidze M, Esry B D, Cocke C L, Litvinyuk I V, Kling M F 2009 Phys. Rev. Lett. 103 153002
Google Scholar
[35] Oda K, Hita M, Minemoto S, Sakai H 2010 Phys. Rev. Lett. 104 213901
Google Scholar
[36] Znakovskaya I, Spanner M, De S, Li H, Ray D, Corkum P, Litvinyuk I V, Cocke C L, Kling M F 2014 Phys. Rev. Lett. 112 113005
Google Scholar
[37] Ren X, Makhija V, Li H, Kling M F, Kumarappan V 2014 Phys. Rev. A 90 013419
Google Scholar
[38] Lin K, Tutunnikov I, Qiang J, et al 2018 Nat. Commun. 9 5134
Google Scholar
[39] Xu S, Lian Z, Hong Q Q, Wang L, Chen H, Huang Y, Shu C C 2024 Phys. Rev. A 110 023116
Google Scholar
[40] Kitano K, Ishii N, Itatani J 2011 Phys. Rev. A 84 053408
Google Scholar
[41] Shu C C, Henriksen N E 2013 Phys. Rev. A 87 013408
Google Scholar
[42] Egodapitiya K N, Li S, Jones R R 2014 Phys. Rev. Lett. 112 103002
Google Scholar
[43] Damari R, Kallush S, Fleischer S 2016 Phys. Rev. Lett. 117 103001
Google Scholar
[44] Zhang S, Lu C, Jia T, Wang Z, Sun Z 2011 Phys. Rev. A 83 043410
Google Scholar
[45] Yun H, Kim H T, Kim C M, Nam C H, Lee J 2011 Phys. Rev. A 84 065401
Google Scholar
[46] Spanner M, Patchkovskii S, Frumker E, Corkum P 2012 Phys. Rev. Lett. 109 113001
Google Scholar
[47] Qin C C, Jia G R, Zhang X Z, Liu Y F, Long J Y, Zhang B 2013 Chin. Phys. B 23 013302
Google Scholar
[48] Huang Z Y, Wang D, Lang Z, Li W K, Zhao R R, Leng Y X 2017 Chin. Phys. B 26 054209
Google Scholar
[49] Mun J H, Sakai H 2018 Phys. Rev. A 98 013404
Google Scholar
[50] Li H, Li W, Feng Y, Pan H, Zeng H 2013 Phys. Rev. A 88 013424
Google Scholar
[51] Cheng Q Y, Song Y Z, Meng Q T 2019 Chin. Phys. B 28 113301
Google Scholar
[52] Damari R, Beer A, Flaxer E, Fleischer S 2023 J. Chem. Phys. 158 014201
Google Scholar
[53] Kitano K, Ishii N, Kanda N, Matsumoto Y, Kanai T, Kuwata-Gonokami M, Itatani J 2013 Phys. Rev. A 88 061405
Google Scholar
[54] Kitano K, Ishii N, Kanai T, Itatani J 2014 Phys. Rev. A 90 041402
Google Scholar
[55] Zhang Y D, Wang S, Zhan W S, Yang J, Jing D 2017 Laser Phys. 27 056001
Google Scholar
[56] Xu L, Tutunnikov I, Gershnabel E, Prior Y, Averbukh I S 2020 Phys. Rev. Lett. 125 013201
Google Scholar
[57] Dion C M, Keller A, Atabek O 2005 Phys. Rev. A 72 023402
Google Scholar
[58] Salomon J, Dion C M, Turinici G 2005 J. Chem. Phys. 123 144310
Google Scholar
[59] Nakajima K, Abe H, Ohtsuki Y 2012 J. Phys. Chem. A 116 11219
Google Scholar
[60] Liao S L, Ho T S, Rabitz H, Chu S I 2013 Phys. Rev. A 87 013429
Google Scholar
[61] Coudert L H 2017 J. Chem. Phys. 146 024303
Google Scholar
[62] Coudert L 2018 J. Chem. Phys. 148 094306
Google Scholar
[63] Trippel S, Mullins T, Müller N L M, Kienitz J S, González-Férez R, Küpper J 2015 Phys. Rev. Lett. 114 103003
Google Scholar
[64] Wang S, Henriksen N E 2020 Phys. Rev. A 102 063120
Google Scholar
[65] Hong Q Q, Fan L B, Shu C C, Henriksen N E 2021 Phys. Rev. A 104 013108
Google Scholar
[66] Fan L B, Shu C C, Dong D, He J, Henriksen N E, Nori F 2023 Phys. Rev. Lett. 130 043604
Google Scholar
[67] Fan L B, Shu C C 2023 J. Phys. A-Math. Theor. 56 365302
Google Scholar
[68] Zhang J P, Wang S, Henriksen N E 2023 Phys. Rev. A 107 033118
Google Scholar
[69] Fan L B, Li H J, Chen Q, Zhou H, Liu H, Shu C C 2025 Phys. Rev. A 111 033119
Google Scholar
[70] Hong Q Q, Dong D, Henriksen N E, Nori F, He J, Shu C C 2025 Phys. Rev. Res. 7 L012049
Google Scholar
[71] Werschnik J, Gross E 2007 J. Phys. B: At. Mol. Opt. Phys. 40 R175
Google Scholar
[72] Yoshida M, Ohtsuki Y 2014 Phys. Rev. A 90 013415
Google Scholar
[73] Shu C C, Ho T S, Rabitz H 2016 Phys. Rev. A 93 053418
Google Scholar
[74] Shu C C, Dong D, Petersen I R, Henriksen N E 2017 Phys. Rev. A 95 033809
Google Scholar
[75] Guo Y, Dong D, Shu C C 2018 Phys. Chem. Chem. Phys. 20 9498
Google Scholar
[76] Yu H, Ho T S, Rabitz H 2018 Phys. Chem. Chem. Phys. 20 13008
Google Scholar
[77] Ansel Q, Dionis E, Arrouas F, Peaudecerf B, Guérin S, Guéry-Odelin D, Sugny D 2024 J. Phys. B: At. Mol. Opt. Phys. 57 133001
Google Scholar
[78] Shtoff A, Rérat M, Gusarov S 2001 Eur. Phys. J. D 15 199
Google Scholar
计量
- 文章访问数: 1814
- PDF下载量: 28
- 被引次数: 0








下载: